School of Applied Sciences, University of Huddersfield Queensgate, Huddersfield, UK.
School of Medicine, University of Leeds, Leeds, UK.
Nat Commun. 2021 Jun 23;12(1):3898. doi: 10.1038/s41467-021-23983-3.
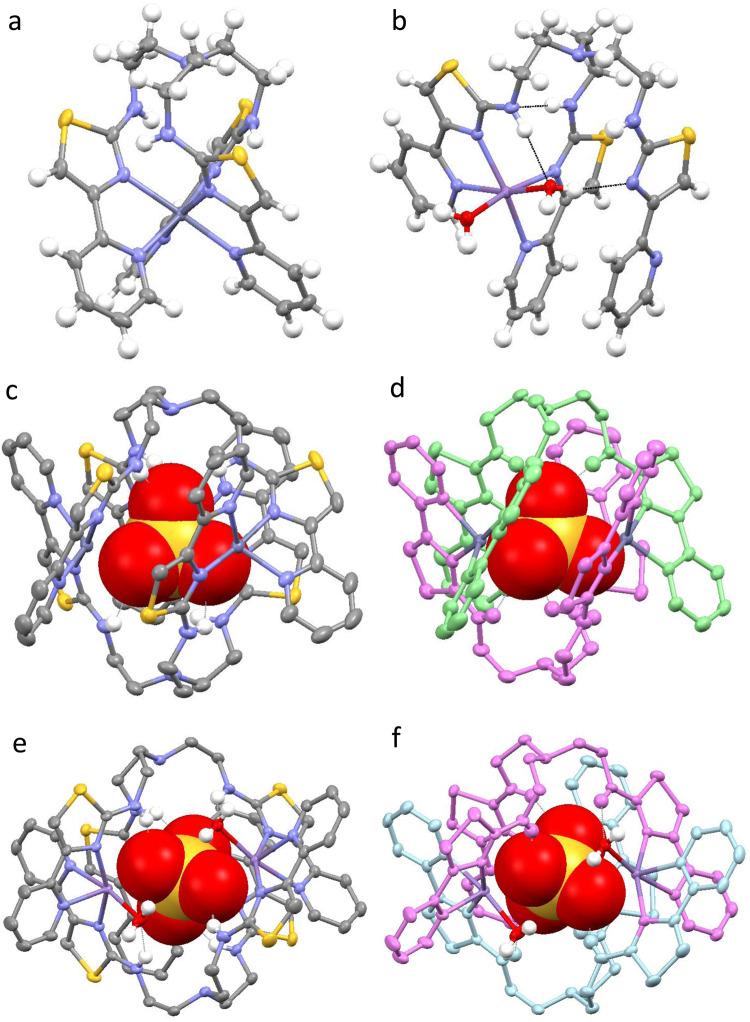
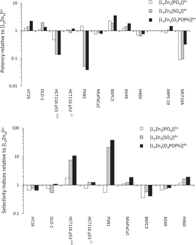
One topical area of supramolecular chemistry is the binding of anionic species but despite the importance of anions in diverse cellular processes and for cancer development, anion receptors or 'binders' have received little attention as potential anti-cancer therapeutics. Here we report self-assembling trimetallic cryptands (e.g. [L(Metal)] where Metal = Cu, Zn or Mn) which can encapsulate a range of anions and which show metal-dependent differences in chemical and biological reactivities. In cell studies, both [LCu] and [LZn] complexes are highly toxic to a range of human cancer cell lines and they show significant metal-dependent selective activity towards cancer cells compared to healthy, non-cancerous cells (by up to 2000-fold). The addition of different anions to the complexes (e.g. PO-, SO- or PhOPO-) further alters activity and selectivity allowing the activity to be modulated via a self-assembly process. The activity is attributed to the ability to either bind or hydrolyse phosphate esters and mechanistic studies show differential and selective inhibition of multiple kinases by both [LCu] and [LZn] complexes but via different mechanisms.
超分子化学的一个研究领域是阴离子物种的结合,但尽管阴离子在多种细胞过程中以及癌症发展中都很重要,阴离子受体或“结合物”作为潜在的抗癌治疗药物却很少受到关注。在这里,我们报告了自组装的三金属穴醚(例如 [L(金属)],其中金属 = Cu、Zn 或 Mn),它可以包裹一系列阴离子,并表现出与化学和生物反应性相关的金属依赖性差异。在细胞研究中,[LCu] 和 [LZn] 配合物对多种人类癌细胞系都具有高度毒性,并且与健康的非癌细胞相比,它们对癌细胞具有显著的金属依赖性选择性活性(高达 2000 倍)。向配合物中添加不同的阴离子(例如 PO-、SO- 或 PhOPO-)会进一步改变活性和选择性,从而可以通过自组装过程来调节活性。这种活性归因于结合或水解磷酸酯的能力,并且机制研究表明,[LCu] 和 [LZn] 配合物通过不同的机制对多种激酶具有不同的选择性抑制作用。