Stubbe Jessica, Suhr Simon, Beerhues Julia, Nößler Maite, Sarkar Biprajit
Institut Für Chemie und Biochemie, Anorganische Chemie, Freie Universität Berlin Fabeckstraße 34-36 14195 Berlin Germany.
Lehrstuhl für Anorganische Koordinationschemie, Institut für Anorganische Chemie, Universität Stuttgart Pfaffenwaldring 55 70569 Stuttgart Germany
Chem Sci. 2021 Feb 11;12(9):3170-3178. doi: 10.1039/d0sc06957d.
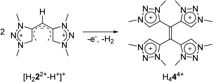
Unusual and unexpected chemical transformations often provide access to completely new types of functional molecules. We report here the synthesis of a methylene-bridged bis-triazolium salt designed as a precursor for a new bis-mesoionic carbene (MIC) ligand. The direct metalation with silver oxide led to the isolation and crystallographic characterization of a cationic tetranuclear octacarbene-silver(i) complex. During metalation the formal bis-MIC precursor undergoes significant structural changes and chemical transformations. A combined synthetic, crystallographic and (spectro-)electrochemical approach is used to elucidate the mechanistic pathway: starting from the methylene-bridged bis-triazolium salt a single deprotonation leads to a NacNac analogue, which is followed by a redox-induced radical dimerization reaction, generating a new tetra-MIC ligand coordinated to silver(i) central atoms. Decomplexation led to the isolation of the corresponding tetratriazoliumethylene, a profoundly electron-poor alkene, which is an analogue of TCNE.
异常且意想不到的化学转化常常能通向全新类型的功能分子。我们在此报告一种亚甲基桥连双三唑鎓盐的合成,该盐被设计为一种新型双介离子卡宾(MIC)配体的前体。用氧化银直接金属化导致了一种阳离子四核八卡宾 - 银(I)配合物的分离与晶体学表征。在金属化过程中,形式上的双MIC前体经历了显著的结构变化和化学转化。采用综合的合成、晶体学和(光谱 - )电化学方法来阐明其机理途径:从亚甲基桥连双三唑鎓盐开始,单次去质子化产生一种NacNac类似物,随后是氧化还原诱导的自由基二聚反应,生成一种与银(I)中心原子配位的新型四MIC配体。解络合导致相应的四三唑基亚乙基的分离,这是一种贫电子烯烃,是四氰基乙烯(TCNE)的类似物。