Suppr超能文献

物质和行为成瘾的年轻男性中的亲社会行为。

Prosocialness in young males with substance and behavioral addictions.

机构信息

1Addiction Medicine, Department of Psychiatry, Lausanne University Hospital and University of Lausanne, Rue du Bugnon 23, CH - 1011 Lausanne, Switzerland.

2Research Department, Addiction Switzerland, Lausanne, Switzerland.

出版信息

J Behav Addict. 2021 Jun 30;10(2):327-337. doi: 10.1556/2006.2021.00035. Print 2021 Jul 15.

Abstract

BACKGROUND AND AIMS

Social determinants are closely related to addiction, both as a cause and a consequence of substance use and other addictive behaviors. The present paper examines prosocialness (i.e. the tendency to help, empathize, and care for others) among a population of young males. We compared prosocialness across different types of addiction and examined whether prosocialness varied according to the presence of multiple addictions.

METHODS

A sample of 5,675 young males, aged 19-29 years old (Mean = 21.4; Median = 21), completed a questionnaire that included screening tools to identify addictive behaviors with regards to alcohol, nicotine, cannabis, gambling, and gaming. The questionnaire also included a scale to measure prosocialness.

RESULTS

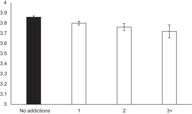
Compared to a no-addiction control group, the subgroups of young men suffering from behavioral addictions (i.e., gambling and gaming) reported the lowest levels of prosocialness. Respondents with an alcohol addiction also showed lower prosocialness compared to no-addiction controls. By contrast, no significant differences in prosocialness were found between respondents with nicotine disorder or cannabis disorder and the no-addiction controls. Furthermore, the number of addictions had no clear, observable effects on prosocialness. Significant differences were found between the no-addiction control group and the groups reporting one or more addictions, but not between the separate groups reporting one, two, and three or more addictions.

DISCUSSION AND CONCLUSIONS

A better understanding of the social dimension affecting young males with addiction, particularly gambling and gaming addictions, may be useful for their prevention and treatment.

摘要

背景和目的

社会决定因素与成瘾密切相关,既是物质使用和其他成瘾行为的原因,也是其后果。本文研究了年轻男性群体中的亲社会倾向(即帮助、共情和关心他人的倾向)。我们比较了不同类型成瘾者的亲社会倾向,并探讨了亲社会倾向是否因多种成瘾的存在而有所不同。

方法

我们对 5675 名年龄在 19-29 岁之间的年轻男性(平均年龄=21.4;中位数=21)进行了问卷调查,该问卷包括识别与酒精、尼古丁、大麻、赌博和游戏相关的成瘾行为的筛查工具。问卷还包括一个衡量亲社会倾向的量表。

结果

与无成瘾对照组相比,患有行为成瘾(即赌博和游戏)的年轻男性亚组报告的亲社会倾向最低。有酒精成瘾的受访者的亲社会倾向也低于无成瘾对照组。相比之下,尼古丁障碍或大麻障碍患者与无成瘾对照组之间的亲社会倾向没有显著差异。此外,成瘾数量对亲社会倾向没有明显的影响。无成瘾对照组与报告一种或多种成瘾的组之间存在显著差异,但在报告一种、两种和三种或更多种成瘾的组之间没有显著差异。

讨论和结论

更好地了解影响有成瘾问题的年轻男性的社会维度,特别是赌博和游戏成瘾,可能有助于预防和治疗他们的成瘾问题。

https://cdn.ncbi.nlm.nih.gov/pmc/blobs/70bc/8996797/a46fd48e33df/jba-10-327-g001.jpg

文献AI研究员

20分钟写一篇综述,助力文献阅读效率提升50倍。

立即体验

用中文搜PubMed

大模型驱动的PubMed中文搜索引擎

马上搜索

文档翻译

学术文献翻译模型,支持多种主流文档格式。

立即体验