Suppr超能文献

接受吉非替尼治疗的晚期表皮生长因子受体突变型肺腺癌患者循环肿瘤DNA中的TP53突变

TP53 mutations in circulating tumor DNA in advanced epidermal growth factor receptor-mutant lung adenocarcinoma patients treated with gefitinib.

作者信息

Yu Ruofei, Bai Hua, Li Tangai, Gao Bingyu, Han Jiefei, Chang Geyun, Zhang Pei, Fei Kailun, He Xiran, Wang Jie

机构信息

Department of Medical Oncology, National Cancer Center/National Clinical Research Center for Cancer/Cancer Hospital, Chinese Academy of Medical Sciences & Peking Union Medical College, Beijing 100021, China.

Department of Medical Oncology, National Cancer Center/National Clinical Research Center for Cancer/Cancer Hospital, Chinese Academy of Medical Sciences & Peking Union Medical College, Beijing 100021, China.

出版信息

Transl Oncol. 2021 Sep;14(9):101163. doi: 10.1016/j.tranon.2021.101163. Epub 2021 Jun 27.

Abstract

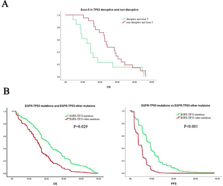
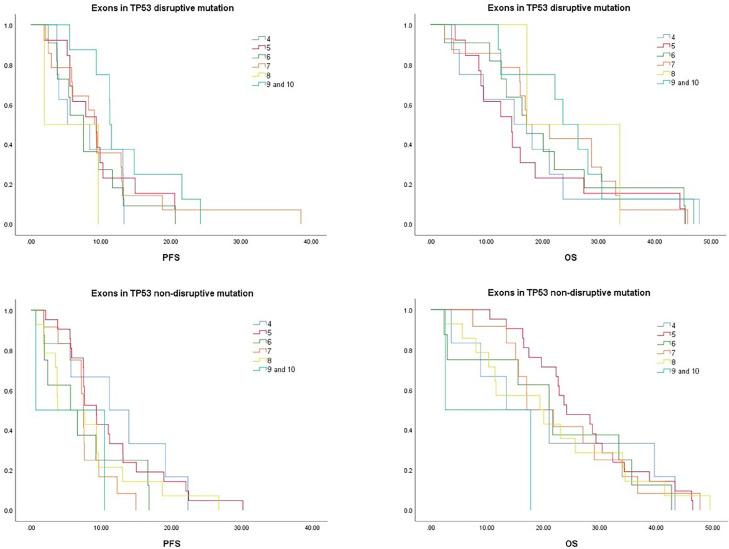
Tumor protein p53 (TP53) is a tumor suppressor gene and TP53 mutations are associated with poor prognosis in non-small cell lung cancer. However, the in-depth classification of TP53 and its relationship with treatment response and prognosis in epidermal growth factor receptor (EGFR)-mutant tumors treated with EGFR tyrosine kinase inhibitors are unclear. Circulating tumor DNA was prospectively collected at baseline in advanced treatment-naïve EGFR-mutant lung adenocarcinoma patients treated with gefitinib in an open-label, single-arm, prospective, multicenter, phase 2 clinical trial (BENEFIT trial) and analyzed using next-generation sequencing. Survival was estimated using the Kaplan-Meier method. Of the 180 enrolled patients, 115 (63.9%) harbored TP53 mutations. The median progression-free survival (PFS) and overall survival (OS) of patients with TP53-wild type tumors were significantly longer than those of patients with TP53-mutant tumors. Mutations in exons 5-8 accounted for 80.9% of TP53 mutations. Mutations in TP53 exons 6 and 7 were significantly associated with inferior PFS and OS compared to wild-type TP53. TP53 mutation also influenced the prognosis of patients with different EGFR mutations. Patients with TP53 and EGFR exon 19 mutations had significantly longer PFS and OS than patients with TP53 and EGFR L858R mutations, and both groups had worse survival than patients with only EGFR mutations. Patients with TP53 mutations, especially in exons 6 and 7, had a lower response rate and shorter PFS and OS when treated with gefitinib. Moreover, TP53 exon 5 mutation divided TP53 mutations in disruptive and non-disruptive types.

摘要

肿瘤蛋白p53(TP53)是一种肿瘤抑制基因,TP53突变与非小细胞肺癌的不良预后相关。然而,TP53的深入分类及其与接受表皮生长因子受体(EGFR)酪氨酸激酶抑制剂治疗的EGFR突变肿瘤的治疗反应和预后的关系尚不清楚。在一项开放标签、单臂、前瞻性、多中心2期临床试验(BENEFIT试验)中,对初治的晚期EGFR突变肺腺癌患者在基线时前瞻性收集循环肿瘤DNA,这些患者接受吉非替尼治疗,并使用下一代测序进行分析。采用Kaplan-Meier法估计生存率。在180名入组患者中,115名(63.9%)存在TP53突变。TP53野生型肿瘤患者的中位无进展生存期(PFS)和总生存期(OS)显著长于TP53突变型肿瘤患者。5-8外显子的突变占TP53突变的80.9%。与野生型TP53相比,TP53外显子6和7的突变与较差的PFS和OS显著相关。TP53突变也影响不同EGFR突变患者的预后。TP53和EGFR外显子19突变的患者的PFS和OS显著长于TP53和EGFR L858R突变的患者,且两组的生存期均比仅存在EGFR突变的患者差。TP53突变患者,尤其是外显子6和7突变的患者,接受吉非替尼治疗时的缓解率较低,PFS和OS较短。此外,TP53外显子5突变将TP53突变分为破坏性和非破坏性类型。

https://cdn.ncbi.nlm.nih.gov/pmc/blobs/f2d7/8254117/730e97bad78e/gr1.jpg

文献AI研究员

20分钟写一篇综述,助力文献阅读效率提升50倍。

立即体验

用中文搜PubMed

大模型驱动的PubMed中文搜索引擎

马上搜索

文档翻译

学术文献翻译模型,支持多种主流文档格式。

立即体验