• 文献检索
  • 文档翻译
  • 深度研究
  • 学术资讯
  • Suppr Zotero 插件Zotero 插件
  • 邀请有礼
  • 套餐&价格
  • 历史记录
应用&插件
Suppr Zotero 插件Zotero 插件浏览器插件Mac 客户端Windows 客户端微信小程序
定价
高级版会员购买积分包购买API积分包
服务
文献检索文档翻译深度研究API 文档MCP 服务
关于我们
关于 Suppr公司介绍联系我们用户协议隐私条款
关注我们

Suppr 超能文献

核心技术专利:CN118964589B侵权必究
粤ICP备2023148730 号-1Suppr @ 2026

文献检索

告别复杂PubMed语法,用中文像聊天一样搜索,搜遍4000万医学文献。AI智能推荐,让科研检索更轻松。

立即免费搜索

文件翻译

保留排版,准确专业,支持PDF/Word/PPT等文件格式,支持 12+语言互译。

免费翻译文档

深度研究

AI帮你快速写综述,25分钟生成高质量综述,智能提取关键信息,辅助科研写作。

立即免费体验

中和欺凌计划对西班牙学童欺凌行为的影响。

Effects of the Action for Neutralization of Bullying Program on Bullying in Spanish Schoolchildren.

机构信息

Department of Health Psychology, Faculty of Social and Health Sciences, Forensic Psychology Unit, Center for Applied Psychology, Campus of Elche, Miguel Hernandez University (UMH), 03202 Elche, Spain.

出版信息

Int J Environ Res Public Health. 2021 Jun 27;18(13):6898. doi: 10.3390/ijerph18136898.

DOI:10.3390/ijerph18136898
PMID:34199057
原文链接:https://pmc.ncbi.nlm.nih.gov/articles/PMC8297332/
Abstract

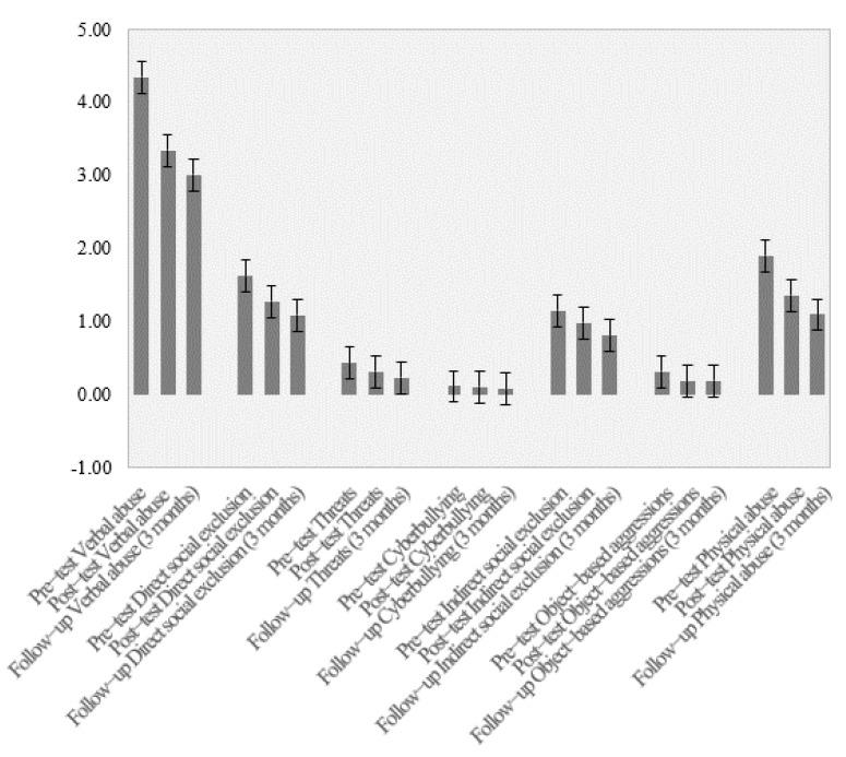
Bullying can have serious physical and emotional consequences. In recent years, interest in this phenomenon has been growing, becoming a public health problem in the first world. The aim of this study was to evaluate the effects of the Action for Neutralization of Bullying Program (ANA) in Spanish children. This study used a quasi-experimental design that included a pre-test evaluation, 2 months of intervention, a post-test, and 3 months of follow-up. A sample of 330 children aged 7-12 years (M = 9.27; SD = 1.09) from third to sixth grade participated in the study. One hundred and fifty-nine were girls (48.2%). The program consisted of eight group sessions in which empathy, assertiveness, communication skills, conflict resolution, and group cohesion were worked on. The results showed statistically significant reductions in verbal abuse behaviors ( = 4.76, < 0.001), direct social exclusion ( = 3.53, < 0.001), threats ( = 2.04, = 0.042), aggression with objects ( = 3.21, < 0.001), and physical abuse ( = 4.41, < 0.001). The differences were not statistically significant for indirect social exclusion behaviors ( = 1.86, = 0.065) or cyberbullying ( = 0.31, = 0.756). The effects in the reduction of the bullying behaviors decreased after the implementation of the program, achieving even greater reduction in victimization behaviors after 3 months than immediately after the end of the program. These results indicate that the ANA program is effective in reducing bullying behaviors in a group of children. Implications for practice and future research are discussed.

摘要

欺凌行为可能会带来严重的身心后果。近年来,人们对这一现象的兴趣日益浓厚,使其成为了发达国家的公共卫生问题。本研究旨在评估“中和欺凌行为计划”(ANA)对西班牙儿童的影响。本研究采用了准实验设计,包括前测评估、2 个月的干预、后测和 3 个月的随访。共有 330 名 7-12 岁(M = 9.27;SD = 1.09)的三至六年级儿童参与了研究。其中 159 名为女孩(48.2%)。该方案包括 8 个小组会议,内容涉及同理心、自信、沟通技巧、冲突解决和团队凝聚力。结果显示,言语虐待行为( = 4.76, < 0.001)、直接社会排斥( = 3.53, < 0.001)、威胁( = 2.04, = 0.042)、使用物体攻击( = 3.21, < 0.001)和身体虐待( = 4.41, < 0.001)等行为均有显著减少。间接社会排斥行为( = 1.86, = 0.065)和网络欺凌行为( = 0.31, = 0.756)则无统计学意义。方案实施后,欺凌行为的减少效果减弱,而在方案结束后 3 个月,受害行为的减少幅度甚至大于方案结束时。这些结果表明,ANA 方案在减少一组儿童的欺凌行为方面是有效的。讨论了对实践和未来研究的启示。

https://cdn.ncbi.nlm.nih.gov/pmc/blobs/3ba7/8297332/543879a57017/ijerph-18-06898-g003.jpg
https://cdn.ncbi.nlm.nih.gov/pmc/blobs/3ba7/8297332/a1b8c2f6cba2/ijerph-18-06898-g001.jpg
https://cdn.ncbi.nlm.nih.gov/pmc/blobs/3ba7/8297332/404c2e799ac5/ijerph-18-06898-g002.jpg
https://cdn.ncbi.nlm.nih.gov/pmc/blobs/3ba7/8297332/543879a57017/ijerph-18-06898-g003.jpg
https://cdn.ncbi.nlm.nih.gov/pmc/blobs/3ba7/8297332/a1b8c2f6cba2/ijerph-18-06898-g001.jpg
https://cdn.ncbi.nlm.nih.gov/pmc/blobs/3ba7/8297332/404c2e799ac5/ijerph-18-06898-g002.jpg
https://cdn.ncbi.nlm.nih.gov/pmc/blobs/3ba7/8297332/543879a57017/ijerph-18-06898-g003.jpg

相似文献

1
Effects of the Action for Neutralization of Bullying Program on Bullying in Spanish Schoolchildren.中和欺凌计划对西班牙学童欺凌行为的影响。
Int J Environ Res Public Health. 2021 Jun 27;18(13):6898. doi: 10.3390/ijerph18136898.
2
Effects of Intervention Program Prev@cib on Traditional Bullying and Cyberbullying.干预项目 Prev@cib 对传统欺凌和网络欺凌的影响。
Int J Environ Res Public Health. 2019 Feb 13;16(4):527. doi: 10.3390/ijerph16040527.
3
The effectiveness of assertiveness training for school-aged children on bullying and assertiveness level.针对学龄儿童的自信训练对欺凌行为和自信水平的有效性。
J Pediatr Nurs. 2017 Sep-Oct;36:186-190. doi: 10.1016/j.pedn.2017.06.020. Epub 2017 Jul 7.
4
Effects of the cyberbullying prevention program media heroes (Medienhelden) on traditional bullying.网络欺凌预防项目“媒体英雄”对传统欺凌行为的影响。
Aggress Behav. 2016 Mar-Apr;42(2):157-65. doi: 10.1002/ab.21637.
5
Effectiveness and sustainability of the ViSC Social Competence Program to prevent cyberbullying and cyber-victimization: Class and individual level moderators.预防网络欺凌和网络受害的ViSC社交能力项目的有效性和可持续性:班级和个体层面的调节因素
Aggress Behav. 2016 Mar-Apr;42(2):181-93. doi: 10.1002/ab.21631.
6
Bullying in Primary School Children: The Relationship between Victimization and Perception of Being a Victim.小学生欺凌:受害经历与受害者认知之间的关系。
Int J Environ Res Public Health. 2020 Dec 20;17(24):9540. doi: 10.3390/ijerph17249540.
7
Effectiveness of the TEI Program for Bullying and Cyberbullying Reduction and School Climate Improvement.TEI 项目在减少欺凌和网络欺凌以及改善学校氛围方面的有效性。
Int J Environ Res Public Health. 2019 Feb 16;16(4):580. doi: 10.3390/ijerph16040580.
8
Evidence-based intervention against bullying and cyberbullying: Evaluation of the NoTrap! program in two independent trials.基于证据的反欺凌和网络欺凌干预措施:对NoTrap! 项目在两项独立试验中的评估。
Aggress Behav. 2016 Mar-Apr;42(2):194-206. doi: 10.1002/ab.21636.
9
Effects of Cyberprogram 2.0 on "face-to-face" bullying, cyberbullying, and empathy.网络程序2.0对“面对面”欺凌、网络欺凌和同理心的影响。
Psicothema. 2015;27(1):45-51. doi: 10.7334/psicothema2014.78.
10
Longitudinal impact of the Cyber Friendly Schools program on adolescents' cyberbullying behavior.网络友好学校项目对青少年网络欺凌行为的纵向影响。
Aggress Behav. 2016 Mar-Apr;42(2):166-80. doi: 10.1002/ab.21609. Epub 2015 Sep 9.

引用本文的文献

1
Adolescent Patients'experiences of Mental Disorders Related to School Bullying.青少年患者与校园欺凌相关的精神障碍经历。
J Multidiscip Healthc. 2024 Jun 19;17:2911-2919. doi: 10.2147/JMDH.S454010. eCollection 2024.
2
Characteristics and effectiveness of interventions to reduce cyberbullying: a systematic review.减少网络欺凌干预措施的特点和效果:系统评价。
Front Public Health. 2023 Aug 30;11:1219727. doi: 10.3389/fpubh.2023.1219727. eCollection 2023.
3
Dark tetrad personality traits also play a role in bullying victimization.

本文引用的文献

1
What Works in Violence Prevention Among Young People?: A Systematic Review of Reviews.《青少年暴力预防的有效措施有哪些?——系统综述》
Trauma Violence Abuse. 2022 Dec;23(5):1388-1404. doi: 10.1177/1524838020939130. Epub 2020 Jul 17.
2
The Effectiveness of Educational Interventions on Traditional Bullying and Cyberbullying Among Adolescents: A Systematic Review and Meta-Analysis.教育干预对青少年传统欺凌和网络欺凌的有效性:一项系统评价和荟萃分析。
Trauma Violence Abuse. 2022 Jan;23(1):132-151. doi: 10.1177/1524838020933867. Epub 2020 Jun 26.
3
Bullying involvement and self-reported mental health in elementary school children across Europe.
黑暗三性格特质在欺凌受害中也起作用。 (注:这里原文是“Dark tetrad”,但常见的表述是“Dark triad”,译文按照“黑暗三性格特质”翻译,若原文无误,可根据实际情况调整为“黑暗四性格特质”)
Front Psychol. 2022 Oct 14;13:984744. doi: 10.3389/fpsyg.2022.984744. eCollection 2022.
4
Family and Educational Strategies for Cyberbullying Prevention: A Systematic Review.家庭和教育策略预防网络欺凌:系统评价。
Int J Environ Res Public Health. 2022 Aug 22;19(16):10452. doi: 10.3390/ijerph191610452.
5
Evaluating a Psychoeducation Program to Foster Chinese Primary School Students' Covitality.评估一个促进中国小学生共生力的心理教育项目。
Int J Environ Res Public Health. 2021 Aug 18;18(16):8703. doi: 10.3390/ijerph18168703.
欧洲小学生的欺凌卷入与自我报告的心理健康。
Child Abuse Negl. 2020 Sep;107:104601. doi: 10.1016/j.chiabu.2020.104601. Epub 2020 Jun 20.
4
Prevalence of traditional bullying and cyberbullying among children and adolescents in Australia: A systematic review and meta-analysis.澳大利亚儿童和青少年中传统欺凌和网络欺凌的患病率:一项系统评价和荟萃分析。
Aust N Z J Psychiatry. 2019 Sep;53(9):878-888. doi: 10.1177/0004867419846393. Epub 2019 May 9.
5
Empathy and Callous-Unemotional Traits in Different Bullying Roles: A Systematic Review and Meta-Analysis.不同欺凌角色中的同理心和冷酷无情特质:系统评价和荟萃分析。
Trauma Violence Abuse. 2019 Jan;20(1):3-21. doi: 10.1177/1524838016683456. Epub 2016 Dec 27.
6
Students' Willingness to Intervene in Bullying: Direct and Indirect Associations with Classroom Cohesion and Self-Efficacy.学生干预欺凌行为的意愿:与课堂凝聚力和自我效能感的直接和间接关联。
Int J Environ Res Public Health. 2018 Nov 17;15(11):2577. doi: 10.3390/ijerph15112577.
7
Bullying victimization experiences among middle and high school adolescents: Traditional bullying, discriminatory harassment, and cybervictimization.中学生和高中生的受欺凌经历:传统欺凌、歧视性骚扰和网络欺凌。
J Adolesc. 2018 Feb;63:29-40. doi: 10.1016/j.adolescence.2017.12.005. Epub 2017 Dec 18.
8
The effectiveness of assertiveness training for school-aged children on bullying and assertiveness level.针对学龄儿童的自信训练对欺凌行为和自信水平的有效性。
J Pediatr Nurs. 2017 Sep-Oct;36:186-190. doi: 10.1016/j.pedn.2017.06.020. Epub 2017 Jul 7.
9
Measurement Matters: Assessing Personal Qualities Other Than Cognitive Ability for Educational Purposes.测量很重要:为教育目的评估认知能力以外的个人特质。
Educ Res. 2015 May;44(4):237-251. doi: 10.3102/0013189X15584327.
10
Global, regional, and national incidence, prevalence, and years lived with disability for 301 acute and chronic diseases and injuries in 188 countries, 1990-2013: a systematic analysis for the Global Burden of Disease Study 2013.1990年至2013年188个国家301种急慢性疾病和损伤的全球、区域及国家发病率、患病率和伤残调整生命年:全球疾病负担研究2013的系统分析
Lancet. 2015 Aug 22;386(9995):743-800. doi: 10.1016/S0140-6736(15)60692-4. Epub 2015 Jun 7.