Suppr超能文献

创新碾磨工艺提高不同直链淀粉含量品种的预煮糙米粉条的工艺和营养品质

Innovative Milling Processes to Improve the Technological and Nutritional Quality of Parboiled Brown Rice Pasta from Contrasting Amylose Content Cultivars.

作者信息

Taddei Federica, Galassi Elena, Nocente Francesca, Gazza Laura

机构信息

CREA Research Centre for Engineering and Agro-Food Processing, Via Manziana 30, 00189 Rome, Italy.

出版信息

Foods. 2021 Jun 8;10(6):1316. doi: 10.3390/foods10061316.

Abstract

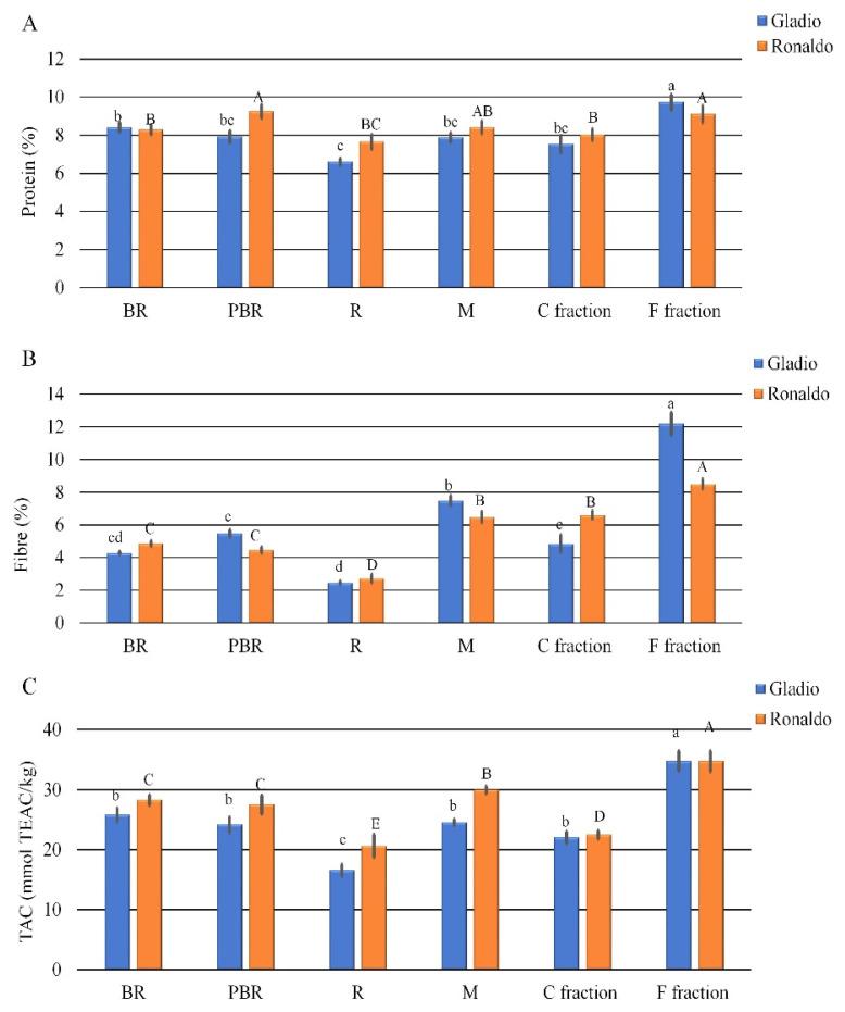
The demand for gluten-free products, including pasta, is increasing and rice pasta accounts for the largest share of this market. Usually, the production of rice pasta requires additives or specific technological processes able to improve its texture, cooking quality, and sensory properties. In this work, two rice cultivars, with different amylose content, were subjected to parboiling, micronization, and flour air fractionation to obtain brown rice pasta, without any supplement but rice itself. In particular, two types of pasta (spaghetti shape) were produced, one from 100% micronized wholemeal, and the other from refined rice flour replaced with 15% of the air-fractionated fine fraction. Regardless of the cultivar, pasta from wholemeal micronized flour showed higher protein and fiber content than refined flour enriched with fine fraction, whereas no differences were revealed in resistant starch and antioxidant capacity. Pasta from the high amylose content genotype showed the highest resistant starch content and the lowest predicted glycemic index along with sensorial characteristics as good as durum semolina pasta in fine fraction enriched pasta. Besides the technological processes, pasta quality was affected the most by the genotype, since pasta obtained from high amylose cv Gladio resulted in the best in terms of technological and sensory quality.

摘要

包括意大利面在内的无麸质产品的需求正在增加,而米制意大利面在这个市场中占最大份额。通常,米制意大利面的生产需要添加剂或特定的工艺来改善其质地、烹饪品质和感官特性。在这项工作中,对两种直链淀粉含量不同的水稻品种进行了预煮、微粉化和面粉空气分级,以获得糙米意大利面,除了大米本身外不添加任何物质。具体而言,生产了两种类型的意大利面(意大利面条形状),一种由100%微粉化全麦制成,另一种由用15%空气分级细粉替代的精制米粉制成。无论品种如何,全麦微粉化面粉制成的意大利面比富含细粉的精制面粉显示出更高的蛋白质和纤维含量,而抗性淀粉和抗氧化能力没有差异。高直链淀粉含量基因型的意大利面在富含细粉的意大利面中显示出最高的抗性淀粉含量和最低的预测血糖指数,以及与硬质小麦粗粒粉意大利面相当的感官特性。除了工艺过程外,意大利面的品质受基因型影响最大,因为从高直链淀粉品种Gladio获得的意大利面在工艺和感官品质方面表现最佳。

https://cdn.ncbi.nlm.nih.gov/pmc/blobs/adde/8229246/521da1e7ca72/foods-10-01316-g001.jpg

文献检索

告别复杂PubMed语法,用中文像聊天一样搜索,搜遍4000万医学文献。AI智能推荐,让科研检索更轻松。

立即免费搜索

文件翻译

保留排版,准确专业,支持PDF/Word/PPT等文件格式,支持 12+语言互译。

免费翻译文档

深度研究

AI帮你快速写综述,25分钟生成高质量综述,智能提取关键信息,辅助科研写作。

立即免费体验