Suppr超能文献

泡沫轴放松引发与手动按摩不同的神经元放松模式:一项随机对照试验。

Foam Rolling Elicits Neuronal Relaxation Patterns Distinct from Manual Massage: A Randomized Controlled Trial.

作者信息

Kerautret Yann, Guillot Aymeric, Daligault Sébastien, Di Rienzo Franck

机构信息

Laboratoire Interuniversitaire de Biologie de la Motricité, Université Claude Bernard Lyon 1, EA 7424, F-69622 Villeurbanne, France.

CAPSIX, 69002 Lyon, France.

出版信息

Brain Sci. 2021 Jun 20;11(6):818. doi: 10.3390/brainsci11060818.

Abstract

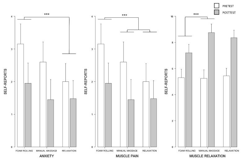
The present double-blinded, randomized controlled study sought to compare the effects of a full-body manual massage (MM) and a foam rolling (FR) intervention on subjective and objective indexes of performance and well-being. A total of 65 healthy individuals were randomly allocated to an FR, MM, or a control group who received a cognitively oriented relaxation routine. Self-report ratings of perceived anxiety, muscle relaxation, and muscle pain were used to index changes in affect and physical sensations. The sit-and-reach and toe-touch tests, as well as a mental calculation task, were used to index motor and cognitive performances, respectively. We also conducted resting-state electroencephalography and continuous skin conductance recordings before and after the experimental intervention. Both FR and MM groups exhibited neural synchronization of alpha and beta oscillations during the posttest. Skin conductance increased from the pretest to the posttest in the relaxation group, but decreased in the FR group. All interventions improved range of motion, although only the MM group outperformed the relaxation group for the toe-touch performance. MM was associated with reduced muscle pain and increased muscle relaxation. Reduced perceived anxiety after the intervention was observed in the FR group only. Overall, MM and FR both improved objective and subjective indexes of performance and well-being. Differences between the two massage interventions are discussed in relation to the effects of pressure stimulation on autonomic regulations and the proactive vs. retroactive nature of FR, compared to MM.

摘要

本双盲随机对照研究旨在比较全身手法按摩(MM)和泡沫轴放松(FR)干预对运动表现和幸福感的主观及客观指标的影响。共有65名健康个体被随机分配至FR组、MM组或接受认知导向放松程序的对照组。使用焦虑感知、肌肉放松和肌肉疼痛的自我报告评分来衡量情感和身体感觉的变化。坐位体前屈和脚趾触碰测试以及心算任务分别用于衡量运动和认知表现。我们还在实验干预前后进行了静息态脑电图和连续皮肤电导率记录。FR组和MM组在测试后均表现出α和β振荡的神经同步化。放松组的皮肤电导率从测试前到测试后增加,而FR组则下降。所有干预均改善了关节活动范围,尽管只有MM组在脚趾触碰表现上优于放松组。MM与肌肉疼痛减轻和肌肉放松增加有关。仅在FR组中观察到干预后焦虑感知降低。总体而言,MM和FR均改善了运动表现和幸福感的客观及主观指标。结合压力刺激对自主调节的影响以及与MM相比FR的主动与被动性质,讨论了两种按摩干预之间的差异。

https://cdn.ncbi.nlm.nih.gov/pmc/blobs/8b14/8234052/c13554236678/brainsci-11-00818-g001.jpg

文献AI研究员

20分钟写一篇综述,助力文献阅读效率提升50倍。

立即体验

用中文搜PubMed

大模型驱动的PubMed中文搜索引擎

马上搜索

文档翻译

学术文献翻译模型,支持多种主流文档格式。

立即体验