Zajkowska Monika, Kulczyńska-Przybik Agnieszka, Dulewicz Maciej, Safiejko Kamil, Juchimiuk Marcin, Konopko Marzena, Kozłowski Leszek, Mroczko Barbara
Department of Neurodegeneration Diagnostics, Medical University of Bialystok, 15-269 Bialystok, Poland.
Maria Sklodowska-Curie Oncology Center, Department of Oncological Surgery with Specialized Cancer Treatment Units, 15-027 Bialystok, Poland.
J Clin Med. 2021 Jun 17;10(12):2675. doi: 10.3390/jcm10122675.
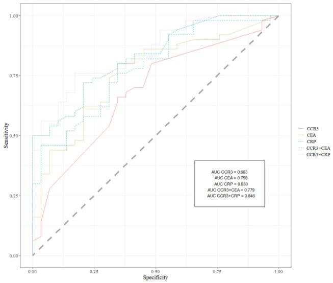
Colorectal cancer (CRC) is one of the most common malignancies. Despite the availability of diagnostic tests, an increasing number of new cases is observed. That is why it is very important to search new markers that would show high diagnostic utility. Therefore, we made an attempt to assess the usefulness of eotaxins, as there are few studies that investigate their significance, in patients with CRC. The study included 80 subjects (CRC patients and healthy volunteers). Serum concentrations of all eotaxins were measured using a multiplexing method (Luminex), while CCR3 was measured by immunoenzymatic assay (ELISA). CRP levels were determined by immunoturbidimetry and classical tumor marker levels (CEA and CA 19-9) and were measured using chemiluminescent microparticle immunoassay (CMIA). The highest usefulness among the proteins tested showed CCR3. Its concentrations were significantly higher in the CRC group than in healthy controls. The diagnostic sensitivity, specificity, positive and negative predictive value, and the area under the ROC curve (AUC) of CCR3 were higher than those of CA 19-9. The maximum values for sensitivity, negative predictive value, and AUC were obtained for a combination of CCR3 and CRP. Our findings suggest the potential usefulness of CCR3 in the diagnosis of CRC, especially in combination with CRP or CEA.
结直肠癌(CRC)是最常见的恶性肿瘤之一。尽管有诊断测试,但新病例仍在不断增加。这就是为什么寻找具有高诊断效用的新标志物非常重要。因此,我们试图评估嗜酸性粒细胞趋化因子的效用,因为很少有研究调查它们在CRC患者中的意义。该研究包括80名受试者(CRC患者和健康志愿者)。使用多重检测方法(Luminex)测量所有嗜酸性粒细胞趋化因子的血清浓度,而通过免疫酶测定法(ELISA)测量CCR3。通过免疫比浊法测定CRP水平以及经典肿瘤标志物水平(CEA和CA 19-9),并使用化学发光微粒子免疫分析(CMIA)进行测量。在测试的蛋白质中,CCR3显示出最高的效用。其在CRC组中的浓度显著高于健康对照组。CCR3的诊断敏感性、特异性、阳性和阴性预测值以及ROC曲线下面积(AUC)均高于CA 19-9。CCR3与CRP联合使用时,敏感性、阴性预测值和AUC获得最大值。我们的研究结果表明CCR3在CRC诊断中具有潜在效用,尤其是与CRP或CEA联合使用时。