Álvarez-Vázquez Adrián, Muñiz-Calvente Miguel, Fernández Pelayo Fernández, Fernández-Canteli Alfonso, Lamela-Rey María Jesús, Pintado José María
Department of Construction and Manufacturing Engineering, University of Oviedo, 33203 Gijón, Spain.
National Institute for Aerospace Technology (INTA), 28850 Madrid, Spain.
Polymers (Basel). 2021 Jun 3;13(11):1857. doi: 10.3390/polym13111857.
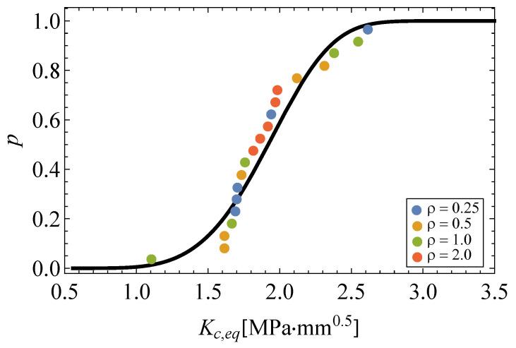
Many design scenarios of components made of polymer materials are concerned with notches as representative constructive details. The failure hazard assessment of these components using models based on the assumption of cracked components leads to over-conservative failure estimations. Among the different alternative approaches proposed that are based on the apparent fracture toughness, KcN is considered. In so doing, the current deterministic underlying concept must be replaced by a probabilistic one to take into account the variability observed in the failure results in order to ensure a reliable design. In this paper, an approach based on the critical distance principle is proposed for the failure assessment of notched EPOLAM 2025 CT samples with each different notch radii (ρ) including a probabilistic assessment of the failure prediction. First, each apparent fracture toughness is transformed into the equivalent fracture toughness for ρ=0 based on the critical distances theory. Then, once all results are normalized to the same basic conditions, a Weibull cumulative distribution function is fitted, allowing the probability of failure to be predicted for different notch radii. In this way, the total number of the specimens tested in the experimental campaign is reduced, whereas the reliability of the material characterization improves. Finally, the applicability of the proposed methodology is illustrated by an example using the own experimental campaign performed on EPOLAM 2025 CT specimens with different notch radii (ρ).
许多由聚合物材料制成的部件的设计方案都涉及到作为典型结构细节的缺口。使用基于裂纹部件假设的模型对这些部件进行失效风险评估会导致过度保守的失效估计。在提出的基于表观断裂韧性的不同替代方法中,考虑了KcN。这样做时,当前的确定性基本概念必须被概率性概念所取代,以考虑在失效结果中观察到的变异性,从而确保可靠的设计。本文提出了一种基于临界距离原理的方法,用于对具有不同缺口半径(ρ)的带缺口的EPOLAM 2025 CT试样进行失效评估,包括对失效预测的概率评估。首先,根据临界距离理论,将每个表观断裂韧性转换为ρ = 0时的等效断裂韧性。然后,一旦所有结果都归一化为相同的基本条件,就拟合威布尔累积分布函数,从而可以预测不同缺口半径下的失效概率。通过这种方式,减少了实验活动中测试的试样总数,同时提高了材料表征的可靠性。最后,通过一个例子说明了所提出方法的适用性,该例子使用了对具有不同缺口半径(ρ)的EPOLAM 2025 CT试样进行的自身实验活动。