Li Lielie, Cao Hekai, Guan Junfeng, He Shuanghua, Niu Lihua, Liu Huaizhong
School of Civil Engineering and Communication, North China University of Water Resources and Electric Power, Zhengzhou 450045, China.
State Key Laboratory of Hydraulics and Mountain River Engineering, Sichuan University, Chengdu 610065, China.
Polymers (Basel). 2022 Aug 30;14(17):3589. doi: 10.3390/polym14173589.
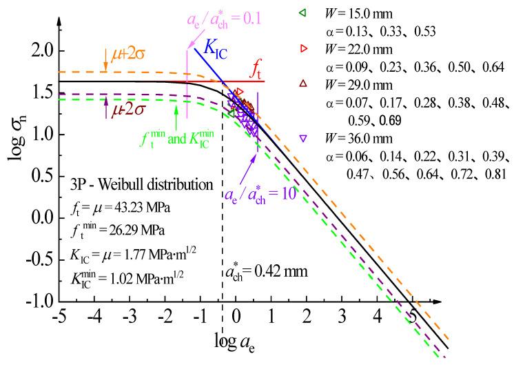
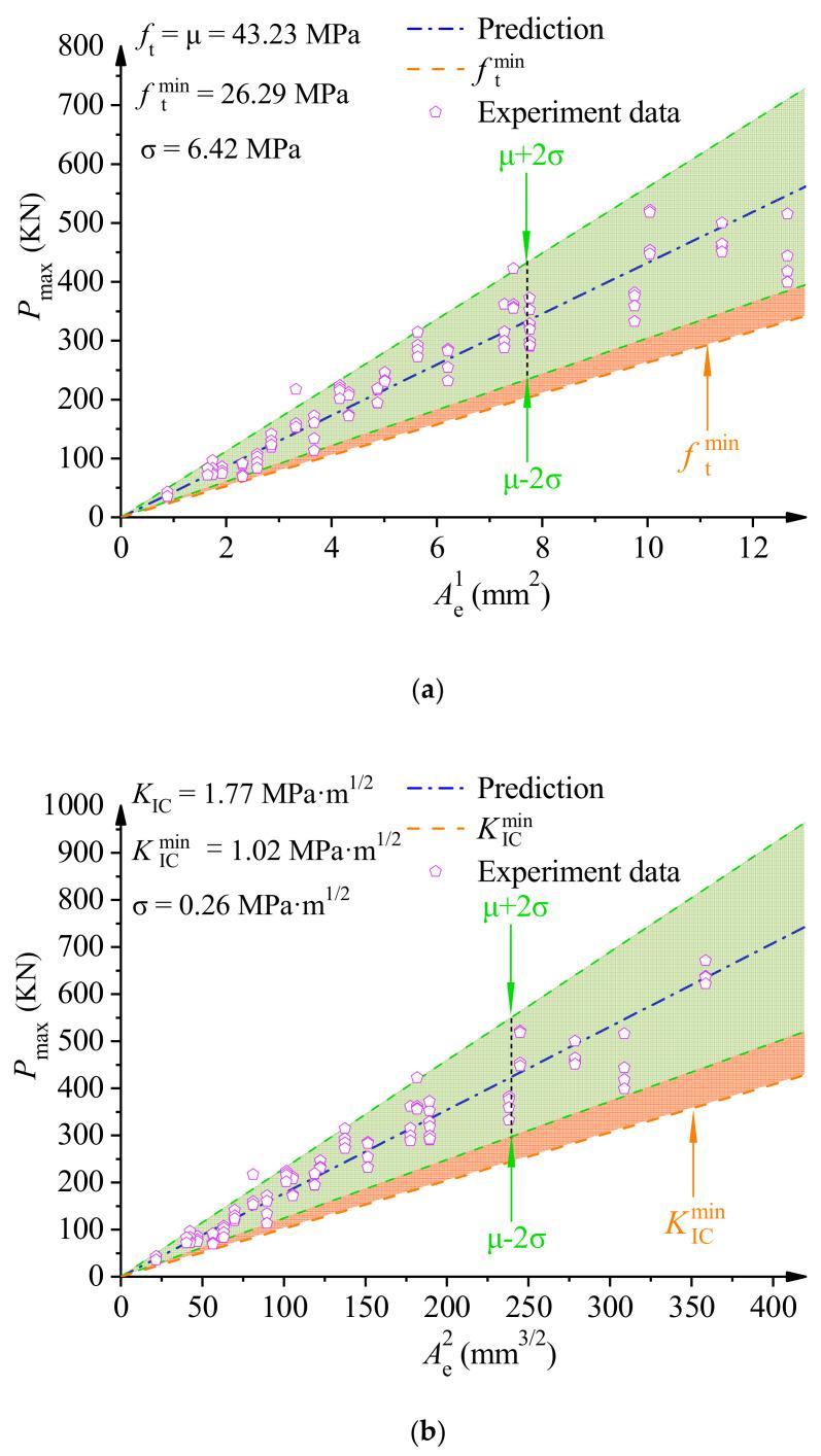
Poly (methyl methacrylate) (PMMA) bone cement is an excellent biological material for anchoring joint replacements. Tensile strength ft and fracture toughness KIC have a considerable impact on its application and service life. Considering the variability of PMMA bone cement, a three-parameter Weibull distribution method is suggested in the current study to evaluate its tensile strength and fracture toughness distribution. The coefficients of variation for tensile strength and fracture toughness were the minimum when the characteristic crack of PMMA bone cement was αch∗=8dav. Using the simple equation αch∗=8dav and fictitious crack length Δαfic=1.0dav, the mean value μ (= 43.23 MPa), minimum value ftmin (= 26.29 MPa), standard deviation σ (= 6.42 MPa) of tensile strength, and these values of fracture toughness (μ = 1.77 MPa⋅m1/2, KICmin = 1.02 MPa⋅m1/2, σ = 0.2644 MPa⋅m1/2) were determined simultaneously through experimental data from a wedge splitting test. Based on the statistical analysis, the prediction line between peak load Pmax and equivalent area Ae1Ae2 was obtained with 95% reliability. Nearly all experimental data are located within the scope of a 95% confidence interval. Furthermore, relationships were established between tensile strength, fracture toughness, and peak load Pmax. Consequently, it was revealed that peak load might be used to easily obtain PMMA bone cement fracture characteristics. Finally, the critical geometric dimension value of the PMMA bone cement sample with a linear elastic fracture was estimated.
聚甲基丙烯酸甲酯(PMMA)骨水泥是用于固定关节置换物的优良生物材料。拉伸强度ft和断裂韧性KIC对其应用和使用寿命有相当大的影响。考虑到PMMA骨水泥的变异性,本研究提出了一种三参数威布尔分布方法来评估其拉伸强度和断裂韧性分布。当PMMA骨水泥的特征裂纹为αch∗=8dav时,拉伸强度和断裂韧性的变异系数最小。使用简单方程αch∗=8dav和虚拟裂纹长度Δαfic=1.0dav,通过楔形劈裂试验的实验数据同时确定了拉伸强度的平均值μ(=43.23MPa)、最小值ftmin(=26.29MPa)、标准差σ(=6.42MPa)以及断裂韧性的这些值(μ = 1.77MPa⋅m1/2,KICmin = 1.02MPa⋅m1/2,σ = 0.2644MPa⋅m1/2)。基于统计分析,获得了峰值载荷Pmax与等效面积Ae1Ae2之间具有95%可靠性的预测线。几乎所有实验数据都位于95%置信区间范围内。此外,还建立了拉伸强度、断裂韧性与峰值载荷Pmax之间的关系。因此,结果表明峰值载荷可用于轻松获得PMMA骨水泥的断裂特性。最后,估计了具有线弹性断裂的PMMA骨水泥样品的临界几何尺寸值。