Suppr超能文献

ZIF-8膜中替代缺陷对反渗透脱盐的影响:分子动力学研究

Influence of Substitutional Defects in ZIF-8 Membranes on Reverse Osmosis Desalination: A Molecular Dynamics Study.

作者信息

Hong Terence Zhi Xiang, You Liming, Dahanayaka Madhavi, Law Adrian Wing-Keung, Zhou Kun

机构信息

Environmental Process Modeling Centre, Nanyang Environment and Water Research Institute, 1 Cleantech Loop, Singapore 637141, Singapore.

Interdisciplinary Graduate School, Nanyang Technological University, 50 Nanyang Avenue, Singapore 639798, Singapore.

出版信息

Molecules. 2021 Jun 3;26(11):3392. doi: 10.3390/molecules26113392.

Abstract

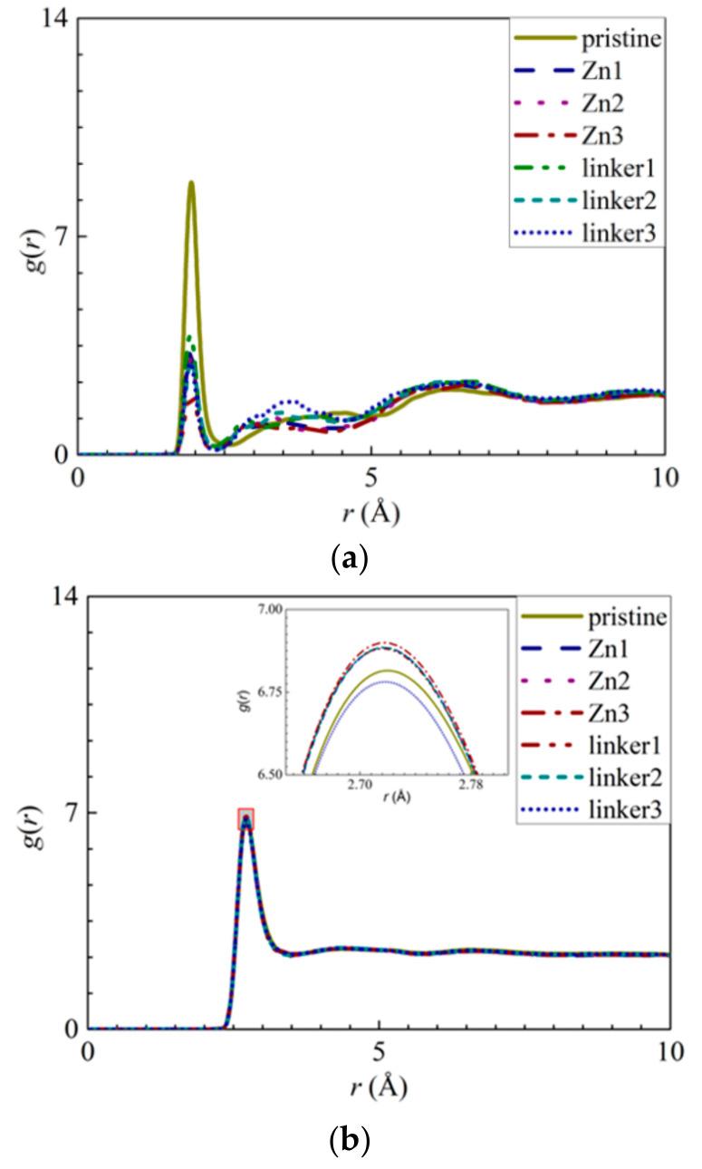
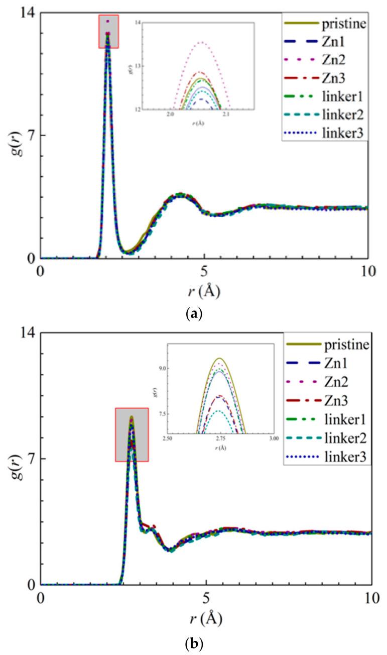
In this study, molecular dynamics simulation is used to investigate the effects of water-based substitutional defects in zeolitic imidazolate frameworks (ZIF)-8 membranes on their reverse osmosis (RO) desalination performance. ZIF-8 unit cells containing up to three defect sites are used to construct the membranes. These substitutional defects can either be Zn defects or linker defects. The RO desalination performance of the membranes is assessed in terms of the water flux and ion rejection rate. The effects of defects on the interactions between the ZIF-8 membranes and NaCl are investigated and explained with respect to the radial distribution function (RDF) and ion density distribution. The results show that ion adsorption on the membranes occurs at either the nitrogen atoms or the defect sites. Complete NaCl rejection can be achieved by introducing defects to change the size of the pores. It has also been discovered that the presence of linker defects increases membrane hydrophilicity. Overall, molecular dynamics simulations have been used in this study to show that water-based substitutional defects in a ZIF-8 structure reduce the water flux and influence its hydrophilicity and ion adsorption performance, which is useful in predicting the type and number of defect sites per unit cell required for RO applications. Of the seven ZIF-8 structures tested, pristine ZIF-8 exhibits the best RO desalination performance.

摘要

在本研究中,采用分子动力学模拟来研究沸石咪唑酯骨架(ZIF)-8膜中基于水的替代缺陷对其反渗透(RO)脱盐性能的影响。使用含有多达三个缺陷位点的ZIF-8晶胞来构建膜。这些替代缺陷可以是锌缺陷或连接体缺陷。根据水通量和离子截留率评估膜的RO脱盐性能。针对径向分布函数(RDF)和离子密度分布,研究并解释了缺陷对ZIF-8膜与氯化钠之间相互作用的影响。结果表明,膜上的离子吸附发生在氮原子或缺陷位点处。通过引入缺陷来改变孔径大小,可以实现对氯化钠的完全截留。还发现连接体缺陷的存在增加了膜的亲水性。总体而言,本研究中使用分子动力学模拟表明,ZIF-8结构中基于水的替代缺陷会降低水通量并影响其亲水性和离子吸附性能,这对于预测RO应用中每个晶胞所需的缺陷位点类型和数量很有用。在所测试的七种ZIF-8结构中,原始的ZIF-8表现出最佳的RO脱盐性能。

https://cdn.ncbi.nlm.nih.gov/pmc/blobs/8804/8200035/fee95bd94e25/molecules-26-03392-g001.jpg

文献AI研究员

20分钟写一篇综述,助力文献阅读效率提升50倍。

立即体验

用中文搜PubMed

大模型驱动的PubMed中文搜索引擎

马上搜索

文档翻译

学术文献翻译模型,支持多种主流文档格式。

立即体验