Suppr超能文献

设计、合成及安非他命和千里光碱前药的体外生物学评价作为缺氧靶向抗癌药物。

Design, Synthesis and In-Vitro Biological Evaluation of Antofine and Tylophorine Prodrugs as Hypoxia-Targeted Anticancer Agents.

机构信息

Department of Pharmaceutical Sciences, Pharmacy Department, Batterjee Medical College, Jeddah 21442, Saudi Arabia.

Auckland Cancer Society Research Centre, School of Medical Sciences, The University of Auckland, Private Bag 92019, Auckland 1142, New Zealand.

出版信息

Molecules. 2021 Jun 1;26(11):3327. doi: 10.3390/molecules26113327.

Abstract

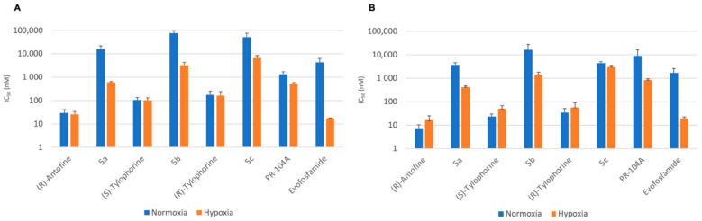
Phenanthroindolizidines, such as antofine and tylophorine, are a family of natural alkaloids isolated from different species of They are characterized by interesting biological activities, such as pronounced cytotoxicity against different human cancerous cell lines, including multidrug-resistant examples. Nonetheless, these derivatives are associated with severe neurotoxicity and loss of in vivo activity due to the highly lipophilic nature of the alkaloids. Here, we describe the development of highly polar prodrugs of antofine and tylophorine as hypoxia-targeted prodrugs. The developed quaternary ammonium salts of phenanthroindolizidines showed high chemical and metabolic stability and are predicted to have no penetration through the blood-brain barrier. The designed prodrugs displayed decreased cytotoxicity when tested under normoxic conditions. However, their cytotoxic activity considerably increased when tested under hypoxic conditions.

摘要

菲并吲哚里嗪类,如安托啡和千里光碱,是从不同种属中分离得到的一类天然生物碱。它们具有显著的生物活性,如对不同的人类癌细胞系,包括多药耐药株,表现出强烈的细胞毒性。然而,由于生物碱具有高度的亲脂性,这些衍生物与严重的神经毒性和体内活性丧失有关。在这里,我们描述了安托啡和千里光碱的高极性前药的开发,作为缺氧靶向前药。所开发的菲并吲哚里嗪类的季铵盐表现出高化学和代谢稳定性,预计不会穿透血脑屏障。在常氧条件下测试时,设计的前药表现出降低的细胞毒性。然而,当在缺氧条件下测试时,它们的细胞毒性活性显著增加。

https://cdn.ncbi.nlm.nih.gov/pmc/blobs/606e/8199124/870490d99696/molecules-26-03327-g001.jpg

文献AI研究员

20分钟写一篇综述,助力文献阅读效率提升50倍。

立即体验

用中文搜PubMed

大模型驱动的PubMed中文搜索引擎

马上搜索

文档翻译

学术文献翻译模型,支持多种主流文档格式。

立即体验