Fernihough Oliver, Cheshire Holly, Romano Jean-Michel, Ibrahim Ahmed, El-Kharouf Ahmad, Du Shangfeng
Centre for Fuel Cell and Hydrogen Research, School of Chemical Engineering, University of Birmingham, Birmingham B15 2TT, UK.
School of Engineering, University of Birmingham, Birmingham B15 2TT, UK.
Polymers (Basel). 2021 Jun 16;13(12):1976. doi: 10.3390/polym13121976.
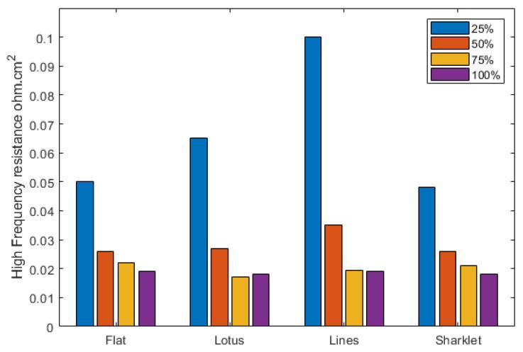
High performing proton exchange membrane fuel cells (PEMFCs) that can operate at low relative humidity is a continuing technical challenge for PEMFC developers. In this work, micro-patterned membranes are demonstrated at the cathode side by solution casting techniques using stainless steel moulds with laser-imposed periodic surface structures (LIPSS). Three types of patterns, lotus, lines, and sharklet, are investigated for their influence on the PEMFC power performance at varying humidity conditions. The experimental results show that the cathode electrolyte pattern, in all cases, enhances the fuel cell power performance at 100% relative humidity (RH). However, only the sharklet pattern exhibits a significant improvement at 25% RH, where a peak power density of 450 mW cm is recorded compared with 150 mW cm of the conventional flat membrane. The improvements are explored based on high-frequency resistance, electrochemically active surface area (ECSA), and hydrogen crossover by in situ membrane electrode assembly (MEA) testing.
能够在低相对湿度下运行的高性能质子交换膜燃料电池(PEMFC)对其开发者来说一直是一项技术挑战。在这项工作中,通过使用具有激光诱导周期性表面结构(LIPSS)的不锈钢模具,采用溶液浇铸技术在阴极侧制备了微图案化膜。研究了三种图案,即莲花图案、线条图案和鲨皮图案,在不同湿度条件下对PEMFC功率性能的影响。实验结果表明,在所有情况下,阴极电解质图案在100%相对湿度(RH)下均能提高燃料电池的功率性能。然而,只有鲨皮图案在25%RH时表现出显著改善,此时记录的峰值功率密度为450 mW/cm²,而传统平膜的峰值功率密度为150 mW/cm²。通过原位膜电极组件(MEA)测试,基于高频电阻、电化学活性表面积(ECSA)和氢渗透来探究这些改进。