• 文献检索
  • 文档翻译
  • 深度研究
  • 学术资讯
  • Suppr Zotero 插件Zotero 插件
  • 邀请有礼
  • 套餐&价格
  • 历史记录
应用&插件
Suppr Zotero 插件Zotero 插件浏览器插件Mac 客户端Windows 客户端微信小程序
定价
高级版会员购买积分包购买API积分包
服务
文献检索文档翻译深度研究API 文档MCP 服务
关于我们
关于 Suppr公司介绍联系我们用户协议隐私条款
关注我们

Suppr 超能文献

核心技术专利:CN118964589B侵权必究
粤ICP备2023148730 号-1Suppr @ 2026

文献检索

告别复杂PubMed语法,用中文像聊天一样搜索,搜遍4000万医学文献。AI智能推荐,让科研检索更轻松。

立即免费搜索

文件翻译

保留排版,准确专业,支持PDF/Word/PPT等文件格式,支持 12+语言互译。

免费翻译文档

深度研究

AI帮你快速写综述,25分钟生成高质量综述,智能提取关键信息,辅助科研写作。

立即免费体验

长链非编码RNA MALAT1通过抑制宫颈肿瘤细胞中miR-124的表达促进宫颈癌增殖。

LncRNA MALAT1 Accelerates Cervical Carcinoma Proliferation by Suppressing miR-124 Expression in Cervical Tumor Cells.

作者信息

Liang Tian, Wang Yuchen, Jiao Yu, Cong Shanshan, Jiang Xinyan, Dong Lina, Zhang Guangmei, Xiao Dan

机构信息

Department of Obstetrics and Gynaecology, The 1st Affiliated Hospital of Harbin Medical University, 150001 Harbin, China.

Department of Psychiatry, Qiqihar Medical University, 161006 Qiqihar, China.

出版信息

J Oncol. 2021 Jun 15;2021:8836078. doi: 10.1155/2021/8836078. eCollection 2021.

DOI:10.1155/2021/8836078
PMID:34221014
原文链接:https://pmc.ncbi.nlm.nih.gov/articles/PMC8221887/
Abstract

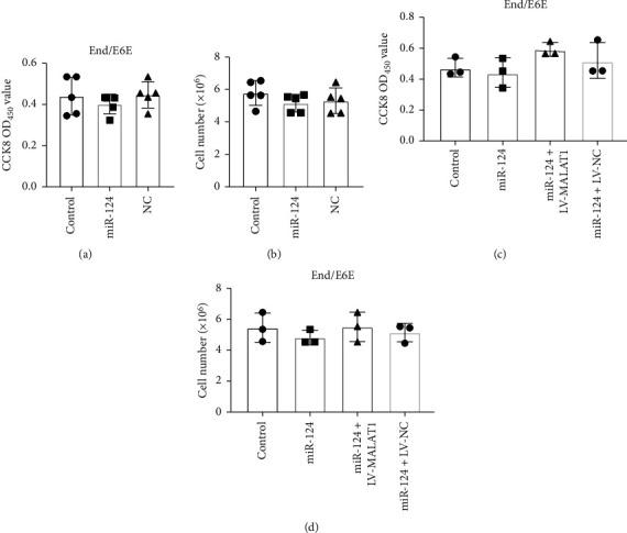
Emerging studies have clarified the critical role of LncRNA MALAT1 in various pathological progressions. Here, we identified its positive relationship with cervical carcinoma proliferation. Cervical carcinoma has been considered as one of the most malignant tumors among female. Thus, our study was designed to investigate the underlying mechanism of LncRNA MALAT1 on cervical tumor cell proliferation. We observed that miR-124 was the potential target of LncRNA MALAT1 in cervical tumor cell lines (Hela, C-33A, Caski, and SiHa), the expression level of which is negatively correlated with LncRNA MALAT1 in cervical tumor cells, tissues of cervical patients, and mice. Gain- or loss-of-function analyses in cervical tumor cells have further verified the regulatory role of MALAT1 on miR-124. Additionally, the proliferation of cervical carcinoma was inhibited by miR-124 overexpression, whereas it was blocked by LV-MALAT1 transfection. assays, overexpression of miR-124, or knockdown of MALAT1 exhibited beneficial effects on tumor weight, size, and volume, together with elevating the survival rate, tightly related with the progression of cervical cancer. In conclusion, LncRNA MALAT1 disabled the effects of miR-124 as an inhibitory sponge, accelerating the progression of cervical carcinoma.

摘要

新兴研究已阐明长链非编码RNA MALAT1在各种病理进展中的关键作用。在此,我们确定了其与宫颈癌增殖的正相关关系。宫颈癌被认为是女性中最恶性的肿瘤之一。因此,我们的研究旨在探讨长链非编码RNA MALAT1对宫颈肿瘤细胞增殖的潜在机制。我们观察到miR-124是宫颈肿瘤细胞系(Hela、C-33A、Caski和SiHa)中长链非编码RNA MALAT1的潜在靶点,其表达水平与宫颈肿瘤细胞、宫颈癌患者组织及小鼠中的长链非编码RNA MALAT1呈负相关。在宫颈肿瘤细胞中进行的功能获得或缺失分析进一步证实了MALAT1对miR-124的调控作用。此外,miR-124过表达抑制了宫颈癌的增殖,而LV-MALAT1转染则阻断了其增殖。实验表明,miR-124的过表达或MALAT1的敲低对肿瘤重量、大小和体积均有有益影响,同时提高了存活率,这与宫颈癌的进展密切相关。总之,长链非编码RNA MALAT1作为抑制性海绵阻断了miR-124的作用,加速了宫颈癌的进展。

https://cdn.ncbi.nlm.nih.gov/pmc/blobs/f9d4/8221887/cfb365dc6da2/JO2021-8836078.006.jpg
https://cdn.ncbi.nlm.nih.gov/pmc/blobs/f9d4/8221887/dd8715a755f1/JO2021-8836078.001.jpg
https://cdn.ncbi.nlm.nih.gov/pmc/blobs/f9d4/8221887/f375dc3ab305/JO2021-8836078.002.jpg
https://cdn.ncbi.nlm.nih.gov/pmc/blobs/f9d4/8221887/bcb24370ea12/JO2021-8836078.003.jpg
https://cdn.ncbi.nlm.nih.gov/pmc/blobs/f9d4/8221887/6e23f9656129/JO2021-8836078.004.jpg
https://cdn.ncbi.nlm.nih.gov/pmc/blobs/f9d4/8221887/eaf892a15928/JO2021-8836078.005.jpg
https://cdn.ncbi.nlm.nih.gov/pmc/blobs/f9d4/8221887/cfb365dc6da2/JO2021-8836078.006.jpg
https://cdn.ncbi.nlm.nih.gov/pmc/blobs/f9d4/8221887/dd8715a755f1/JO2021-8836078.001.jpg
https://cdn.ncbi.nlm.nih.gov/pmc/blobs/f9d4/8221887/f375dc3ab305/JO2021-8836078.002.jpg
https://cdn.ncbi.nlm.nih.gov/pmc/blobs/f9d4/8221887/bcb24370ea12/JO2021-8836078.003.jpg
https://cdn.ncbi.nlm.nih.gov/pmc/blobs/f9d4/8221887/6e23f9656129/JO2021-8836078.004.jpg
https://cdn.ncbi.nlm.nih.gov/pmc/blobs/f9d4/8221887/eaf892a15928/JO2021-8836078.005.jpg
https://cdn.ncbi.nlm.nih.gov/pmc/blobs/f9d4/8221887/cfb365dc6da2/JO2021-8836078.006.jpg

相似文献

1
LncRNA MALAT1 Accelerates Cervical Carcinoma Proliferation by Suppressing miR-124 Expression in Cervical Tumor Cells.长链非编码RNA MALAT1通过抑制宫颈肿瘤细胞中miR-124的表达促进宫颈癌增殖。
J Oncol. 2021 Jun 15;2021:8836078. doi: 10.1155/2021/8836078. eCollection 2021.
2
Knockdown of lncRNA induces pyroptosis by regulating the miR‑124/SIRT1 axis in cervical cancer cells.lncRNA 敲低通过调节 miR-124/SIRT1 轴诱导宫颈癌细胞发生细胞焦亡。
Int J Oncol. 2023 Dec;63(6). doi: 10.3892/ijo.2023.5586. Epub 2023 Nov 3.
3
MiR-375 Is Epigenetically Downregulated by HPV-16 E6 Mediated DNMT1 Upregulation and Modulates EMT of Cervical Cancer Cells by Suppressing lncRNA MALAT1.微小RNA-375通过人乳头瘤病毒16型E6介导的DNA甲基转移酶1上调而发生表观遗传下调,并通过抑制长链非编码RNA MALAT1来调节宫颈癌细胞的上皮-间质转化。
PLoS One. 2016 Sep 22;11(9):e0163460. doi: 10.1371/journal.pone.0163460. eCollection 2016.
4
MALAT1-miR-124-RBG2 axis is involved in growth and invasion of HR-HPV-positive cervical cancer cells.MALAT1- miR-124-RBG2轴参与人乳头瘤病毒16型/18型阳性宫颈癌细胞的生长和侵袭。
Tumour Biol. 2016 Jan;37(1):633-40. doi: 10.1007/s13277-015-3732-4. Epub 2015 Aug 5.
5
Long Non-Coding RNA (lncRNA) Metastasis-Associated Lung Adenocarcinoma Transcript 1 (MALAT1) Promotes Cell Proliferation and Migration by Regulating miR-143-3p and MAGE Family Member A9 (MAGEA9) in Oral Squamous Cell Carcinoma.长链非编码 RNA(lncRNA)转移相关肺腺癌转录本 1(MALAT1)通过调节 miR-143-3p 和口腔鳞状细胞癌中的 MAGE 家族成员 A9(MAGEA9)促进细胞增殖和迁移。
Med Sci Monit. 2020 Sep 3;26:e924187. doi: 10.12659/MSM.924187.
6
Correlation study between long non-coding RNA MALAT1 and radiotherapy efficiency on cervical carcinoma and generation of radiotherapy resistant model of cancer.长链非编码 RNA MALAT1 与宫颈癌放疗效率的相关性研究及其放疗抵抗肿瘤模型的构建。
Eur Rev Med Pharmacol Sci. 2018 Aug;22(16):5140-5148. doi: 10.26355/eurrev_201808_15709.
7
The effects of lncRNA MALAT1 on proliferation, invasion and migration in colorectal cancer through regulating SOX9.长链非编码 RNA MALAT1 通过调控 SOX9 对结直肠癌细胞增殖、侵袭和迁移的影响。
Mol Med. 2018 Oct 3;24(1):52. doi: 10.1186/s10020-018-0050-5.
8
Interaction of lncRNA-MALAT1 and miR-124 regulates HBx-induced cancer stem cell properties in HepG2 through PI3K/Akt signaling.lncRNA-MALAT1 与 miR-124 的相互作用通过 PI3K/Akt 信号通路调节 HBx 诱导的 HepG2 肿瘤干细胞特性。
J Cell Biochem. 2019 Mar;120(3):2908-2918. doi: 10.1002/jcb.26823. Epub 2018 Nov 30.
9
Metformin, a first-line drug for type 2 diabetes mellitus, disrupts the MALAT1/miR-142-3p sponge to decrease invasion and migration in cervical cancer cells.二甲双胍是治疗 2 型糖尿病的一线药物,它通过破坏 MALAT1/miR-142-3p 海绵体来减少宫颈癌细胞的侵袭和迁移。
Eur J Pharmacol. 2018 Jul 5;830:59-67. doi: 10.1016/j.ejphar.2018.04.027. Epub 2018 Apr 25.
10
MicroRNA-625-5p Sponges lncRNA MALAT1 to Inhibit Cervical Carcinoma Cell Growth by Suppressing NF-κB Signaling.miRNA-625-5p 通过海绵吸附 lncRNA MALAT1 抑制 NF-κB 信号通路抑制宫颈癌细胞生长。
Cell Biochem Biophys. 2020 Jun;78(2):217-225. doi: 10.1007/s12013-020-00904-7. Epub 2020 Mar 9.

引用本文的文献

1
Upregulation of long non-coding RNA ENSG00000267838 is related to the high risk of progression and non-response to chemoradiotherapy treatment for cervical cancer.长链非编码RNA ENSG00000267838的上调与宫颈癌进展的高风险以及对放化疗治疗无反应相关。
Noncoding RNA Res. 2024 Oct 24;11:104-114. doi: 10.1016/j.ncrna.2024.10.004. eCollection 2025 Apr.
2
Therapeutic combinations of exosomes alongside cancer stem cells (CSCs) and of CSC-derived exosomes (CSCEXs) in cancer therapy.外泌体与癌症干细胞(CSCs)的治疗组合以及癌症治疗中癌症干细胞衍生外泌体(CSCEXs)的治疗组合。
Cancer Cell Int. 2024 Oct 5;24(1):334. doi: 10.1186/s12935-024-03514-y.
3

本文引用的文献

1
Long noncoding RNA MALAT1 inhibits the apoptosis and autophagy of hepatocellular carcinoma cell by targeting the microRNA-146a/PI3K/Akt/mTOR axis.长链非编码RNA MALAT1通过靶向微小RNA-146a/PI3K/Akt/mTOR轴抑制肝癌细胞的凋亡和自噬。
Cancer Cell Int. 2020 May 13;20:165. doi: 10.1186/s12935-020-01231-w. eCollection 2020.
2
LncRNA PTCSC3 suppressed cervical carcinoma cell invasion and proliferation via regulating miR-574-5p.长链非编码RNA PTCSC3通过调控miR-574-5p抑制宫颈癌细胞的侵袭和增殖。
Am J Transl Res. 2019 Nov 15;11(11):7186-7194. eCollection 2019.
3
LncRNA SNHG8 is identified as a key regulator of acute myocardial infarction by RNA-seq analysis.
miR-218-5p, miR-124-3p and miR-23b-3p act synergistically to modulate the expression of NACC1, proliferation, and apoptosis in C-33A and CaSki cells.
微小RNA-218-5p、微小RNA-124-3p和微小RNA-23b-3p协同作用,调节C-33A和CaSki细胞中NACC1的表达、增殖及凋亡。
Noncoding RNA Res. 2024 Feb 27;9(3):720-731. doi: 10.1016/j.ncrna.2024.02.016. eCollection 2024 Sep.
4
Long noncoding RNA MALAT-1: A versatile regulator in cancer progression, metastasis, immunity, and therapeutic resistance.长链非编码RNA MALAT-1:癌症进展、转移、免疫及治疗抗性中的多功能调节因子
Noncoding RNA Res. 2024 Feb 1;9(2):388-406. doi: 10.1016/j.ncrna.2024.01.015. eCollection 2024 Jun.
5
Function of microRNA‑124 in the pathogenesis of cancer (Review).微小 RNA-124 在癌症发病机制中的功能(综述)。
Int J Oncol. 2024 Jan;64(1). doi: 10.3892/ijo.2023.5594. Epub 2023 Dec 1.
6
Regulation of the Key Epithelial Cancer Suppressor miR-124 Function by Competing Endogenous RNAs.竞争内源性 RNA 对关键上皮癌抑制 miR-124 功能的调控。
Int J Mol Sci. 2022 Nov 7;23(21):13620. doi: 10.3390/ijms232113620.
7
Epigenetic regulation of cutaneous T-cell lymphoma is mediated by dysregulated lncRNA MALAT1 through modulation of tumor microenvironment.皮肤T细胞淋巴瘤的表观遗传调控是由失调的长链非编码RNA MALAT1通过调节肿瘤微环境介导的。
Front Oncol. 2022 Aug 17;12:977266. doi: 10.3389/fonc.2022.977266. eCollection 2022.
8
The functions of lncRNAs in the HPV-negative cervical cancer compared with HPV-positive cervical cancer.HPV 阴性宫颈癌与 HPV 阳性宫颈癌中 lncRNAs 的功能。
Apoptosis. 2022 Oct;27(9-10):685-696. doi: 10.1007/s10495-022-01761-w. Epub 2022 Aug 18.
9
The Regulatory Functions and the Mechanisms of Long Non-Coding RNAs in Cervical Cancer.长链非编码 RNA 在宫颈癌中的调控功能及作用机制。
Cells. 2022 Mar 29;11(7):1149. doi: 10.3390/cells11071149.
长链非编码 RNA SNHG8 通过 RNA-seq 分析被鉴定为急性心肌梗死的关键调节因子。
Lipids Health Dis. 2019 Nov 18;18(1):201. doi: 10.1186/s12944-019-1142-0.
4
Transcription Factor p53 Suppresses Tumor Growth by Prompting Pyroptosis in Non-Small-Cell Lung Cancer.转录因子 p53 通过诱导非小细胞肺癌细胞发生细胞焦亡抑制肿瘤生长。
Oxid Med Cell Longev. 2019 Oct 13;2019:8746895. doi: 10.1155/2019/8746895. eCollection 2019.
5
Casiopeina II‑gly acts on lncRNA MALAT1 by miR‑17‑5p to inhibit FZD2 expression via the Wnt signaling pathway during the treatment of cervical carcinoma.在宫颈癌治疗过程中,卡铂配聚物II-甘氨酸通过miR-17-5p作用于lncRNA MALAT1,经由Wnt信号通路抑制FZD2表达。
Oncol Rep. 2019 Oct;42(4):1365-1379. doi: 10.3892/or.2019.7268. Epub 2019 Aug 8.
6
Key Molecular Events in Cervical Cancer Development.宫颈癌发展中的关键分子事件。
Medicina (Kaunas). 2019 Jul 17;55(7):384. doi: 10.3390/medicina55070384.
7
LncRNA MALAT1 contributes to non-small cell lung cancer progression via modulating miR-200a-3p/programmed death-ligand 1 axis.长链非编码 RNA MALAT1 通过调节 miR-200a-3p/程序性死亡配体 1 轴促进非小细胞肺癌进展。
Int J Immunopathol Pharmacol. 2019 Jan-Dec;33:2058738419859699. doi: 10.1177/2058738419859699.
8
Upregulation of lncRNA GAS5 inhibits the growth and metastasis of cervical cancer cells.长链非编码 RNA GAS5 的上调抑制宫颈癌细胞的生长和转移。
J Cell Physiol. 2019 Dec;234(12):23571-23580. doi: 10.1002/jcp.28926. Epub 2019 Jun 17.
9
The functional roles of exosomal long non-coding RNAs in cancer.外泌体长链非编码 RNA 在癌症中的功能作用。
Cell Mol Life Sci. 2019 Jun;76(11):2059-2076. doi: 10.1007/s00018-019-03018-3. Epub 2019 Jan 25.
10
MALAT1: a potential biomarker in cancer.MALAT1:一种癌症中的潜在生物标志物。
Cancer Manag Res. 2018 Dec 6;10:6757-6768. doi: 10.2147/CMAR.S169406. eCollection 2018.