• 文献检索
  • 文档翻译
  • 深度研究
  • 学术资讯
  • Suppr Zotero 插件Zotero 插件
  • 邀请有礼
  • 套餐&价格
  • 历史记录
应用&插件
Suppr Zotero 插件Zotero 插件浏览器插件Mac 客户端Windows 客户端微信小程序
定价
高级版会员购买积分包购买API积分包
服务
文献检索文档翻译深度研究API 文档MCP 服务
关于我们
关于 Suppr公司介绍联系我们用户协议隐私条款
关注我们

Suppr 超能文献

核心技术专利:CN118964589B侵权必究
粤ICP备2023148730 号-1Suppr @ 2026

文献检索

告别复杂PubMed语法,用中文像聊天一样搜索,搜遍4000万医学文献。AI智能推荐,让科研检索更轻松。

立即免费搜索

文件翻译

保留排版,准确专业,支持PDF/Word/PPT等文件格式,支持 12+语言互译。

免费翻译文档

深度研究

AI帮你快速写综述,25分钟生成高质量综述,智能提取关键信息,辅助科研写作。

立即免费体验

腹膜透析的发展结果:三十年间一个大型单一中心的长期趋势。

Evolving outcomes of peritoneal dialysis: secular trends at a single large center over three decades.

作者信息

Kang Minjung, Kim Yae Lim, Kang Eunjeong, Ryu Hyunjin, Kim Yong Chul, Kim Dong Ki, Lee Hajeong, Han Seung Seok, Joo Kwon-Wook, Kim Yon Su, Ahn Curie, Oh Kook-Hwan

机构信息

Division of Nephrology, Department of Internal Medicine, Seoul National University Hospital, Seoul, Republic of Korea.

Department of Internal Medicine, Seoul National University College of Medicine, Seoul, Republic of Korea.

出版信息

Kidney Res Clin Pract. 2021 Sep;40(3):472-483. doi: 10.23876/j.krcp.21.020. Epub 2021 Jul 1.

DOI:10.23876/j.krcp.21.020
PMID:34233441
原文链接:https://pmc.ncbi.nlm.nih.gov/articles/PMC8476299/
Abstract

BACKGROUND

Peritoneal dialysis (PD) is improving as a renal replacement therapy for end-stage renal disease (ESRD) patients. We analyzed the main outcomes of PD over the last three decades at a single large-scale PD center with an established high-quality care system.

METHODS

As a retrospective cohort study, we included participants (n = 1,203) who began PD between 1990 and 2019. Major PD-related outcomes were compared among the three 10-year cohorts.

RESULTS

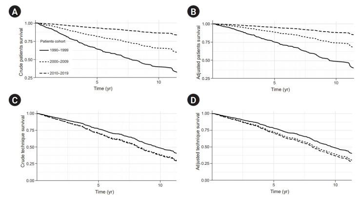
The 1,203 participants were 58.3% male with a mean age of 47.9 ± 13.8 years. The median PD treatment duration was 45 months (interquartile range, 19-77 months); 362 patients (30.1%) transferred to hemodialysis, 289 (24.0%) received kidney transplants, and 224 (18.6%) died. Overall, the 5- and 8-year adjust patient survival rates were 64% and 49%, respectively. Common causes of death included infection (n = 55), cardiac (n = 38), and cerebrovascular (n = 17) events. The 5- and 8-year technique survival rates were 77% and 62%, respectively, with common causes of technique failure being infection (42.3%) and solute/water clearance problems (22.7%). The 5-year patient survival significantly improved over time (64% for the 1990-1999 cohort vs. 93% for the 2010-2019 cohort). The peritonitis rate also substantially decreased over time, from 0.278 episodes/patient-year (2000-2004) to 0.162 episodes/patient-year (2015-2019).

CONCLUSION

PD is an effective treatment option for ESRD patients. There was a substantial improvement in the patient survival and peritonitis rates over time. Establishing adequate infrastructure and an effective system for high-quality PD therapy may be warranted to improve PD outcomes.

摘要

背景

腹膜透析(PD)作为终末期肾病(ESRD)患者的肾脏替代治疗方法正在不断改进。我们分析了在一个拥有成熟高质量护理系统的大型单一PD中心过去三十年中PD的主要结局。

方法

作为一项回顾性队列研究,我们纳入了1990年至2019年间开始进行PD的参与者(n = 1,203)。在三个10年队列中比较了主要的PD相关结局。

结果

1,203名参与者中男性占58.3%,平均年龄为47.9±13.8岁。PD治疗的中位持续时间为45个月(四分位间距,19 - 77个月);362例患者(30.1%)转为血液透析,289例(24.0%)接受了肾移植,224例(18.6%)死亡。总体而言,调整后的5年和8年患者生存率分别为64%和49%。常见死亡原因包括感染(n = 55)、心脏(n = 38)和脑血管(n = 17)事件。5年和8年的技术生存率分别为77%和62%,技术失败的常见原因是感染(42.3%)和溶质/水清除问题(22.7%)。5年患者生存率随时间显著提高(1990 - 1999年队列中为64%,而2010 - 2019年队列为93%)。腹膜炎发生率也随时间大幅下降,从0.278次/患者年(2000 - 2004年)降至0.162次/患者年(2015 - 2019年)。

结论

PD是ESRD患者的一种有效治疗选择。随着时间的推移,患者生存率和腹膜炎发生率有了显著改善。建立适当基础设施和有效的高质量PD治疗系统可能有助于改善PD结局。

https://cdn.ncbi.nlm.nih.gov/pmc/blobs/8e7c/8476299/42c98bb09c00/j-krcp-21-020f4.jpg
https://cdn.ncbi.nlm.nih.gov/pmc/blobs/8e7c/8476299/999fac6b37da/j-krcp-21-020f1.jpg
https://cdn.ncbi.nlm.nih.gov/pmc/blobs/8e7c/8476299/dccd306b6acd/j-krcp-21-020f2.jpg
https://cdn.ncbi.nlm.nih.gov/pmc/blobs/8e7c/8476299/0a44916e2703/j-krcp-21-020f3.jpg
https://cdn.ncbi.nlm.nih.gov/pmc/blobs/8e7c/8476299/42c98bb09c00/j-krcp-21-020f4.jpg
https://cdn.ncbi.nlm.nih.gov/pmc/blobs/8e7c/8476299/999fac6b37da/j-krcp-21-020f1.jpg
https://cdn.ncbi.nlm.nih.gov/pmc/blobs/8e7c/8476299/dccd306b6acd/j-krcp-21-020f2.jpg
https://cdn.ncbi.nlm.nih.gov/pmc/blobs/8e7c/8476299/0a44916e2703/j-krcp-21-020f3.jpg
https://cdn.ncbi.nlm.nih.gov/pmc/blobs/8e7c/8476299/42c98bb09c00/j-krcp-21-020f4.jpg

相似文献

1
Evolving outcomes of peritoneal dialysis: secular trends at a single large center over three decades.腹膜透析的发展结果:三十年间一个大型单一中心的长期趋势。
Kidney Res Clin Pract. 2021 Sep;40(3):472-483. doi: 10.23876/j.krcp.21.020. Epub 2021 Jul 1.
2
Outcome and complications in peritoneal dialysis patients: a five-year single center experience.腹膜透析患者的结局与并发症:一项为期五年的单中心经验
Saudi J Kidney Dis Transpl. 2011 Mar;22(2):245-51.
3
Peritoneal Dialysis in Orthotopic Liver Transplantation Recipients.原位肝移植受者的腹膜透析
Perit Dial Int. 2018 Jan-Feb;38(1):44-48. doi: 10.3747/pdi.2017.00134. Epub 2017 Nov 21.
4
[REIN Report 2011--summary].[2011年肾脏疾病改善全球结果(KDIGO)报告——摘要]
Nephrol Ther. 2013 Sep;9 Suppl 1:S3-6. doi: 10.1016/S1769-7255(13)70036-1.
5
Clinical outcomes and mortality in peritoneal dialysis patients: a 10-year retrospective analysis in a single center.腹膜透析患者的临床结局与死亡率:单中心10年回顾性分析
Clin Nephrol. 2013 Oct;80(4):270-9. doi: 10.5414/CN107711.
6
Center Effects and Peritoneal Dialysis Peritonitis Outcomes: Analysis of a National Registry.中心效应与腹膜透析相关性腹膜炎结局:全国登记数据分析。
Am J Kidney Dis. 2018 Jun;71(6):814-821. doi: 10.1053/j.ajkd.2017.10.017. Epub 2017 Dec 28.
7
Is there impact of mortality prior hemodialysis therapy in peritoneal dialysis patients?腹膜透析患者行血液透析前死亡是否有影响?
Nefrologia. 2012 May 14;32(3):335-42. doi: 10.3265/Nefrologia.pre2012.Jan.11143. Epub 2012 Apr 17.
8
Urgent-start peritoneal dialysis for patients with end stage renal disease: a 10-year retrospective study.紧急启动腹膜透析治疗终末期肾病患者:一项 10 年回顾性研究。
BMC Nephrol. 2019 Jul 2;20(1):238. doi: 10.1186/s12882-019-1408-9.
9
Appraising the outcome and complications of peritoneal dialysis patients in self-care peritoneal dialysis and assisted peritoneal dialysis: A 5-year review of a single Saudi center.评估自我护理腹膜透析和辅助腹膜透析的腹膜透析患者的结局及并发症:沙特单一中心的5年回顾
Saudi J Kidney Dis Transpl. 2018 Jan-Feb;29(1):71-80. doi: 10.4103/1319-2442.225197.
10
First-year outcomes of incident peritoneal dialysis patients in the United States.美国新入组腹膜透析患者的 1 年转归。
Am J Kidney Dis. 2014 Nov;64(5):761-9. doi: 10.1053/j.ajkd.2014.04.025. Epub 2014 Jun 11.

引用本文的文献

1
Screening for nasal carriage of Staphylococcus (S.) aureus reduces the risk of S. aureus peritonitis in patients on peritoneal dialysis (PD).筛查金黄色葡萄球菌的鼻腔携带情况可降低腹膜透析(PD)患者发生金黄色葡萄球菌腹膜炎的风险。
Int Urol Nephrol. 2025 May;57(5):1639-1648. doi: 10.1007/s11255-024-04309-w. Epub 2024 Dec 30.
2
Ten-Year Single-Center Study Examining Patient Survival after Commencing Long-Term Peritoneal Dialysis.一项为期十年的单中心研究:考察开始长期腹膜透析后的患者生存率
J Clin Med. 2023 Nov 24;12(23):7283. doi: 10.3390/jcm12237283.
3
Elevated Ferritin Levels Associated with High Body Fat Mass Affect Mortality in Peritoneal Dialysis Patients.

本文引用的文献

1
International Society for Peritoneal Dialysis practice recommendations: Prescribing high-quality goal-directed peritoneal dialysis.国际腹膜透析学会实践建议:开具高质量目标导向性腹膜透析处方
Perit Dial Int. 2020 May;40(3):244-253. doi: 10.1177/0896860819895364. Epub 2020 Jan 21.
2
A comparison of quality of life between patients treated with different dialysis modalities in Taiwan.台湾地区不同透析模式治疗患者的生活质量比较。
PLoS One. 2020 Jan 6;15(1):e0227297. doi: 10.1371/journal.pone.0227297. eCollection 2020.
3
US Renal Data System 2019 Annual Data Report: Epidemiology of Kidney Disease in the United States.
铁蛋白水平升高与体脂肪量高相关,影响腹膜透析患者的死亡率。
Nutrients. 2023 Apr 29;15(9):2149. doi: 10.3390/nu15092149.
美国肾脏数据系统2019年年报:美国肾脏疾病流行病学
Am J Kidney Dis. 2020 Jan;75(1 Suppl 1):A6-A7. doi: 10.1053/j.ajkd.2019.09.003. Epub 2019 Nov 5.
4
Status of care for end stage kidney disease in countries and regions worldwide: international cross sectional survey.全球各国和地区终末期肾病护理状况:国际横断面调查。
BMJ. 2019 Oct 31;367:l5873. doi: 10.1136/bmj.l5873.
5
Incremental Peritoneal Dialysis May be Beneficial for Preserving Residual Renal Function Compared to Full-dose Peritoneal Dialysis.与全剂量腹膜透析相比,递增式腹膜透析可能有益于保留残余肾功能。
Sci Rep. 2019 Jul 12;9(1):10105. doi: 10.1038/s41598-019-46654-2.
6
Changes in Outcomes over Time Among Incident Peritoneal Dialysis Patients in Southern China.中国南方新发生腹膜透析患者的结局随时间的变化。
Perit Dial Int. 2019 Jul-Aug;39(4):382-389. doi: 10.3747/pdi.2018.00256. Epub 2019 May 23.
7
Impact of body mass index on survival in patients undergoing peritoneal dialysis: Analysis of data from the Insan Memorial End-Stage Renal Disease Registry of Korea (1985-2014).体重指数对接受腹膜透析患者生存的影响:韩国仁山纪念终末期肾病登记处(1985 - 2014年)数据分析
Kidney Res Clin Pract. 2019 Jun 30;38(2):239-249. doi: 10.23876/j.krcp.18.0106.
8
Predictors of outcomes in patients on peritoneal dialysis: A 2-year nationwide cohort study.腹膜透析患者结局的预测因素:一项为期 2 年的全国队列研究。
Sci Rep. 2019 Mar 8;9(1):3967. doi: 10.1038/s41598-019-40692-6.
9
Socioeconomic status and mortality among dialysis patients: a systematic review and meta-analysis.透析患者的社会经济地位与死亡率:系统评价和荟萃分析。
Int Urol Nephrol. 2019 Mar;51(3):509-518. doi: 10.1007/s11255-019-02078-5. Epub 2019 Jan 28.
10
Frequent patient retraining at home reduces the risks of peritoneal dialysis-related infections: A randomised study.频繁的患者家庭再培训可降低腹膜透析相关感染风险:一项随机研究。
Sci Rep. 2018 Aug 27;8(1):12919. doi: 10.1038/s41598-018-30785-z.