Treiber Leonhard, Thaler Bernhard, Heim Pascal, Stadlhofer Michael, Kanya Reika, Kitzler-Zeiler Markus, Koch Markus
Graz University of Technology, Institute of Experimental Physics, Graz, Austria.
Department of Chemistry, Faculty of Science, Tokyo Metropolitan University, Hachioji-shi, Tokyo, Japan.
Nat Commun. 2021 Jul 9;12(1):4204. doi: 10.1038/s41467-021-24479-w.
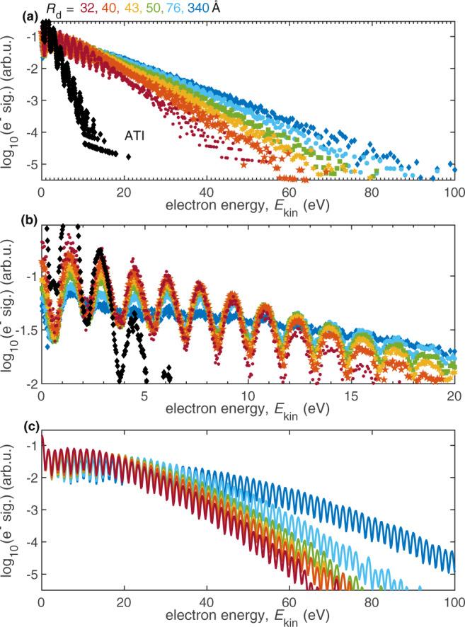
Laser-assisted electron scattering (LAES), a light-matter interaction process that facilitates energy transfer between strong light fields and free electrons, has so far been observed only in gas phase. Here we report on the observation of LAES at condensed phase particle densities, for which we create nano-structured systems consisting of a single atom or molecule surrounded by a superfluid He shell of variable thickness (32-340 Å). We observe that free electrons, generated by femtosecond strong-field ionization of the core particle, can gain several tens of photon energies due to multiple LAES processes within the liquid He shell. Supported by Monte Carlo 3D LAES and elastic scattering simulations, these results provide the first insight into the interplay of LAES energy gain/loss and dissipative electron movement in a liquid. Condensed-phase LAES creates new possibilities for space-time studies of solids and for real-time tracing of free electrons in liquids.
激光辅助电子散射(LAES)是一种光与物质相互作用的过程,它促进强光场与自由电子之间的能量转移,迄今为止仅在气相中被观测到。在此,我们报告了在凝聚相粒子密度下对LAES的观测,为此我们创建了纳米结构系统,该系统由单个原子或分子组成,周围环绕着厚度可变(32 - 340 Å)的超流氦壳层。我们观察到,由核心粒子的飞秒强场电离产生的自由电子,由于液氦壳层内的多个LAES过程,可以获得几十倍的光子能量。在蒙特卡罗三维LAES和弹性散射模拟的支持下,这些结果首次揭示了LAES能量增益/损失与液体中耗散电子运动之间的相互作用。凝聚相LAES为固体的时空研究以及液体中自由电子的实时追踪创造了新的可能性。