Mai Xiaoting, Ling Fangyi, Gong Yuting, Chen Jialin, Lin Hongjie, Chen Haoyu
Joint Shantou International Eye Center, Shantou University and the Chinese University of Hong Kong, Shantou, China.
Front Med (Lausanne). 2021 Jun 24;8:688305. doi: 10.3389/fmed.2021.688305. eCollection 2021.
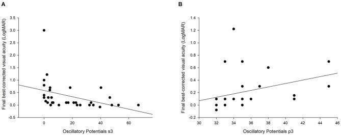
This study aims to investigate the correlation between electroretinogram (ERG) and visual outcome in eyes with metallic intraocular foreign body (IOFB) injury. Cases with metallic IOFB injuries with preoperative ERG from January 2008 to May 2020 were reviewed retrospectively. Five ERG responses were recorded, including rod response, maximal response, oscillatory potentials, cone response, and 30-Hz flicker. The results were compared between the affected and the contralateral eyes. All patients received surgery to remove IOFBs. The correlation between amplitudes, implicit times, and grades of ERG with final best-corrected visual acuity (BCVA) was analyzed. A total of 33 eyes of 33 patients were included. The eyes with IOFB had generally delayed implicit time and reduced amplitude in all waves. The maximum change was found in oscillatory potentials S3 and N1 (0.42 ± 0.42 and 1.95 ± 1.97 of the fellow eyes, respectively, < 0.05). All amplitudes were negatively correlated with the final BCVA (rs: -0.676 to -0.459, all < 0.05). In contrast, all implicit times were positively correlated with final BCVA, although, some of them were not statistically significant (rs: 0.035 to 0.687). Among them, oscillatory potential P3 has the highest correlation coefficient (rs = 0.687, < 0.001). All grades of ERG waves were statistically correlated with the final BCVA (rs: -0.596 to -0.664, all < 0.001). ERG can be used to assess visual outcome in metallic IOFB injury after surgery. Oscillatory potentials provided the most significant responses.
本研究旨在探讨金属性眼内异物(IOFB)损伤眼的视网膜电图(ERG)与视觉预后之间的相关性。回顾性分析2008年1月至2020年5月期间有术前ERG检查结果的金属性IOFB损伤病例。记录了5种ERG反应,包括视杆细胞反应、最大反应、振荡电位、视锥细胞反应和30Hz闪烁反应。对患眼和对侧眼的结果进行比较。所有患者均接受了手术取出IOFB。分析了ERG的振幅、隐含时间和分级与最终最佳矫正视力(BCVA)之间的相关性。共纳入33例患者的33只眼。IOFB损伤眼的所有波的隐含时间普遍延迟,振幅降低。振荡电位S3和N1的变化最大(健眼分别为0.42±0.42和1.95±1.97,均P<0.05)。所有振幅均与最终BCVA呈负相关(rs:-0.676至-0.459,均P<0.05)。相比之下,所有隐含时间均与最终BCVA呈正相关,尽管其中一些无统计学意义(rs:0.035至0.687)。其中,振荡电位P3的相关系数最高(rs=0.687,P<0.001)。所有等级的ERG波与最终BCVA均有统计学相关性(rs:-0.596至-0.664,均P<0.001)。ERG可用于评估金属性IOFB损伤术后的视觉预后。振荡电位提供的反应最为显著。