Suppr超能文献

他克林簇作为乙酰胆碱酯酶抑制的正协同体系的发展。

Development of tacrine clusters as positively cooperative systems for the inhibition of acetylcholinesterase.

机构信息

Department of Chemistry, Bioscience and Environmental Engineering, Faculty of Science and Technology, University of Stavanger, Stavanger, Norway.

Department of Organic Chemistry, Chemistry Institute, Federal University of Rio de Janeiro, Rio de Janeiro, Brazil.

出版信息

J Enzyme Inhib Med Chem. 2021 Dec;36(1):1659-1664. doi: 10.1080/14756366.2021.1954917.

Abstract

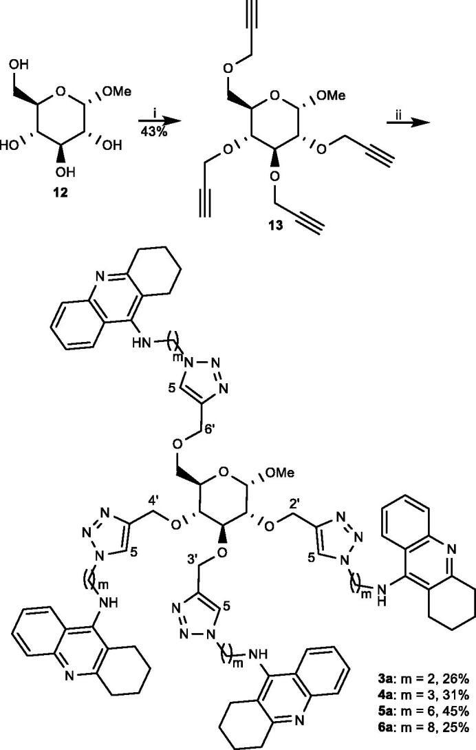
The synthesis of four tetra-tacrine clusters where the tacrine binding units are attached to a central scaffold linkers of variable lengths is described. The multivalent inhibition potencies for the tacrine clusters were investigated for the inhibition of acetylcholinesterase. Two of the tacrine clusters displayed a small but significant multivalent inhibition potency in which the binding affinity of each of the tacrine binding units increased up to 3.2 times when they are connected to the central scaffold.

摘要

本文描述了四种四连接他克林簇的合成,其中他克林结合单元连接到一个可变长度的中央支架连接子上。研究了他克林簇对乙酰胆碱酯酶抑制的多价抑制效力。其中两个他克林簇表现出较小但显著的多价抑制效力,当它们连接到中央支架上时,每个他克林结合单元的结合亲和力增加了高达 3.2 倍。

https://cdn.ncbi.nlm.nih.gov/pmc/blobs/df21/8317962/63d38387ef8a/IENZ_A_1954917_F0001_B.jpg

文献检索

告别复杂PubMed语法,用中文像聊天一样搜索,搜遍4000万医学文献。AI智能推荐,让科研检索更轻松。

立即免费搜索

文件翻译

保留排版,准确专业,支持PDF/Word/PPT等文件格式,支持 12+语言互译。

免费翻译文档

深度研究

AI帮你快速写综述,25分钟生成高质量综述,智能提取关键信息,辅助科研写作。

立即免费体验