Suppr超能文献

慢性肾脏病患者的血压与肾脏结局的关系:FROM-J 研究的事后分析。

Association of blood pressure and renal outcome in patients with chronic kidney disease; a post hoc analysis of FROM-J study.

机构信息

Department of Nephrology, Rheumatology, Endocrinology and Metabolism, Okayama University Graduate School of Medicine, Dentistry, and Pharmaceutical Science, Okayama, Japan.

Department of Chronic Kidney Disease and Cardiovascular Disease, Dentistry, and Pharmaceutical Science, Okayama University Graduate School of Medicine, Dentistry, and Pharmaceutical Science, Okayama, Japan.

出版信息

Sci Rep. 2021 Jul 22;11(1):14990. doi: 10.1038/s41598-021-94467-z.

Abstract

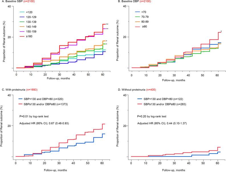
It is well-known that hypertension exacerbates chronic kidney disease (CKD) progression, however, the optimal target blood pressure (BP) level in patients with CKD remains unclear. This study aimed to assess the optimal BP level for preventing CKD progression. The risk of renal outcome among different BP categories at baseline as well as 1 year after, were evaluated using individual CKD patient data aged between 40 and 74 years from FROM-J [Frontier of Renal Outcome Modifications in Japan] study. The renal outcome was defined as ≥ 40% reduction in estimated glomerular filtration rate to < 60 mL/min/1.73 m, or a diagnosis of end stage renal disease. Regarding baseline BP, the group of systolic BP (SBP) 120-129 mmHg had the lowest risk of the renal outcome, which increased more than 60% in SBP ≥ 130 mmHg group. A significant increase in the renal outcome was found only in the group of diastolic BP ≥ 90 mmHg. The group of BP < 130/80 mmHg had a benefit for lowering the risk regardless of the presence of proteinuria, and it significantly reduced the risk in patients with proteinuria. Achieving SBP level < 130 mmHg after one year resulted in a 42% risk reduction in patients with SBP level ≥ 130 mmHg at baseline. Targeting SBP level < 130 mmHg would be associated with the preferable renal outcome.Clinical Trial Registration-URL: https://www.umin.ac.jp/ctr/ . Unique identifier: UMIN000001159 (16/05/2008).

摘要

众所周知,高血压会加重慢性肾脏病(CKD)的进展,然而,CKD 患者的最佳目标血压(BP)水平仍不清楚。本研究旨在评估预防 CKD 进展的最佳 BP 水平。使用来自 FROM-J [日本肾脏结局改良前沿]研究的年龄在 40 至 74 岁的个体 CKD 患者数据,评估了基线时以及 1 年后不同 BP 类别患者的肾脏结局风险。肾脏结局定义为估计肾小球滤过率下降≥40%至<60mL/min/1.73m2,或诊断为终末期肾病。关于基线 BP,SBP 120-129mmHg 组的肾脏结局风险最低,SBP≥130mmHg 组的风险增加超过 60%。仅在舒张压≥90mmHg 组发现肾脏结局显著增加。BP<130/80mmHg 组无论是否存在蛋白尿,均有益于降低风险,且显著降低蛋白尿患者的风险。在基线 SBP≥130mmHg 的患者中,在 1 年内达到 SBP<130mmHg 的水平,可使风险降低 42%。将 SBP 水平控制在<130mmHg 可能与更理想的肾脏结局相关。临床试验注册网址:https://www.umin.ac.jp/ctr/。唯一识别号:UMIN000001159(2008 年 5 月 16 日)。

https://cdn.ncbi.nlm.nih.gov/pmc/blobs/4091/8298520/c659e1e101d2/41598_2021_94467_Fig1_HTML.jpg

文献AI研究员

20分钟写一篇综述,助力文献阅读效率提升50倍。

立即体验

用中文搜PubMed

大模型驱动的PubMed中文搜索引擎

马上搜索

文档翻译

学术文献翻译模型,支持多种主流文档格式。

立即体验