• 文献检索
  • 文档翻译
  • 深度研究
  • 学术资讯
  • Suppr Zotero 插件Zotero 插件
  • 邀请有礼
  • 套餐&价格
  • 历史记录
应用&插件
Suppr Zotero 插件Zotero 插件浏览器插件Mac 客户端Windows 客户端微信小程序
定价
高级版会员购买积分包购买API积分包
服务
文献检索文档翻译深度研究API 文档MCP 服务
关于我们
关于 Suppr公司介绍联系我们用户协议隐私条款
关注我们

Suppr 超能文献

核心技术专利:CN118964589B侵权必究
粤ICP备2023148730 号-1Suppr @ 2026

文献检索

告别复杂PubMed语法,用中文像聊天一样搜索,搜遍4000万医学文献。AI智能推荐,让科研检索更轻松。

立即免费搜索

文件翻译

保留排版,准确专业,支持PDF/Word/PPT等文件格式,支持 12+语言互译。

免费翻译文档

深度研究

AI帮你快速写综述,25分钟生成高质量综述,智能提取关键信息,辅助科研写作。

立即免费体验

RNA 结合蛋白的作用及其在肾透明细胞癌中的预后价值的综合分析。

Integrated Analysis of the Roles of RNA Binding Proteins and Their Prognostic Value in Clear Cell Renal Cell Carcinoma.

机构信息

Department of Urology, The First Affiliated Hospital, Harbin Medical University, Harbin 150001, China.

Department of Hepatopancreatobiliary Surgery, Harbin Medical University Cancer Hospital, Harbin, China.

出版信息

J Healthc Eng. 2021 Jun 30;2021:5568411. doi: 10.1155/2021/5568411. eCollection 2021.

DOI:10.1155/2021/5568411
PMID:34306592
原文链接:https://pmc.ncbi.nlm.nih.gov/articles/PMC8263288/
Abstract

METHODS

We downloaded the RNA sequencing data of ccRCC from the Cancer Genome Atlas (TCGA) database and identified differently expressed RBPs in different tissues. In this study, we used bioinformatics to analyze the expression and prognostic value of RBPs; then, we performed functional analysis and constructed a protein interaction network for them. We also screened out some RBPs related to the prognosis of ccRCC. Finally, based on the identified RBPs, we constructed a prognostic model that can predict patients' risk of illness and survival time. Also, the data in the HPA database were used for verification.

RESULTS

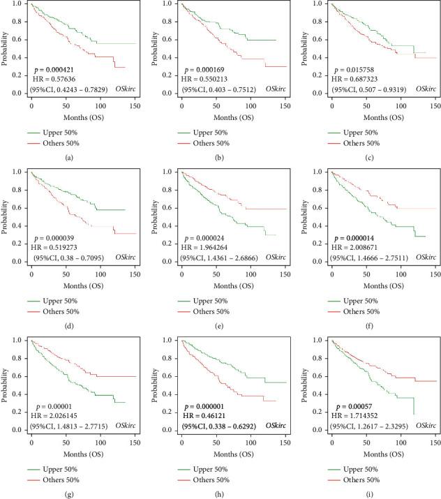
In our experiment, we obtained 539 ccRCC samples and 72 normal controls. In the subsequent analysis, 87 upregulated RBPs and 38 downregulated RBPs were obtained. In addition, 9 genes related to the prognosis of patients were selected, namely, RPL36A, THOC6, RNASE2, NOVA2, TLR3, PPARGC1A, DARS, LARS2, and U2AF1L4. We further constructed a prognostic model based on these genes and plotted the ROC curve. This ROC curve performed well in judgement and evaluation. A nomogram that can judge the patient's life span is also made.

CONCLUSION

In conclusion, we have identified differentially expressed RBPs in ccRCC and carried out a series of in-depth research studies, the results of which may provide ideas for the diagnosis of ccRCC and the research of new targeted drugs.

摘要

方法

我们从癌症基因组图谱(TCGA)数据库下载了 ccRCC 的 RNA 测序数据,并鉴定了不同组织中差异表达的 RBPs。在本研究中,我们使用生物信息学方法分析了 RBPs 的表达和预后价值;然后,我们对其进行了功能分析并构建了蛋白质相互作用网络。我们还筛选出了一些与 ccRCC 预后相关的 RBPs。最后,基于鉴定出的 RBPs,我们构建了一个可以预测患者疾病风险和生存时间的预后模型。此外,还使用 HPA 数据库中的数据进行了验证。

结果

在我们的实验中,获得了 539 例 ccRCC 样本和 72 例正常对照。在随后的分析中,获得了 87 个上调的 RBPs 和 38 个下调的 RBPs。此外,还选择了 9 个与患者预后相关的基因,即 RPL36A、THOC6、RNASE2、NOVA2、TLR3、PPARGC1A、DARS、LARS2 和 U2AF1L4。我们进一步基于这些基因构建了预后模型,并绘制了 ROC 曲线。该 ROC 曲线在判断和评估方面表现良好。还制作了一个可以判断患者寿命的列线图。

结论

总之,我们已经鉴定了 ccRCC 中的差异表达 RBPs,并进行了一系列深入的研究,研究结果可能为 ccRCC 的诊断和新的靶向药物研究提供思路。

https://cdn.ncbi.nlm.nih.gov/pmc/blobs/0551/8263288/cdb48427e377/JHE2021-5568411.010.jpg
https://cdn.ncbi.nlm.nih.gov/pmc/blobs/0551/8263288/3583af1a1353/JHE2021-5568411.001.jpg
https://cdn.ncbi.nlm.nih.gov/pmc/blobs/0551/8263288/3b949286aba4/JHE2021-5568411.002.jpg
https://cdn.ncbi.nlm.nih.gov/pmc/blobs/0551/8263288/488309a22bac/JHE2021-5568411.003.jpg
https://cdn.ncbi.nlm.nih.gov/pmc/blobs/0551/8263288/1c269d2704e1/JHE2021-5568411.004.jpg
https://cdn.ncbi.nlm.nih.gov/pmc/blobs/0551/8263288/215c2d37d30d/JHE2021-5568411.005.jpg
https://cdn.ncbi.nlm.nih.gov/pmc/blobs/0551/8263288/1abceae2087e/JHE2021-5568411.006.jpg
https://cdn.ncbi.nlm.nih.gov/pmc/blobs/0551/8263288/e6bd772df0f4/JHE2021-5568411.007.jpg
https://cdn.ncbi.nlm.nih.gov/pmc/blobs/0551/8263288/a9ae6ccc055b/JHE2021-5568411.008.jpg
https://cdn.ncbi.nlm.nih.gov/pmc/blobs/0551/8263288/00f52c27e18f/JHE2021-5568411.009.jpg
https://cdn.ncbi.nlm.nih.gov/pmc/blobs/0551/8263288/cdb48427e377/JHE2021-5568411.010.jpg
https://cdn.ncbi.nlm.nih.gov/pmc/blobs/0551/8263288/3583af1a1353/JHE2021-5568411.001.jpg
https://cdn.ncbi.nlm.nih.gov/pmc/blobs/0551/8263288/3b949286aba4/JHE2021-5568411.002.jpg
https://cdn.ncbi.nlm.nih.gov/pmc/blobs/0551/8263288/488309a22bac/JHE2021-5568411.003.jpg
https://cdn.ncbi.nlm.nih.gov/pmc/blobs/0551/8263288/1c269d2704e1/JHE2021-5568411.004.jpg
https://cdn.ncbi.nlm.nih.gov/pmc/blobs/0551/8263288/215c2d37d30d/JHE2021-5568411.005.jpg
https://cdn.ncbi.nlm.nih.gov/pmc/blobs/0551/8263288/1abceae2087e/JHE2021-5568411.006.jpg
https://cdn.ncbi.nlm.nih.gov/pmc/blobs/0551/8263288/e6bd772df0f4/JHE2021-5568411.007.jpg
https://cdn.ncbi.nlm.nih.gov/pmc/blobs/0551/8263288/a9ae6ccc055b/JHE2021-5568411.008.jpg
https://cdn.ncbi.nlm.nih.gov/pmc/blobs/0551/8263288/00f52c27e18f/JHE2021-5568411.009.jpg
https://cdn.ncbi.nlm.nih.gov/pmc/blobs/0551/8263288/cdb48427e377/JHE2021-5568411.010.jpg

相似文献

1
Integrated Analysis of the Roles of RNA Binding Proteins and Their Prognostic Value in Clear Cell Renal Cell Carcinoma.RNA 结合蛋白的作用及其在肾透明细胞癌中的预后价值的综合分析。
J Healthc Eng. 2021 Jun 30;2021:5568411. doi: 10.1155/2021/5568411. eCollection 2021.
2
Construction and validation of a prognostic model of RNA binding proteins in clear cell renal carcinoma.构建和验证透明细胞肾细胞癌中 RNA 结合蛋白的预后模型。
BMC Nephrol. 2022 May 5;23(1):172. doi: 10.1186/s12882-022-02801-y.
3
Development of prognostic signature based on RNA binding proteins related genes analysis in clear cell renal cell carcinoma.基于 RNA 结合蛋白相关基因分析的透明细胞肾细胞癌预后标志物的研究。
Aging (Albany NY). 2021 Jan 10;13(3):3926-3944. doi: 10.18632/aging.202360.
4
Six RNA binding proteins (RBPs) related prognostic model predicts overall survival for clear cell renal cell carcinoma and is associated with immune infiltration.六个 RNA 结合蛋白(RBPs)相关的预后模型预测透明细胞肾细胞癌的总生存期,并与免疫浸润相关。
Bosn J Basic Med Sci. 2022 Jun 1;22(3):435-452. doi: 10.17305/bjbms.2021.6097.
5
Integral Analysis of the RNA Binding Protein-associated Prognostic Model for Renal Cell Carcinoma.RNA 结合蛋白相关预后模型在肾细胞癌中的综合分析。
Int J Med Sci. 2021 Jan 1;18(4):953-963. doi: 10.7150/ijms.50704. eCollection 2021.
6
The construction and validation of an RNA binding protein-related prognostic model for bladder cancer.构建和验证与 RNA 结合蛋白相关的膀胱癌预后模型。
BMC Cancer. 2021 Mar 8;21(1):244. doi: 10.1186/s12885-021-07930-5.
7
Transcriptome Analyses Identify an RNA Binding Protein Related Prognostic Model for Clear Cell Renal Cell Carcinoma.转录组分析鉴定出一种与透明细胞肾细胞癌相关的RNA结合蛋白预后模型。
Front Genet. 2021 Jan 7;11:617872. doi: 10.3389/fgene.2020.617872. eCollection 2020.
8
Integrated analysis of the functions of RNA binding proteins in clear cell renal cell carcinoma.RNA 结合蛋白在肾透明细胞癌中的功能的综合分析。
Genomics. 2021 Jan;113(1 Pt 2):850-860. doi: 10.1016/j.ygeno.2020.10.016. Epub 2020 Oct 22.
9
Development and validation of a prognostic immune-associated gene signature in clear cell renal cell carcinoma.开发和验证透明细胞肾细胞癌中预后免疫相关基因特征。
Int Immunopharmacol. 2020 Apr;81:106274. doi: 10.1016/j.intimp.2020.106274. Epub 2020 Feb 7.
10
The expression and prognostic value of RNA binding proteins in clear cell renal cell carcinoma.RNA结合蛋白在肾透明细胞癌中的表达及预后价值
Transl Cancer Res. 2020 Dec;9(12):7415-7431. doi: 10.21037/tcr-20-2393.

引用本文的文献

1
The diagnostic significance of the ZNF gene family in pancreatic cancer: a bioinformatics and experimental study.ZNF基因家族在胰腺癌中的诊断意义:一项生物信息学与实验研究
Front Genet. 2023 Jun 16;14:1089023. doi: 10.3389/fgene.2023.1089023. eCollection 2023.
2
Retracted: Integrated Analysis of the Roles of RNA Binding Proteins and Their Prognostic Value in Clear Cell Renal Cell Carcinoma.撤回:RNA结合蛋白在透明细胞肾细胞癌中的作用及其预后价值的综合分析
J Healthc Eng. 2023 May 24;2023:9828737. doi: 10.1155/2023/9828737. eCollection 2023.
3
Ribonuclease A Family Member 2 Promotes the Malignant Progression of Glioma Through the PI3K/Akt Signaling Pathway.

本文引用的文献

1
RNA-Binding Proteins as Important Regulators of Long Non-Coding RNAs in Cancer.RNA 结合蛋白作为癌症中长非编码 RNA 的重要调节剂。
Int J Mol Sci. 2020 Apr 23;21(8):2969. doi: 10.3390/ijms21082969.
2
Role of RNA Binding Proteins with prion-like domains in muscle and neuromuscular diseases.具有朊病毒样结构域的RNA结合蛋白在肌肉和神经肌肉疾病中的作用。
Cell Stress. 2020 Mar 10;4(4):76-91. doi: 10.15698/cst2020.04.217.
3
Integrated Analysis of RNA-Binding Proteins in Glioma.胶质瘤中RNA结合蛋白的综合分析
核糖核酸酶A家族成员2通过PI3K/Akt信号通路促进胶质瘤的恶性进展。
Front Oncol. 2022 Jun 7;12:921083. doi: 10.3389/fonc.2022.921083. eCollection 2022.
4
Identification of a Methylation-Regulating Genes Prognostic Signature to Predict the Prognosis and Aid Immunotherapy of Clear Cell Renal Cell Carcinoma.一种用于预测透明细胞肾细胞癌预后及辅助免疫治疗的甲基化调控基因预后特征的鉴定
Front Cell Dev Biol. 2022 Mar 2;10:832803. doi: 10.3389/fcell.2022.832803. eCollection 2022.
Cancers (Basel). 2020 Apr 7;12(4):892. doi: 10.3390/cancers12040892.
4
PRDM16 suppresses HIF-targeted gene expression in kidney cancer.PRDM16 抑制肾癌中 HIF 靶向基因的表达。
J Exp Med. 2020 Jun 1;217(6). doi: 10.1084/jem.20191005.
5
Integrated Analysis of the Functions and Prognostic Values of RNA Binding Proteins in Lung Squamous Cell Carcinoma.肺鳞状细胞癌中RNA结合蛋白的功能及预后价值的综合分析
Front Genet. 2020 Mar 5;11:185. doi: 10.3389/fgene.2020.00185. eCollection 2020.
6
Hypoxia-Induced Adaptations of miRNomes and Proteomes in Melanoma Cells and Their Secreted Extracellular Vesicles.缺氧诱导黑色素瘤细胞及其分泌的细胞外囊泡中微小RNA组和蛋白质组的适应性变化
Cancers (Basel). 2020 Mar 14;12(3):692. doi: 10.3390/cancers12030692.
7
Expanding Clinical Presentations Due to Variations in THOC2 mRNA Nuclear Export Factor.由于THOC2 mRNA核输出因子的变异导致临床表现不断扩展。
Front Mol Neurosci. 2020 Feb 11;13:12. doi: 10.3389/fnmol.2020.00012. eCollection 2020.
8
Identification of NOVA family proteins as novel β-catenin RNA-binding proteins that promote epithelial-mesenchymal transition.鉴定NOVA家族蛋白为促进上皮-间质转化的新型β-连环蛋白RNA结合蛋白。
RNA Biol. 2020 Jun;17(6):881-891. doi: 10.1080/15476286.2020.1734372. Epub 2020 Mar 4.
9
Risk score based on expression of five novel genes predicts survival in soft tissue sarcoma.基于五个新型基因表达的风险评分预测软组织肉瘤的生存。
Aging (Albany NY). 2020 Feb 21;12(4):3807-3827. doi: 10.18632/aging.102847.
10
Integrated analysis of the roles and prognostic value of RNA binding proteins in lung adenocarcinoma.肺腺癌中RNA结合蛋白的作用及预后价值的综合分析
PeerJ. 2020 Feb 6;8:e8509. doi: 10.7717/peerj.8509. eCollection 2020.