• 文献检索
  • 文档翻译
  • 深度研究
  • 学术资讯
  • Suppr Zotero 插件Zotero 插件
  • 邀请有礼
  • 套餐&价格
  • 历史记录
应用&插件
Suppr Zotero 插件Zotero 插件浏览器插件Mac 客户端Windows 客户端微信小程序
定价
高级版会员购买积分包购买API积分包
服务
文献检索文档翻译深度研究API 文档MCP 服务
关于我们
关于 Suppr公司介绍联系我们用户协议隐私条款
关注我们

Suppr 超能文献

核心技术专利:CN118964589B侵权必究
粤ICP备2023148730 号-1Suppr @ 2026

文献检索

告别复杂PubMed语法,用中文像聊天一样搜索,搜遍4000万医学文献。AI智能推荐,让科研检索更轻松。

立即免费搜索

文件翻译

保留排版,准确专业,支持PDF/Word/PPT等文件格式,支持 12+语言互译。

免费翻译文档

深度研究

AI帮你快速写综述,25分钟生成高质量综述,智能提取关键信息,辅助科研写作。

立即免费体验

使用中国动脉粥样硬化性心血管疾病风险预测评分系统预测冠状动脉疾病的存在及严重程度。

Prediction of presence and severity of coronary artery disease using prediction for atherosclerotic cardiovascular disease risk in China scoring system.

作者信息

Hong Xu-Lin, Chen Hao, Li Ya, Teeroovengadum Hema Darinee, Fu Guo-Sheng, Zhang Wen-Bin

机构信息

Department of Cardiology, Sir Run Run Shaw Hospital, School of Medicine, Zhejiang University, Hangzhou 310016, Zhejiang Province, China.

出版信息

World J Clin Cases. 2021 Jul 16;9(20):5453-5461. doi: 10.12998/wjcc.v9.i20.5453.

DOI:10.12998/wjcc.v9.i20.5453
PMID:34307599
原文链接:https://pmc.ncbi.nlm.nih.gov/articles/PMC8281414/
Abstract

BACKGROUND

Coronary artery disease (CAD) is one of the leading causes of death and disease burden in China and worldwide. A practical and reliable prediction scoring system for CAD risk and severity evaluation is urgently needed for primary prevention.

AIM

To examine whether the prediction for atherosclerotic cardiovascular disease risk in China (China-PAR) scoring system could be used for this purpose.

METHODS

A total of 6813 consecutive patients who underwent diagnostic coronary angiography were enrolled. The China-PAR score was calculated for each patient and CAD severity was assessed by the Gensini score (GS).

RESULTS

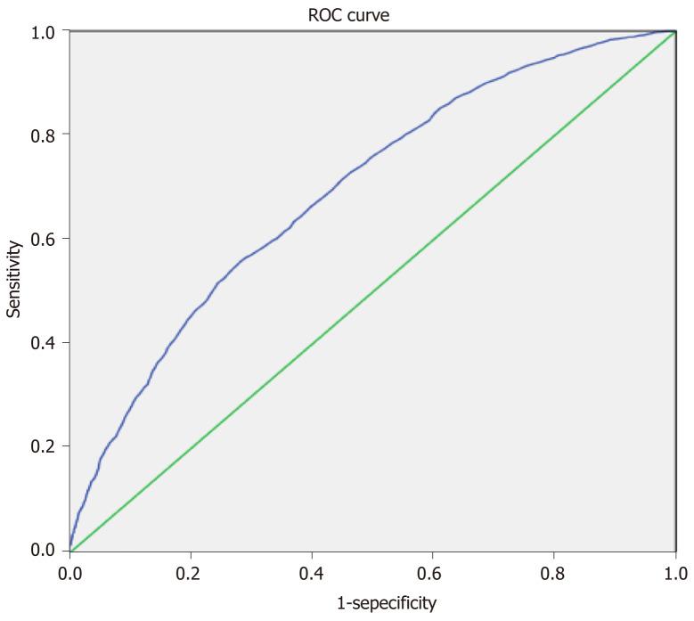
Correlation analysis demonstrated a significant relationship between China-PAR and GS ( = 0.266, < 0.001). In receiver operating characteristic curve analysis, the cut-off values of China-PAR for predicting the presence and the severity of CAD were 7.55% with a sensitivity of 55.8% and specificity of 71.8% [area under the curve (AUC) = 0.693, 95% confidence interval: 0.681 to 0.706, < 0.001], and 7.45% with a sensitivity of 58.8% and specificity of 67.2% (AUC = 0.680, 95% confidence interval: 0.665 to 0.694, < 0.001), respectively.

CONCLUSION

The China-PAR scoring system may be useful in predicting the presence and severity of CAD.

摘要

背景

冠状动脉疾病(CAD)是中国乃至全球死亡和疾病负担的主要原因之一。基层医疗预防迫切需要一个实用且可靠的用于评估CAD风险和严重程度的预测评分系统。

目的

检验中国动脉粥样硬化性心血管疾病风险评估(China-PAR)评分系统是否可用于此目的。

方法

连续纳入6813例行诊断性冠状动脉造影的患者。计算每位患者的China-PAR评分,并采用Gensini评分(GS)评估CAD严重程度。

结果

相关性分析显示China-PAR与GS之间存在显著相关性( = 0.266, < 0.001)。在受试者工作特征曲线分析中,China-PAR预测CAD存在和严重程度的截断值分别为7.55%,灵敏度为55.8%,特异度为71.8% [曲线下面积(AUC) = 0.693,95%置信区间:0.681至0.706, < 0.001],以及7.45%,灵敏度为58.8%,特异度为67.2%(AUC = 0.680,95%置信区间:0.665至0.694, < 0.001)。

结论

China-PAR评分系统可能有助于预测CAD的存在和严重程度。

https://cdn.ncbi.nlm.nih.gov/pmc/blobs/7ae7/8281414/c3afe2960a19/WJCC-9-5453-g003.jpg
https://cdn.ncbi.nlm.nih.gov/pmc/blobs/7ae7/8281414/0a5f0428841b/WJCC-9-5453-g001.jpg
https://cdn.ncbi.nlm.nih.gov/pmc/blobs/7ae7/8281414/78c308b6f4af/WJCC-9-5453-g002.jpg
https://cdn.ncbi.nlm.nih.gov/pmc/blobs/7ae7/8281414/c3afe2960a19/WJCC-9-5453-g003.jpg
https://cdn.ncbi.nlm.nih.gov/pmc/blobs/7ae7/8281414/0a5f0428841b/WJCC-9-5453-g001.jpg
https://cdn.ncbi.nlm.nih.gov/pmc/blobs/7ae7/8281414/78c308b6f4af/WJCC-9-5453-g002.jpg
https://cdn.ncbi.nlm.nih.gov/pmc/blobs/7ae7/8281414/c3afe2960a19/WJCC-9-5453-g003.jpg

相似文献

1
Prediction of presence and severity of coronary artery disease using prediction for atherosclerotic cardiovascular disease risk in China scoring system.使用中国动脉粥样硬化性心血管疾病风险预测评分系统预测冠状动脉疾病的存在及严重程度。
World J Clin Cases. 2021 Jul 16;9(20):5453-5461. doi: 10.12998/wjcc.v9.i20.5453.
2
Framingham risk score and severity of coronary artery disease.弗雷明汉风险评分与冠状动脉疾病的严重程度
Herz. 2014 Aug;39(5):638-43. doi: 10.1007/s00059-013-3881-4. Epub 2013 Jul 21.
3
Association of platelet to lymphocyte ratio with in-hospital major adverse cardiovascular events and the severity of coronary artery disease assessed by the Gensini score in patients with acute myocardial infarction.急性心肌梗死患者中血小板与淋巴细胞比值与院内主要不良心血管事件及通过Gensini评分评估的冠状动脉疾病严重程度的相关性
Chin Med J (Engl). 2020 Feb 20;133(4):415-423. doi: 10.1097/CM9.0000000000000650.
4
Comparison of MESA of and Framingham risk scores in the prediction of coronary artery disease severity.MESA与弗雷明汉风险评分在预测冠状动脉疾病严重程度方面的比较。
Herz. 2020 Dec;45(Suppl 1):139-144. doi: 10.1007/s00059-019-4838-z. Epub 2019 Jul 25.
5
Usefulness of the neutrophil-to-lymphocyte ratio in predicting the severity of coronary artery disease: a Gensini score assessment.中性粒细胞与淋巴细胞比值在预测冠状动脉疾病严重程度中的作用:一项Gensini评分评估
J Atheroscler Thromb. 2014;21(12):1271-82. doi: 10.5551/jat.25940. Epub 2014 Jul 29.
6
Prediction of coronary artery disease severity using CHADS2 and CHA2DS2-VASc scores and a newly defined CHA2DS2-VASc-HS score.使用 CHADS2 和 CHA2DS2-VASc 评分以及新定义的 CHA2DS2-VASc-HS 评分预测冠状动脉疾病严重程度。
Am J Cardiol. 2014 Mar 15;113(6):950-6. doi: 10.1016/j.amjcard.2013.11.056. Epub 2013 Dec 25.
7
Sonographic evaluation for predicting the presence and severity of coronary artery disease.超声心动图评估用于预测冠状动脉疾病的存在及严重程度。
Ultrasound Q. 2013 Jun;29(2):125-30. doi: 10.1097/RUQ.0b013e318291580e.
8
"Correlation of red blood cell distribution width with the severity of coronary artery disease-A single center study".红细胞分布宽度与冠状动脉疾病严重程度的相关性——一项单中心研究
Indian Heart J. 2017 Nov-Dec;69(6):757-761. doi: 10.1016/j.ihj.2017.04.007. Epub 2017 Apr 24.
9
Correlation of red cell distribution width with the severity of coronary artery disease: a large Chinese cohort study from a single center.红细胞分布宽度与冠状动脉疾病严重程度的相关性:来自单中心的大型中国队列研究。
Chin Med J (Engl). 2013 Mar;126(6):1053-7.
10
The independent and incremental value of ultrasound carotid plaque length to predict the presence and severity of coronary artery disease: analysis from the carotid plaque length prospective registry.超声颈动脉斑块长度对预测冠心病存在及严重程度的独立增量价值:来自颈动脉斑块长度前瞻性登记研究的分析。
Eur Heart J Cardiovasc Imaging. 2020 Apr 1;21(4):389-396. doi: 10.1093/ehjci/jez304.

引用本文的文献

1
Perioperative safety of simultaneous pulmonary resection and off-pump coronary artery bypass grafting: a retrospective analysis from a single institution.同期肺切除与非体外循环冠状动脉旁路移植术的围手术期安全性:来自单一机构的回顾性分析
J Thorac Dis. 2025 Feb 28;17(2):650-660. doi: 10.21037/jtd-24-1369. Epub 2025 Feb 11.
2
Predictive value of 10-year atherosclerotic cardiovascular disease risk equations from the China-PAR for new-onset lower extremity peripheral artery disease.中国动脉粥样硬化性心血管病风险评估系统(China-PAR)中10年动脉粥样硬化性心血管病风险方程对新发下肢外周动脉疾病的预测价值
Front Cardiovasc Med. 2022 Oct 4;9:933054. doi: 10.3389/fcvm.2022.933054. eCollection 2022.
3

本文引用的文献

1
Performance of atherosclerotic cardiovascular risk prediction models in a rural Northern Chinese population: Results from the Fangshan Cohort Study.中国北方农村人群动脉粥样硬化性心血管病风险预测模型的表现:来自房山队列研究的结果。
Am Heart J. 2019 May;211:34-44. doi: 10.1016/j.ahj.2019.01.009. Epub 2019 Feb 5.
2
Predicting the 10-Year Risks of Atherosclerotic Cardiovascular Disease in Chinese Population: The China-PAR Project (Prediction for ASCVD Risk in China).预测中国人群动脉粥样硬化性心血管疾病 10 年风险:中国 PAR 项目(中国 ASCVD 风险预测)。
Circulation. 2016 Nov 8;134(19):1430-1440. doi: 10.1161/CIRCULATIONAHA.116.022367. Epub 2016 Sep 28.
3
Effects of Serum LDL-C, CysC, and D-D in Patients with Coronary Atherosclerotic Heart Disease.
血清 LDL-C、CysC 和 D-D 在冠心病患者中的作用。
Comput Intell Neurosci. 2022 Jun 28;2022:5771960. doi: 10.1155/2022/5771960. eCollection 2022.
Cause-specific mortality for 240 causes in China during 1990-2013: a systematic subnational analysis for the Global Burden of Disease Study 2013.
1990-2013 年中国 240 种疾病的特定病因死亡率:2013 年全球疾病负担研究的国家间系统分析。
Lancet. 2016 Jan 16;387(10015):251-72. doi: 10.1016/S0140-6736(15)00551-6. Epub 2015 Oct 26.
4
Cardiovascular risk assessment: a global perspective.心血管风险评估:全球视角。
Nat Rev Cardiol. 2015 May;12(5):301-11. doi: 10.1038/nrcardio.2015.28. Epub 2015 Mar 10.
5
Global, regional, and national age-sex specific all-cause and cause-specific mortality for 240 causes of death, 1990-2013: a systematic analysis for the Global Burden of Disease Study 2013.全球、地区和国家按年龄、性别划分的 240 种死因的全死因和特定死因死亡率,1990-2013 年:2013 年全球疾病负担研究的系统分析。
Lancet. 2015 Jan 10;385(9963):117-71. doi: 10.1016/S0140-6736(14)61682-2. Epub 2014 Dec 18.
6
Prediction of coronary artery disease severity using CHADS2 and CHA2DS2-VASc scores and a newly defined CHA2DS2-VASc-HS score.使用 CHADS2 和 CHA2DS2-VASc 评分以及新定义的 CHA2DS2-VASc-HS 评分预测冠状动脉疾病严重程度。
Am J Cardiol. 2014 Mar 15;113(6):950-6. doi: 10.1016/j.amjcard.2013.11.056. Epub 2013 Dec 25.
7
2013 ACC/AHA guideline on the assessment of cardiovascular risk: a report of the American College of Cardiology/American Heart Association Task Force on Practice Guidelines.2013年美国心脏病学会/美国心脏协会心血管风险评估指南:美国心脏病学会/美国心脏协会实践指南工作组报告
Circulation. 2014 Jun 24;129(25 Suppl 2):S49-73. doi: 10.1161/01.cir.0000437741.48606.98. Epub 2013 Nov 12.
8
Framingham risk score and severity of coronary artery disease.弗雷明汉风险评分与冠状动脉疾病的严重程度
Herz. 2014 Aug;39(5):638-43. doi: 10.1007/s00059-013-3881-4. Epub 2013 Jul 21.
9
Rapid health transition in China, 1990-2010: findings from the Global Burden of Disease Study 2010.中国 1990-2010 年的快速健康转型:2010 年全球疾病负担研究的发现。
Lancet. 2013 Jun 8;381(9882):1987-2015. doi: 10.1016/S0140-6736(13)61097-1.
10
Comparison of Framingham, PROCAM, SCORE, and Diamond Forrester to predict coronary atherosclerosis and cardiovascular events.比较 Framingham、PROCAM、SCORE 和 Diamond Forrester 预测冠状动脉粥样硬化和心血管事件。
J Nucl Cardiol. 2011 Oct;18(5):904-11. doi: 10.1007/s12350-011-9425-5. Epub 2011 Jul 19.