• 文献检索
  • 文档翻译
  • 深度研究
  • 学术资讯
  • Suppr Zotero 插件Zotero 插件
  • 邀请有礼
  • 套餐&价格
  • 历史记录
应用&插件
Suppr Zotero 插件Zotero 插件浏览器插件Mac 客户端Windows 客户端微信小程序
定价
高级版会员购买积分包购买API积分包
服务
文献检索文档翻译深度研究API 文档MCP 服务
关于我们
关于 Suppr公司介绍联系我们用户协议隐私条款
关注我们

Suppr 超能文献

核心技术专利:CN118964589B侵权必究
粤ICP备2023148730 号-1Suppr @ 2026

文献检索

告别复杂PubMed语法,用中文像聊天一样搜索,搜遍4000万医学文献。AI智能推荐,让科研检索更轻松。

立即免费搜索

文件翻译

保留排版,准确专业,支持PDF/Word/PPT等文件格式,支持 12+语言互译。

免费翻译文档

深度研究

AI帮你快速写综述,25分钟生成高质量综述,智能提取关键信息,辅助科研写作。

立即免费体验

FAM83D 基因在肝细胞癌中的免疫意义。

Immune implication of FAM83D gene in hepatocellular carcinoma.

机构信息

Department of General Surgery and Centre Laboratory, The First Affiliated Hospital of Anhui Medical University, Hefei, China.

Department of General Surgery, Hefei City First People's Hospital, Hefei, China.

出版信息

Bioengineered. 2021 Dec;12(1):3578-3592. doi: 10.1080/21655979.2021.1950260.

DOI:10.1080/21655979.2021.1950260
PMID:34308751
原文链接:https://pmc.ncbi.nlm.nih.gov/articles/PMC8806426/
Abstract

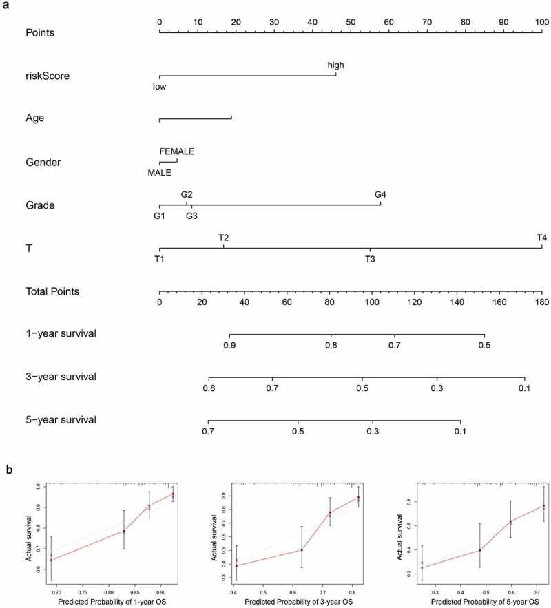
FAM83D has been demonstrated to contribute to tumorigenesis. However, its immune effects in hepatocellular carcinoma (HCC) have not been reported. This study aimed to identify the immune role of FAM83D in HCC. FAM83D was over-expressed in HCC and contributed to poor prognosis according to the results of data analysis based on The Cancer Genome Atlas (TCGA). Afterward, the levels of immune cells infiltration were found to be correlated with the expression level of FAM83D in HCC. Through TISIDB and cBioPortal network tools, a total of 82 FAM83D-associated genes were screened out, including 12 immunoinhibitors, 20 immunostimulators and 50 tightly co-expressed genes. TCGA cohort was divided into train set and test set on the basis of the proportion of 7:3. According to FAM83D-associated immunomodulators, a four gene predicted model was established using train set via the Cox regression analysis. Survival analysis demonstrated that the overall survival (OS) of high-risk HCC patients was poor compared with the patients in low-risk group. The reliability and predicted power of the risk-score model were identified by a receiver operating characteristic (ROC) curve. A risk-score based nomogram as well as a calibration curve, which were created could be used to anticipate patient's 1-year, 3-year and 5-year survival probabilities. The test set was used to validate these results. Our findings showed that the FAM83D gene was related with HCC immunity. The immune marker chosen could be a promising biomarker for HCC prognosis.

摘要

FAM83D 已被证明有助于肿瘤发生。然而,其在肝细胞癌(HCC)中的免疫作用尚未报道。本研究旨在确定 FAM83D 在 HCC 中的免疫作用。根据基于癌症基因组图谱(TCGA)的数据分析结果,FAM83D 在 HCC 中过表达,并导致预后不良。此后,发现免疫细胞浸润水平与 HCC 中 FAM83D 的表达水平相关。通过 TISIDB 和 cBioPortal 网络工具,共筛选出 82 个 FAM83D 相关基因,包括 12 个免疫抑制剂、20 个免疫刺激剂和 50 个紧密共表达基因。根据 FAM83D 相关免疫调节剂,将 TCGA 队列按 7:3 的比例分为训练集和测试集。使用训练集通过 Cox 回归分析建立了基于 FAM83D 相关免疫调节剂的四个基因预测模型。生存分析表明,高危 HCC 患者的总生存期(OS)明显不如低危组患者。通过受试者工作特征(ROC)曲线确定了风险评分模型的可靠性和预测能力。基于风险评分的列线图和校准曲线可以用于预测患者 1 年、3 年和 5 年的生存率。使用测试集验证了这些结果。我们的研究结果表明,FAM83D 基因与 HCC 免疫有关。选择的免疫标志物可能是 HCC 预后的有前途的生物标志物。

https://cdn.ncbi.nlm.nih.gov/pmc/blobs/3a47/8806426/2f07bd10ca21/KBIE_A_1950260_F0012_OC.jpg
https://cdn.ncbi.nlm.nih.gov/pmc/blobs/3a47/8806426/f543623aa245/KBIE_A_1950260_UF0001_B.jpg
https://cdn.ncbi.nlm.nih.gov/pmc/blobs/3a47/8806426/b366fe75b702/KBIE_A_1950260_F0001_OC.jpg
https://cdn.ncbi.nlm.nih.gov/pmc/blobs/3a47/8806426/ad52b9d858f6/KBIE_A_1950260_F0002_OC.jpg
https://cdn.ncbi.nlm.nih.gov/pmc/blobs/3a47/8806426/b6384ce84600/KBIE_A_1950260_F0003_OC.jpg
https://cdn.ncbi.nlm.nih.gov/pmc/blobs/3a47/8806426/2c4f663905d7/KBIE_A_1950260_F0004_OC.jpg
https://cdn.ncbi.nlm.nih.gov/pmc/blobs/3a47/8806426/6057bb809641/KBIE_A_1950260_F0005_OC.jpg
https://cdn.ncbi.nlm.nih.gov/pmc/blobs/3a47/8806426/517eeb5d1e3a/KBIE_A_1950260_F0006_OC.jpg
https://cdn.ncbi.nlm.nih.gov/pmc/blobs/3a47/8806426/70f2ecf5550b/KBIE_A_1950260_F0007_OC.jpg
https://cdn.ncbi.nlm.nih.gov/pmc/blobs/3a47/8806426/4a9cb60c5c85/KBIE_A_1950260_F0008_OC.jpg
https://cdn.ncbi.nlm.nih.gov/pmc/blobs/3a47/8806426/ba8265ab819c/KBIE_A_1950260_F0009_OC.jpg
https://cdn.ncbi.nlm.nih.gov/pmc/blobs/3a47/8806426/9a370b933ce0/KBIE_A_1950260_F0010_OC.jpg
https://cdn.ncbi.nlm.nih.gov/pmc/blobs/3a47/8806426/97052a54aeed/KBIE_A_1950260_F0011_OC.jpg
https://cdn.ncbi.nlm.nih.gov/pmc/blobs/3a47/8806426/2f07bd10ca21/KBIE_A_1950260_F0012_OC.jpg
https://cdn.ncbi.nlm.nih.gov/pmc/blobs/3a47/8806426/f543623aa245/KBIE_A_1950260_UF0001_B.jpg
https://cdn.ncbi.nlm.nih.gov/pmc/blobs/3a47/8806426/b366fe75b702/KBIE_A_1950260_F0001_OC.jpg
https://cdn.ncbi.nlm.nih.gov/pmc/blobs/3a47/8806426/ad52b9d858f6/KBIE_A_1950260_F0002_OC.jpg
https://cdn.ncbi.nlm.nih.gov/pmc/blobs/3a47/8806426/b6384ce84600/KBIE_A_1950260_F0003_OC.jpg
https://cdn.ncbi.nlm.nih.gov/pmc/blobs/3a47/8806426/2c4f663905d7/KBIE_A_1950260_F0004_OC.jpg
https://cdn.ncbi.nlm.nih.gov/pmc/blobs/3a47/8806426/6057bb809641/KBIE_A_1950260_F0005_OC.jpg
https://cdn.ncbi.nlm.nih.gov/pmc/blobs/3a47/8806426/517eeb5d1e3a/KBIE_A_1950260_F0006_OC.jpg
https://cdn.ncbi.nlm.nih.gov/pmc/blobs/3a47/8806426/70f2ecf5550b/KBIE_A_1950260_F0007_OC.jpg
https://cdn.ncbi.nlm.nih.gov/pmc/blobs/3a47/8806426/4a9cb60c5c85/KBIE_A_1950260_F0008_OC.jpg
https://cdn.ncbi.nlm.nih.gov/pmc/blobs/3a47/8806426/ba8265ab819c/KBIE_A_1950260_F0009_OC.jpg
https://cdn.ncbi.nlm.nih.gov/pmc/blobs/3a47/8806426/9a370b933ce0/KBIE_A_1950260_F0010_OC.jpg
https://cdn.ncbi.nlm.nih.gov/pmc/blobs/3a47/8806426/97052a54aeed/KBIE_A_1950260_F0011_OC.jpg
https://cdn.ncbi.nlm.nih.gov/pmc/blobs/3a47/8806426/2f07bd10ca21/KBIE_A_1950260_F0012_OC.jpg

相似文献

1
Immune implication of FAM83D gene in hepatocellular carcinoma.FAM83D 基因在肝细胞癌中的免疫意义。
Bioengineered. 2021 Dec;12(1):3578-3592. doi: 10.1080/21655979.2021.1950260.
2
FAM83D is associated with gender, AJCC stage, overall survival and disease-free survival in hepatocellular carcinoma.FAM83D 与肝癌的性别、AJCC 分期、总生存率和无病生存率相关。
Biosci Rep. 2019 May 7;39(5). doi: 10.1042/BSR20181640. Print 2019 May 31.
3
FAM83D associates with high tumor recurrence after liver transplantation involving expansion of CD44+ carcinoma stem cells.FAM83D与肝移植后高肿瘤复发相关,涉及CD44 +癌干细胞的扩增。
Oncotarget. 2016 Nov 22;7(47):77495-77507. doi: 10.18632/oncotarget.12715.
4
Identification of a Nine Immune-Related lncRNA Signature as a Novel Diagnostic Biomarker for Hepatocellular Carcinoma.鉴定九个免疫相关 lncRNA 特征作为肝细胞癌的新型诊断生物标志物。
Biomed Res Int. 2021 Jan 5;2021:9798231. doi: 10.1155/2021/9798231. eCollection 2021.
5
Upregulation of FAM83D affects the proliferation and invasion of hepatocellular carcinoma.FAM83D的上调影响肝细胞癌的增殖和侵袭。
Oncotarget. 2015 Sep 15;6(27):24132-47. doi: 10.18632/oncotarget.4432.
6
Construction of a risk score prognosis model based on hepatocellular carcinoma microenvironment.基于肝癌微环境构建风险评分预后模型。
World J Gastroenterol. 2020 Jan 14;26(2):134-153. doi: 10.3748/wjg.v26.i2.134.
7
Identification and validation of redox-immune based prognostic signature for hepatocellular carcinoma.基于氧化还原免疫的肝细胞癌预后标志物的鉴定和验证。
Int J Med Sci. 2021 Mar 10;18(9):2030-2041. doi: 10.7150/ijms.56289. eCollection 2021.
8
High expression of PDZ-binding kinase is correlated with poor prognosis and immune infiltrates in hepatocellular carcinoma.PDZ 结合激酶高表达与肝癌预后不良和免疫浸润相关。
World J Surg Oncol. 2022 Jan 22;20(1):22. doi: 10.1186/s12957-021-02479-w.
9
Identification of a five-immune gene model as an independent prognostic factor in hepatocellular carcinoma.鉴定五个免疫基因模型作为肝细胞癌的独立预后因素。
BMC Cancer. 2021 Mar 16;21(1):278. doi: 10.1186/s12885-021-08012-2.
10
Identification of hepatocellular carcinoma prognostic markers based on 10-immune gene signature.基于 10 个免疫基因特征的肝细胞癌预后标志物的鉴定。
Biosci Rep. 2020 Aug 28;40(8). doi: 10.1042/BSR20200894.

引用本文的文献

1
Prognostic Indicators for Precision Treatment of Non-Small Cell Lung Carcinoma.非小细胞肺癌精准治疗的预后指标。
Cells. 2024 Oct 28;13(21):1785. doi: 10.3390/cells13211785.
2
Developing a prognostic model for hepatocellular carcinoma based on MED19 and clinical stage and determining MED19 as a therapeutic target.基于 MED19 和临床分期开发肝细胞癌预后模型,并确定 MED19 为治疗靶点。
J Cancer Res Clin Oncol. 2024 Oct 5;150(10):446. doi: 10.1007/s00432-024-05978-x.
3
FAM83D acts as an oncogene by regulating cell cycle progression via multiple pathways in synovial sarcoma: a potential novel downstream target oncogene of anlotinib.

本文引用的文献

1
Identification of Rad51 as a prognostic biomarker correlated with immune infiltration in hepatocellular carcinoma.鉴定 Rad51 作为与肝癌免疫浸润相关的预后生物标志物。
Bioengineered. 2021 Dec;12(1):2664-2675. doi: 10.1080/21655979.2021.1938470.
2
Identification and immunoprofiling of key prognostic genes in the tumor microenvironment of hepatocellular carcinoma.鉴定和免疫分析肝癌肿瘤微环境中的关键预后基因。
Bioengineered. 2021 Dec;12(1):1555-1575. doi: 10.1080/21655979.2021.1918538.
3
Expression of NKG2D ligands is downregulated by β-catenin signalling and associates with HCC aggressiveness.
FAM83D通过多种途径调节滑膜肉瘤的细胞周期进程,发挥癌基因作用:一种潜在的安罗替尼下游新型靶标癌基因。
Discov Oncol. 2024 Mar 21;15(1):82. doi: 10.1007/s12672-024-00943-z.
4
The FBXW7-binding sites on FAM83D are potential targets for cancer therapy.FAM83D 上的 FBXW7 结合位点是癌症治疗的潜在靶点。
Breast Cancer Res. 2024 Mar 7;26(1):37. doi: 10.1186/s13058-024-01795-9.
5
Identification of ASF1B as a prognostic marker for liver cancer by meta-analysis and its immune value revealed by a comprehensive pan-cancer analysis of 33 human cancers.通过荟萃分析鉴定ASF1B作为肝癌的预后标志物,并通过对33种人类癌症的全面泛癌分析揭示其免疫价值。
Prz Gastroenterol. 2023;18(3):249-265. doi: 10.5114/pg.2023.124423. Epub 2023 Jan 23.
6
Involvement of FAM83 Family Proteins in the Development of Solid Tumors: An Update Review.FAM83家族蛋白在实体瘤发生发展中的作用:最新综述
J Cancer. 2023 Jun 26;14(10):1888-1903. doi: 10.7150/jca.83420. eCollection 2023.
7
PTEN-related risk classification models for predicting prognosis and immunotherapy response of hepatocellular carcinoma.用于预测肝细胞癌预后和免疫治疗反应的PTEN相关风险分类模型
Discov Oncol. 2023 Jul 20;14(1):134. doi: 10.1007/s12672-023-00743-x.
8
Pan-cancer and single-cell analysis reveals expression as a cancer prognostic biomarker.泛癌和单细胞分析揭示了[具体表达内容]作为一种癌症预后生物标志物的情况。 (注:原文中“expression”前缺少具体所指,翻译时根据语境补充了“[具体表达内容]”)
Front Genet. 2022 Dec 9;13:1009325. doi: 10.3389/fgene.2022.1009325. eCollection 2022.
9
promotes the proliferation and migration of hepatocellular carcinoma cells by inhibiting the pathway.通过抑制该途径促进肝癌细胞的增殖和迁移。
Transl Cancer Res. 2022 Oct;11(10):3790-3802. doi: 10.21037/tcr-22-2069.
10
A Predictive Model for Prognosis and Therapeutic Response in Hepatocellular Carcinoma Based on a Panel of Three MED8-Related Immunomodulators.基于三种MED8相关免疫调节因子的肝细胞癌预后和治疗反应预测模型
Front Oncol. 2022 Apr 26;12:868411. doi: 10.3389/fonc.2022.868411. eCollection 2022.
NKG2D配体的表达通过β-连环蛋白信号传导而下调,并与肝癌侵袭性相关。
J Hepatol. 2021 Jun;74(6):1386-1397. doi: 10.1016/j.jhep.2021.01.017. Epub 2021 Jan 21.
4
Identification of hepatocellular carcinoma-related genes associated with macrophage differentiation based on bioinformatics analyses.基于生物信息学分析鉴定与巨噬细胞分化相关的肝细胞癌相关基因。
Bioengineered. 2021 Dec;12(1):296-309. doi: 10.1080/21655979.2020.1868119.
5
Development and Validation of a Novel Immune-Gene Pairs Prognostic Model Associated with CTNNB1 Alteration in Hepatocellular Carcinoma.一种与肝细胞癌中CTNNB1改变相关的新型免疫基因对预后模型的开发与验证
Med Sci Monit. 2020 Sep 18;26:e925494. doi: 10.12659/MSM.925494.
6
Comprehensive Analysis of the Immune Implication of Gene in Non-small Cell Lung Cancer.非小细胞肺癌中基因免疫意义的综合分析
Front Oncol. 2020 Jul 23;10:1132. doi: 10.3389/fonc.2020.01132. eCollection 2020.
7
A Five-Gene Signature Based on Stromal/Immune Scores in the Tumor Microenvironment and Its Clinical Implications for Liver Cancer.基于肿瘤微环境中基质/免疫评分的五基因签名及其对肝癌的临床意义。
DNA Cell Biol. 2020 Sep;39(9):1621-1638. doi: 10.1089/dna.2020.5512. Epub 2020 Aug 4.
8
Yupingfeng Granule Improves Th2-Biased Immune State in Microenvironment of Hepatocellular Carcinoma through TSLP-DC-OX40L Pathway.玉屏风颗粒通过TSLP-DC-OX40L通路改善肝细胞癌微环境中Th2偏向的免疫状态。
Evid Based Complement Alternat Med. 2020 Apr 9;2020:1263053. doi: 10.1155/2020/1263053. eCollection 2020.
9
Fam83d modulates MAP kinase and AKT signaling and is induced during neurogenic skeletal muscle atrophy.Fam83d 调节 MAP 激酶和 AKT 信号通路,并在神经源性骨骼肌萎缩过程中被诱导。
Cell Signal. 2020 Jun;70:109576. doi: 10.1016/j.cellsig.2020.109576. Epub 2020 Feb 21.
10
FAM83D promotes epithelial-mesenchymal transition, invasion and cisplatin resistance through regulating the AKT/mTOR pathway in non-small-cell lung cancer.FAM83D 通过调控非小细胞肺癌中的 AKT/mTOR 通路促进上皮间质转化、侵袭和顺铂耐药。
Cell Oncol (Dordr). 2020 Jun;43(3):395-407. doi: 10.1007/s13402-020-00494-9. Epub 2020 Jan 31.