Suppr超能文献

血浆α-突触核蛋白(α-syn)、尿阿尔茨海默病相关神经丝蛋白(AD7c-NTP)与载脂蛋白 E ɛ4(ApoE ε4)等位基因与 60 例阿尔茨海默病患者认知下降的关系,并与 28 例年龄匹配的正常个体进行比较。

The Association Between Plasma α-Synuclein (α-syn) Protein, Urinary Alzheimer-Associated Neuronal Thread Protein (AD7c-NTP), and Apolipoprotein Epsilon 4 (ApoE ε4) Alleles and Cognitive Decline in 60 Patients with Alzheimer's Disease Compared with 28 Age-Matched Normal Individuals.

机构信息

Department of Neurology, Peking University China-Japan Friendship School of Clinical Medicine, Beijing, China (mainland).

Department of Neurology, China-Japan Friendship Hospital, Beijing, China (mainland).

出版信息

Med Sci Monit. 2021 Jul 27;27:e932998. doi: 10.12659/MSM.932998.

Abstract

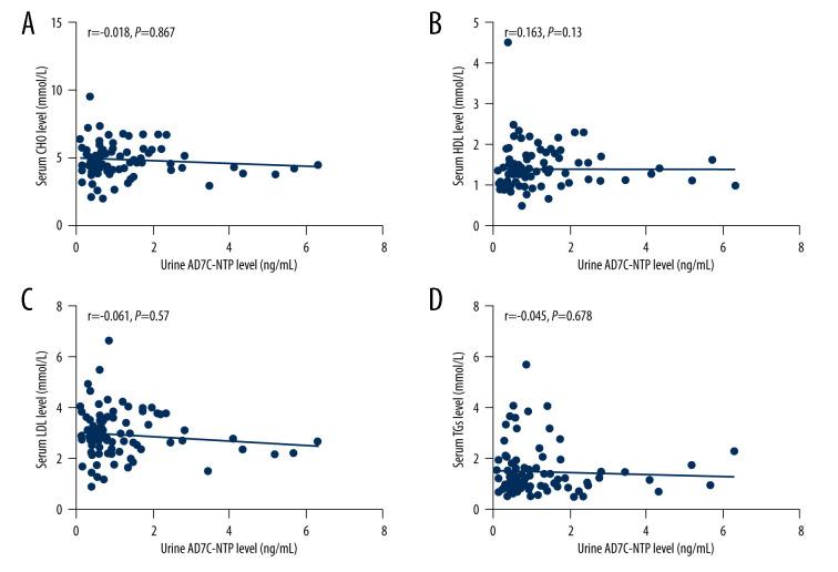
BACKGROUND Accumulating evidence has shown that alpha-synuclein (alpha-syn) pathology is involved in the pathophysiology of Alzheimer's disease (AD). This study aimed to investigate the association between the levels of plasma alpha-syn protein, urinary Alzheimer-associated neuronal thread protein (AD7c-NTP), apolipoprotein epsilon 4 (ApoE ε4) alleles and cognitive decline in 60 AD patients compared with 28 age-matched normal controls (NCs) at a single center. MATERIAL AND METHODS All participants underwent alpha-syn, apolipoprotein E (ApoE), AD7c-NTP, cholesterol (CHO), high-density lipoprotein (HDL), low-density lipoprotein (LDL) and triglycerides (TGs) analyses, neuropsychological scale assessments and neuroimaging analysis. Moreover, urine and peripheral blood samples were collected from all participants. The levels of plasma alpha-syn and AD7c-NTP were assayed using an enzyme-linked immunosorbent assay (ELISA) kit. Other test results were obtained from China-Japan Friendship Hospital. RESULTS We found that plasma alpha-syn levels were significantly different between AD patients and NCs (p=0.045). alpha-Syn levels were also associated with AD7c-NTP (r=0.231, p=0.03) but not ApoE e4 (Z=-0.147, p=0.883) levels. Neither a-syn [CHO (p=0.432), HDL (p=0.484), LDL (p=0.733) or TGs (p=0.253)] nor AD7c-NTP [CHO (p=0.867), HDL (p=0.13), LDL (p=0.57) or TGs (p=0.678)] had a relationship with lipids. CONCLUSIONS This study showed that the levels of plasma alpha-syn protein and urinary AD7c-NTP were significantly increased in AD patients compared with NCs, but not with ApoE alleles or serum lipid levels.

摘要

背景

越来越多的证据表明,α-突触核蛋白(α-syn)病理学与阿尔茨海默病(AD)的病理生理学有关。本研究旨在调查在单一中心比较 60 名 AD 患者与 28 名年龄匹配的正常对照(NC)时,血浆 α-syn 蛋白、尿阿尔茨海默病相关神经元丝蛋白(AD7c-NTP)、载脂蛋白 E ɛ4(ApoE ε4)等位基因与认知能力下降之间的关联。

材料和方法

所有参与者均接受 α-syn、载脂蛋白 E(ApoE)、AD7c-NTP、胆固醇(CHO)、高密度脂蛋白(HDL)、低密度脂蛋白(LDL)和甘油三酯(TGs)分析、神经心理学量表评估和神经影像学分析。此外,还从所有参与者中采集了尿液和外周血样本。采用酶联免疫吸附测定(ELISA)试剂盒检测血浆α-syn 和 AD7c-NTP 水平。其他测试结果来自中日友好医院。

结果

我们发现 AD 患者和 NC 组之间的血浆α-syn 水平存在显著差异(p=0.045)。α-syn 水平也与 AD7c-NTP 相关(r=0.231,p=0.03),但与 ApoE e4 无关(Z=-0.147,p=0.883)。α-syn 既不与 CHO(p=0.432)、HDL(p=0.484)、LDL(p=0.733)或 TGs(p=0.253)有关,也不与 AD7c-NTP 有关[CHO(p=0.867)、HDL(p=0.13)、LDL(p=0.57)或 TGs(p=0.678)]。

结论

本研究表明,与 NC 相比,AD 患者的血浆α-syn 蛋白和尿 AD7c-NTP 水平显著升高,但与 ApoE 等位基因或血清脂质水平无关。

https://cdn.ncbi.nlm.nih.gov/pmc/blobs/d42c/8325392/011e9de94f5d/medscimonit-27-e932998-g001.jpg

文献AI研究员

20分钟写一篇综述,助力文献阅读效率提升50倍。

立即体验

用中文搜PubMed

大模型驱动的PubMed中文搜索引擎

马上搜索

文档翻译

学术文献翻译模型,支持多种主流文档格式。

立即体验