Suppr超能文献

小型犬(使用马尔济斯犬和西施犬)的髋臼指数的放射影像学与计算机断层摄影术比较:初步研究。

Comparison of radiographic and computed tomographic acetabular index in small-breed dogs: a preliminary study using Maltese and Shih Tzu.

机构信息

Department of Veterinary Surgery, Faculty of Veterinary Science, Chulalongkorn University, Bangkok 10330, Thailand.

Department of Veterinary Anatomy, Faculty of Veterinary Science, Chulalongkorn University, Bangkok 10330, Thailand.

出版信息

J Vet Sci. 2021 Jul;22(4):e58. doi: 10.4142/jvs.2021.22.e58.

Abstract

BACKGROUND

The morphometry of the acetabulum is one source of information that assists in the clinical diagnosis of the hip and influences the proper selection of a prosthesis, reducing post-operative complications such as those seen in total hip replacement (THR). However, acetabular parameters in small-breed dogs are rarely reported.

OBJECTIVES

To investigate acetabular parameters using radiography and computed tomography (CT) in small-breed dogs with Maltese and Shih Tzu dogs used as model breeds.

METHODS

Standard calibrated, extended hip radiographs and CT images were obtained. Subsequently, acetabular width (AW) in various directions was measured using radiography and CT, whereas acetabular depth (AD) was obtained by CT. Acetabular index (AI) is a ratio calculated from AD and AW.

RESULTS

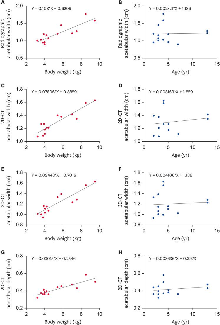
The values of AW and AD were much higher in Shih Tzu than in Maltese dogs. Male Shih Tzus showed higher values of these parameters than females, while sex-based differences in most of the parameters could not be detected in Maltese. Body weight, but not age, influenced AWs and ADs. While AWs and ADs were influenced by several factors, AI was comparable among the assessed factors and between Maltese and Shih Tzu dogs ( = 0.172; 31.42 ± 1.35 and 32.60 ± 1.80, respectively). Also, AI did not vary with breed, sex, or body size.

CONCLUSIONS

The obtained radiographic and CT acetabular parameters could be useful as guidelines for evaluating the acetabulum of small-breed dogs in clinical practice.

摘要

背景

髋臼的形态学是有助于髋关节临床诊断的信息来源之一,并且影响到假体的正确选择,从而减少全髋关节置换术(THR)后出现的并发症。然而,小型犬的髋臼参数很少有报道。

目的

通过对马尔济斯犬和西施犬这两种小型犬进行髋关节放射摄影和计算机断层扫描(CT)检查,来研究髋臼参数。

方法

获得标准校准的髋关节扩展放射摄影和 CT 图像。然后,使用放射摄影和 CT 测量髋臼的各个方向的髋臼宽度(AW),而髋臼深度(AD)则通过 CT 获得。髋臼指数(AI)是根据 AD 和 AW 计算的比值。

结果

与马尔济斯犬相比,西施犬的 AW 和 AD 值更高。雄性西施犬的这些参数值高于雌性,而在马尔济斯犬中,大多数参数没有性别差异。体重而不是年龄影响 AW 和 AD。虽然 AW 和 AD 受多种因素影响,但 AI 在评估的因素之间以及在马尔济斯犬和西施犬之间是可比的(=0.172;31.42±1.35 和 32.60±1.80)。此外,AI 不受品种、性别或体型的影响。

结论

所获得的放射摄影和 CT 髋臼参数可作为评估小型犬髋臼的临床实践指南。

https://cdn.ncbi.nlm.nih.gov/pmc/blobs/22e8/8318790/ca2f09531877/jvs-22-e58-g001.jpg

文献AI研究员

20分钟写一篇综述,助力文献阅读效率提升50倍。

立即体验

用中文搜PubMed

大模型驱动的PubMed中文搜索引擎

马上搜索

文档翻译

学术文献翻译模型,支持多种主流文档格式。

立即体验