Zhou He, Xiong Yongfu, Liu Zuoliang, Hou Songlin, Zhou Tong
The Second Department of Gastrointestinal Surgery, Affiliated Hospital of North Sichuan Medical College, 63 Wenhua Road, Nanchong, 637000, Sichuan Province, China.
Institute of Hepatobiliary, Pancreatic and Intestinal Disease, North Sichuan Medical College, Nanchong, 637000, Sichuan, China.
Cancer Cell Int. 2021 Jul 28;21(1):402. doi: 10.1186/s12935-021-02106-4.
The Chromobox (CBX) domain protein family, a core component of polycomb repressive complexes 1, is involved in transcriptional repression, cell differentiation, and program development by binding to methylated histone tails. Each CBX family member plays a distinct role in various biological processes through their own specific chromatin domains, due to differences in conserved sequences of the CBX proteins. It has been demonstrated that colorectal cancer (CRC) is a multiple-step biological evolutionary process, whereas the roles of the CBX family in CRC remain largely unclear.
In the present study, the expression and prognostic significance of the CBX family in CRC were systematically analyzed through a series of online databases, including Cancer Cell Line Encyclopedia (CCLE), Oncomine, Human Protein Atlas (HPA), and Gene Expression Profiling Interactive Analysis (GEPIA). For in vitro verification, we performed cell cloning, flow cytometry and transwell experiments to verify the proliferation and invasion ability of CRC cells after knocking down CBX2.
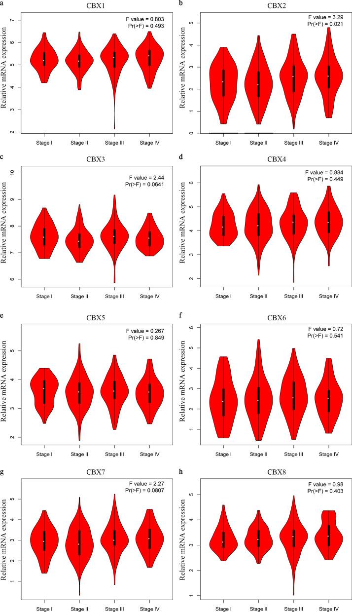
Most CBX proteins were found to be highly expressed in CRC, but only the elevated expression of CBX2 could be associated with poor prognosis in patients with CRC. Further examination of the role of CBX2 in CRC was performed through several in vitro experiments. CBX2 was overexpressed in CRC cell lines via the CCLE database and the results were verified by RT-qPCR. Moreover, the knockdown of CBX2 significantly suppressed CRC cell proliferation and invasion. Furthermore, the downregulation of CBX2 was found to promote CRC cell apoptosis.
Based on these findings, CBX2 may function as an oncogene and potential prognostic biomarker. Thus, the association between the abnormal expression of CBX2 and the initiation of CRC deserves further exploration.
染色质盒(CBX)结构域蛋白家族是多梳抑制复合物1的核心组成部分,通过与甲基化组蛋白尾巴结合参与转录抑制、细胞分化和程序发育。由于CBX蛋白保守序列的差异,每个CBX家族成员通过其自身特定的染色质结构域在各种生物学过程中发挥不同作用。已证明结直肠癌(CRC)是一个多步骤的生物学进化过程,而CBX家族在CRC中的作用仍不清楚。
在本研究中,通过一系列在线数据库,包括癌细胞系百科全书(CCLE)、Oncomine、人类蛋白质图谱(HPA)和基因表达谱交互分析(GEPIA),系统分析了CBX家族在CRC中的表达及预后意义。为进行体外验证,我们进行了细胞克隆、流式细胞术和Transwell实验,以验证敲低CBX2后CRC细胞的增殖和侵袭能力。
发现大多数CBX蛋白在CRC中高表达,但只有CBX2的表达升高与CRC患者的不良预后相关。通过多项体外实验进一步研究了CBX2在CRC中的作用。通过CCLE数据库在CRC细胞系中过表达CBX2,并通过RT-qPCR验证结果。此外,敲低CBX2可显著抑制CRC细胞的增殖和侵袭。此外,发现下调CBX2可促进CRC细胞凋亡。
基于这些发现,CBX2可能作为一种癌基因和潜在的预后生物标志物发挥作用。因此,CBX2异常表达与CRC发生之间的关联值得进一步探索。