Suppr超能文献

基于 SW-LSTM 和小波包分解的新型混合预测模型:以石油期货价格为例。

A New Hybrid Forecasting Model Based on SW-LSTM and Wavelet Packet Decomposition: A Case Study of Oil Futures Prices.

机构信息

Department of Statistics, College of Science, North China University of Technology, Beijing 100144, China.

School of Science, Beijing Jiaotong University, Beijing 100044, China.

出版信息

Comput Intell Neurosci. 2021 Jul 12;2021:7653091. doi: 10.1155/2021/7653091. eCollection 2021.

Abstract

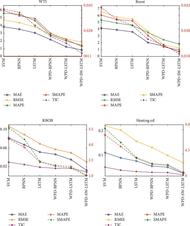
The crude oil futures prices forecasting is a significant research topic for the management of the energy futures market. In order to optimize the accuracy of energy futures prices prediction, a new hybrid model is established in this paper which combines wavelet packet decomposition (WPD) based on long short-term memory network (LSTM) with stochastic time effective weight (SW) function method (WPD-SW-LSTM). In the proposed framework, WPD is a signal processing method employed to decompose the original series into subseries with different frequencies and the SW-LSTM model is constructed based on random theory and the principle of LSTM network. To investigate the prediction performance of the new forecasting approach, SVM, BPNN, LSTM, WPD-BPNN, WPD-LSTM, CEEMDAN-LSTM, VMD-LSTM, and ST-GRU are considered as comparison models. Moreover, a new error measurement method (multiorder multiscale complexity invariant distance, MMCID) is improved to evaluate the forecasting results from different models, and the numerical results demonstrate that the high-accuracy forecast of oil futures prices is realized.

摘要

原油期货价格预测是能源期货市场管理的重要研究课题。为了优化能源期货价格预测的准确性,本文建立了一种新的混合模型,该模型将基于长短期记忆网络(LSTM)的小波包分解(WPD)与随机时间有效权重(SW)函数方法(WPD-SW-LSTM)相结合。在提出的框架中,WPD 是一种信号处理方法,用于将原始序列分解为具有不同频率的子序列,并且基于随机理论和 LSTM 网络原理构建了 SW-LSTM 模型。为了研究新预测方法的预测性能,考虑了 SVM、BPNN、LSTM、WPD-BPNN、WPD-LSTM、CEEMDAN-LSTM、VMD-LSTM 和 ST-GRU 作为比较模型。此外,改进了一种新的误差度量方法(多阶多尺度复杂度不变距离,MMCID),以评估来自不同模型的预测结果,数值结果表明实现了对石油期货价格的高精度预测。

https://cdn.ncbi.nlm.nih.gov/pmc/blobs/9e0b/8292043/35721d646853/CIN2021-7653091.001.jpg

文献AI研究员

20分钟写一篇综述,助力文献阅读效率提升50倍。

立即体验

用中文搜PubMed

大模型驱动的PubMed中文搜索引擎

马上搜索

文档翻译

学术文献翻译模型,支持多种主流文档格式。

立即体验