• 文献检索
  • 文档翻译
  • 深度研究
  • 学术资讯
  • Suppr Zotero 插件Zotero 插件
  • 邀请有礼
  • 套餐&价格
  • 历史记录
应用&插件
Suppr Zotero 插件Zotero 插件浏览器插件Mac 客户端Windows 客户端微信小程序
定价
高级版会员购买积分包购买API积分包
服务
文献检索文档翻译深度研究API 文档MCP 服务
关于我们
关于 Suppr公司介绍联系我们用户协议隐私条款
关注我们

Suppr 超能文献

核心技术专利:CN118964589B侵权必究
粤ICP备2023148730 号-1Suppr @ 2026

文献检索

告别复杂PubMed语法,用中文像聊天一样搜索,搜遍4000万医学文献。AI智能推荐,让科研检索更轻松。

立即免费搜索

文件翻译

保留排版,准确专业,支持PDF/Word/PPT等文件格式,支持 12+语言互译。

免费翻译文档

深度研究

AI帮你快速写综述,25分钟生成高质量综述,智能提取关键信息,辅助科研写作。

立即免费体验

基于机器学习的肾细胞癌患者肾切除术后急性肾损伤预测。

Machine learning-based prediction of acute kidney injury after nephrectomy in patients with renal cell carcinoma.

机构信息

Department of Internal Medicine, Seoul National University College of Medicine, 103 Daehakro, Jongno-gu, Seoul, 03080, South Korea.

Department of Internal Medicine, Uijeongbu Eulji Medical Center, Eulji University, Uijeongbu-si, Gyeonggi-do, South Korea.

出版信息

Sci Rep. 2021 Aug 3;11(1):15704. doi: 10.1038/s41598-021-95019-1.

DOI:10.1038/s41598-021-95019-1
PMID:34344909
原文链接:https://pmc.ncbi.nlm.nih.gov/articles/PMC8333365/
Abstract

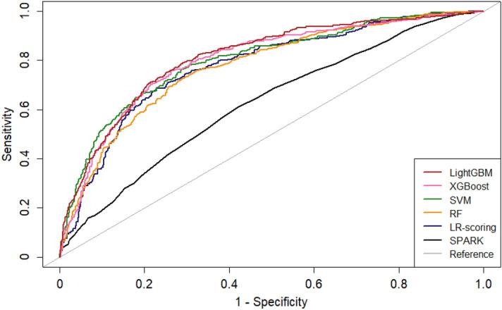
The precise prediction of acute kidney injury (AKI) after nephrectomy for renal cell carcinoma (RCC) is an important issue because of its relationship with subsequent kidney dysfunction and high mortality. Herein we addressed whether machine learning (ML) algorithms could predict postoperative AKI risk better than conventional logistic regression (LR) models. A total of 4104 RCC patients who had undergone unilateral nephrectomy from January 2003 to December 2017 were reviewed. ML models such as support vector machine, random forest, extreme gradient boosting, and light gradient boosting machine (LightGBM) were developed, and their performance based on the area under the receiver operating characteristic curve, accuracy, and F1 score was compared with that of the LR-based scoring model. Postoperative AKI developed in 1167 patients (28.4%). All the ML models had higher performance index values than the LR-based scoring model. Among them, the LightGBM model had the highest value of 0.810 (0.783-0.837). The decision curve analysis demonstrated a greater net benefit of the ML models than the LR-based scoring model over all the ranges of threshold probabilities. The application of ML algorithms improves the predictability of AKI after nephrectomy for RCC, and these models perform better than conventional LR-based models.

摘要

肾细胞癌(RCC)肾切除术后急性肾损伤(AKI)的精确预测是一个重要问题,因为它与随后的肾功能障碍和高死亡率有关。在此,我们研究了机器学习(ML)算法是否比传统的逻辑回归(LR)模型更能预测术后 AKI 风险。回顾了 2003 年 1 月至 2017 年 12 月期间接受单侧肾切除术的 4104 例 RCC 患者。开发了支持向量机、随机森林、极端梯度增强和 LightGBM 等 ML 模型,并比较了基于 AUC、准确性和 F1 评分的性能与基于 LR 的评分模型。术后 AKI 发生在 1167 例患者(28.4%)中。所有 ML 模型的性能指标值均高于基于 LR 的评分模型。其中,LightGBM 模型的 AUC 值最高,为 0.810(0.783-0.837)。决策曲线分析表明,在所有阈值概率范围内,ML 模型比基于 LR 的评分模型具有更大的净获益。ML 算法的应用提高了 RCC 肾切除术后 AKI 的预测能力,这些模型的性能优于传统的基于 LR 的模型。

https://cdn.ncbi.nlm.nih.gov/pmc/blobs/79f0/8333365/423e9bb0d561/41598_2021_95019_Fig4_HTML.jpg
https://cdn.ncbi.nlm.nih.gov/pmc/blobs/79f0/8333365/3b950006d6ad/41598_2021_95019_Fig1_HTML.jpg
https://cdn.ncbi.nlm.nih.gov/pmc/blobs/79f0/8333365/d1deb0813077/41598_2021_95019_Fig2_HTML.jpg
https://cdn.ncbi.nlm.nih.gov/pmc/blobs/79f0/8333365/4d04919fee73/41598_2021_95019_Fig3_HTML.jpg
https://cdn.ncbi.nlm.nih.gov/pmc/blobs/79f0/8333365/423e9bb0d561/41598_2021_95019_Fig4_HTML.jpg
https://cdn.ncbi.nlm.nih.gov/pmc/blobs/79f0/8333365/3b950006d6ad/41598_2021_95019_Fig1_HTML.jpg
https://cdn.ncbi.nlm.nih.gov/pmc/blobs/79f0/8333365/d1deb0813077/41598_2021_95019_Fig2_HTML.jpg
https://cdn.ncbi.nlm.nih.gov/pmc/blobs/79f0/8333365/4d04919fee73/41598_2021_95019_Fig3_HTML.jpg
https://cdn.ncbi.nlm.nih.gov/pmc/blobs/79f0/8333365/423e9bb0d561/41598_2021_95019_Fig4_HTML.jpg

相似文献

1
Machine learning-based prediction of acute kidney injury after nephrectomy in patients with renal cell carcinoma.基于机器学习的肾细胞癌患者肾切除术后急性肾损伤预测。
Sci Rep. 2021 Aug 3;11(1):15704. doi: 10.1038/s41598-021-95019-1.
2
Personalized Prediction of Long-Term Renal Function Prognosis Following Nephrectomy Using Interpretable Machine Learning Algorithms: Case-Control Study.基于可解释机器学习算法的肾切除术后长期肾功能预后个体化预测:病例对照研究。
JMIR Med Inform. 2024 Sep 20;12:e52837. doi: 10.2196/52837.
3
Post-operative acute kidney injury in patients with renal cell carcinoma is a potent risk factor for new-onset chronic kidney disease after radical nephrectomy.术后急性肾损伤是肾细胞癌患者根治性肾切除术后新发慢性肾脏病的一个强有力的危险因素。
Nephrol Dial Transplant. 2011 Nov;26(11):3496-501. doi: 10.1093/ndt/gfr094. Epub 2011 Mar 15.
4
Predicting acute kidney injury after robot-assisted partial nephrectomy: Implications for patient selection and postoperative management.预测机器人辅助部分肾切除术术后急性肾损伤:对患者选择和术后管理的影响。
Urol Oncol. 2019 Jul;37(7):445-451. doi: 10.1016/j.urolonc.2019.04.018. Epub 2019 May 8.
5
A Nomogram to Predict Significant Estimated Glomerular Filtration Rate Reduction After Robotic Partial Nephrectomy.机器人辅助部分肾切除术术后肾小球滤过率显著降低的预测列线图。
Eur Urol. 2018 Dec;74(6):833-839. doi: 10.1016/j.eururo.2018.08.037. Epub 2018 Sep 14.
6
Development of interpretable machine learning models for prediction of acute kidney injury after noncardiac surgery: a retrospective cohort study.非心脏手术后急性肾损伤预测的可解释机器学习模型的开发:一项回顾性队列研究。
Int J Surg. 2024 May 1;110(5):2950-2962. doi: 10.1097/JS9.0000000000001237.
7
Risk factors for acute kidney injury after radical nephrectomy and inferior vena cava thrombectomy for renal cell carcinoma.根治性肾切除术和肾细胞癌下腔静脉取栓术后急性肾损伤的危险因素。
J Vasc Surg. 2013 Oct;58(4):1021-7. doi: 10.1016/j.jvs.2013.02.247. Epub 2013 Apr 13.
8
[Comparison of machine learning method and logistic regression model in prediction of acute kidney injury in severely burned patients].[机器学习方法与逻辑回归模型在预测重度烧伤患者急性肾损伤中的比较]
Zhonghua Shao Shang Za Zhi. 2018 Jun 20;34(6):343-348. doi: 10.3760/cma.j.issn.1009-2587.2018.06.006.
9
Machine learning for early discrimination between transient and persistent acute kidney injury in critically ill patients with sepsis.机器学习在鉴别脓毒症危重症患者急性肾损伤的一过性与持续性中的作用。
Sci Rep. 2021 Oct 12;11(1):20269. doi: 10.1038/s41598-021-99840-6.
10
Application of machine learning models for predicting acute kidney injury following donation after cardiac death liver transplantation.机器学习模型在预测心脏死亡后肝移植供体急性肾损伤中的应用。
Hepatobiliary Pancreat Dis Int. 2021 Jun;20(3):222-231. doi: 10.1016/j.hbpd.2021.02.001. Epub 2021 Mar 5.

引用本文的文献

1
Role of artificial intelligence in predicting the renal function after nephrectomy in renal cell carcinoma: a systematic review and meta-analysis.人工智能在预测肾细胞癌肾切除术后肾功能中的作用:一项系统评价和荟萃分析。
Int Urol Nephrol. 2025 Apr 1. doi: 10.1007/s11255-025-04467-5.
2
Pathways to chronic disease detection and prediction: Mapping the potential of machine learning to the pathophysiological processes while navigating ethical challenges.慢性病检测与预测的途径:在应对伦理挑战的同时,将机器学习的潜力与病理生理过程相对应。
Chronic Dis Transl Med. 2024 Jun 9;11(1):1-21. doi: 10.1002/cdt3.137. eCollection 2025 Mar.
3

本文引用的文献

1
Predictive modeling of blood pressure during hemodialysis: a comparison of linear model, random forest, support vector regression, XGBoost, LASSO regression and ensemble method.血液透析期间血压的预测建模:线性模型、随机森林、支持向量回归、XGBoost、LASSO回归及集成方法的比较
Comput Methods Programs Biomed. 2020 Oct;195:105536. doi: 10.1016/j.cmpb.2020.105536. Epub 2020 May 22.
2
Development of a risk scoring system for predicting acute kidney injury after minimally invasive partial and radical nephrectomy: a retrospective study.微创部分肾切除术和根治性肾切除术术后急性肾损伤风险评分系统的建立:一项回顾性研究。
Surg Endosc. 2021 Apr;35(4):1626-1635. doi: 10.1007/s00464-020-07545-0. Epub 2020 Apr 15.
3
Exploring the role of Artificial Intelligence in Acute Kidney Injury management: a comprehensive review and future research agenda.
探索人工智能在急性肾损伤管理中的作用:全面综述和未来研究议程。
BMC Med Inform Decis Mak. 2024 Nov 14;24(1):337. doi: 10.1186/s12911-024-02758-y.
4
Personalized Prediction of Long-Term Renal Function Prognosis Following Nephrectomy Using Interpretable Machine Learning Algorithms: Case-Control Study.基于可解释机器学习算法的肾切除术后长期肾功能预后个体化预测:病例对照研究。
JMIR Med Inform. 2024 Sep 20;12:e52837. doi: 10.2196/52837.
5
Machine learning models to predict systemic inflammatory response syndrome after percutaneous nephrolithotomy.经皮肾镜碎石取石术后全身炎症反应综合征的机器学习模型预测。
BMC Urol. 2024 Jul 8;24(1):140. doi: 10.1186/s12894-024-01529-1.
6
Preoperative Age and Its Impact on Long-Term Renal Functional Decline after Robotic-Assisted Partial Nephrectomy: Insights from a Tertiary Referral Center.术前年龄及其对机器人辅助部分肾切除术术后长期肾功能下降的影响:来自三级转诊中心的见解。
Medicina (Kaunas). 2024 Mar 11;60(3):463. doi: 10.3390/medicina60030463.
7
Early prediction of acute kidney injury in patients with gastrointestinal bleeding admitted to the intensive care unit based on extreme gradient boosting.基于极端梯度提升法对入住重症监护病房的胃肠道出血患者急性肾损伤的早期预测
Front Med (Lausanne). 2023 Aug 31;10:1221602. doi: 10.3389/fmed.2023.1221602. eCollection 2023.
8
The Present and Future of Artificial Intelligence in Urological Cancer.人工智能在泌尿系统癌症中的现状与未来
J Clin Med. 2023 Jul 29;12(15):4995. doi: 10.3390/jcm12154995.
9
Using machine learning to predict lymph node metastasis in patients with renal cell carcinoma: A population-based study.使用机器学习预测肾细胞癌患者的淋巴结转移:一项基于人群的研究。
Front Public Health. 2023 Mar 24;11:1104931. doi: 10.3389/fpubh.2023.1104931. eCollection 2023.
10
Machine learning for acute kidney injury: Changing the traditional disease prediction mode.用于急性肾损伤的机器学习:改变传统疾病预测模式。
Front Med (Lausanne). 2023 Feb 3;10:1050255. doi: 10.3389/fmed.2023.1050255. eCollection 2023.
Compensatory Changes in Parenchymal Mass and Function after Radical Nephrectomy.
肾根治性切除术后实质质量和功能的代偿性变化。
J Urol. 2020 Jul;204(1):42-49. doi: 10.1097/JU.0000000000000797. Epub 2020 Feb 14.
4
Global, Regional, and National Cancer Incidence, Mortality, Years of Life Lost, Years Lived With Disability, and Disability-Adjusted Life-Years for 29 Cancer Groups, 1990 to 2017: A Systematic Analysis for the Global Burden of Disease Study.全球、区域和国家癌症发病率、死亡率、生命损失年数、失能生存年数以及 29 种癌症组别的伤残调整生命年数:1990 至 2017 年全球疾病负担研究的系统分析。
JAMA Oncol. 2019 Dec 1;5(12):1749-1768. doi: 10.1001/jamaoncol.2019.2996.
5
Compensatory renal hypertrophy following nephrectomy: When and how?肾切除术后的代偿性肾肥大:何时及如何发生?
Nephrology (Carlton). 2019 Dec;24(12):1225-1232. doi: 10.1111/nep.13578. Epub 2019 May 5.
6
European Association of Urology Guidelines on Renal Cell Carcinoma: The 2019 Update.欧洲泌尿外科学会肾癌指南:2019 年更新版。
Eur Urol. 2019 May;75(5):799-810. doi: 10.1016/j.eururo.2019.02.011. Epub 2019 Feb 23.
7
A systematic review shows no performance benefit of machine learning over logistic regression for clinical prediction models.系统评价显示,机器学习在临床预测模型中并未优于逻辑回归。
J Clin Epidemiol. 2019 Jun;110:12-22. doi: 10.1016/j.jclinepi.2019.02.004. Epub 2019 Feb 11.
8
Simple Postoperative AKI Risk (SPARK) Classification before Noncardiac Surgery: A Prediction Index Development Study with External Validation.非心脏手术患者术后急性肾损伤风险(SPARK)简易分类:一项具有外部验证的预测指标开发研究。
J Am Soc Nephrol. 2019 Jan;30(1):170-181. doi: 10.1681/ASN.2018070757. Epub 2018 Dec 18.
9
Predicting Renal Function Outcomes After Partial and Radical Nephrectomy.预测部分肾切除术和根治性肾切除术的肾功能结果。
Eur Urol. 2019 May;75(5):766-772. doi: 10.1016/j.eururo.2018.11.021. Epub 2018 Nov 23.
10
A Nomogram to Predict Significant Estimated Glomerular Filtration Rate Reduction After Robotic Partial Nephrectomy.机器人辅助部分肾切除术术后肾小球滤过率显著降低的预测列线图。
Eur Urol. 2018 Dec;74(6):833-839. doi: 10.1016/j.eururo.2018.08.037. Epub 2018 Sep 14.