Cella Laura, Monti Serena, Thor Maria, Rimner Andreas, Deasy Joseph O, Palma Giuseppe
Institute of Biostructures and Bioimaging, National Research Council, 80145 Napoli, Italy.
Department of Medical Physics, Memorial Sloan Kettering Cancer Center, New York, NY 10065, USA.
Cancers (Basel). 2021 Jul 25;13(15):3734. doi: 10.3390/cancers13153734.
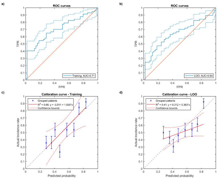
In this study, we investigated the prognostic factors for radiation-induced dyspnea after hypo-fractionated radiation therapy (RT) in 106 patients treated with Stereotactic Body RT for Non-Small-Cell Lung Cancer (NSCLC). The median prescription dose was 50 Gy (range: 40-54 Gy), delivered in a median of four fractions (range: 3-12). Dyspnea within six months after SBRT was scored according to CTCAE v.4.0. Biologically Effective Dose (α/β = 3 Gy) volume histograms for lungs and heart were extracted. Dosimetric parameters along with patient-specific and treatment-related factors were analyzed, multivariable logistic regression method with Leave-One-Out (LOO) internal validation applied. Model performance was evaluated by the area under the receiver operating characteristic (ROC) curve (AUC) and calibration plot parameters. Fifty-seven patients (53.8%) out of 106 developed dyspnea of any grade after SBRT (25/57 grade ≥ 2 cases). A three-variable predictive model including patient comorbidity (COPD), heart volume and the relative lungs volume receiving more than 15 Gy was selected. The model displays an encouraging performance given by a training ROC-AUC = 0.71 [95%CI 0.61-0.80] and a LOO-ROC-AUC = 0.64 [95%CI 0.53-0.74]. Further modeling efforts are needed for dyspnea prediction in hypo-fractionated treatments in order to identify patients at high risk for developing lung toxicity more accurately.
在本研究中,我们调查了106例接受立体定向体部放疗治疗非小细胞肺癌(NSCLC)的患者在接受低分割放疗(RT)后发生放射性呼吸困难的预后因素。中位处方剂量为50 Gy(范围:40 - 54 Gy),中位分4次给予(范围:3 - 12次)。根据CTCAE v.4.0对立体定向体部放疗后6个月内的呼吸困难进行评分。提取肺和心脏的生物等效剂量(α/β = 3 Gy)体积直方图。分析剂量学参数以及患者特异性和治疗相关因素,应用留一法(LOO)内部验证的多变量逻辑回归方法。通过受试者操作特征(ROC)曲线下面积(AUC)和校准图参数评估模型性能。106例患者中有57例(53.8%)在立体定向体部放疗后出现任何级别的呼吸困难(25/57例为≥2级)。选择了一个包含患者合并症(慢性阻塞性肺疾病)、心脏体积和接受超过15 Gy照射的相对肺体积的三变量预测模型。该模型表现出令人鼓舞的性能,训练ROC-AUC = 0.71 [95%CI 0.61 - 0.80],LOO-ROC-AUC = 0.64 [95%CI 0.53 - 0.74]。为了更准确地识别发生肺毒性高风险的患者,在低分割治疗中进行呼吸困难预测还需要进一步的建模努力。