• 文献检索
  • 文档翻译
  • 深度研究
  • 学术资讯
  • Suppr Zotero 插件Zotero 插件
  • 邀请有礼
  • 套餐&价格
  • 历史记录
应用&插件
Suppr Zotero 插件Zotero 插件浏览器插件Mac 客户端Windows 客户端微信小程序
定价
高级版会员购买积分包购买API积分包
服务
文献检索文档翻译深度研究API 文档MCP 服务
关于我们
关于 Suppr公司介绍联系我们用户协议隐私条款
关注我们

Suppr 超能文献

核心技术专利:CN118964589B侵权必究
粤ICP备2023148730 号-1Suppr @ 2026

文献检索

告别复杂PubMed语法,用中文像聊天一样搜索,搜遍4000万医学文献。AI智能推荐,让科研检索更轻松。

立即免费搜索

文件翻译

保留排版,准确专业,支持PDF/Word/PPT等文件格式,支持 12+语言互译。

免费翻译文档

深度研究

AI帮你快速写综述,25分钟生成高质量综述,智能提取关键信息,辅助科研写作。

立即免费体验

德国患者队列中用于预测冠状动脉造影后对比剂肾病及透析需求的国家心血管数据注册中心急性肾损伤(NCDR)与梅兰风险模型对比

National Cardiovascular Data Registry-Acute Kidney Injury (NCDR) vs. Mehran risk models for prediction of contrast-induced nephropathy and need for dialysis after coronary angiography in a German patient cohort.

作者信息

Parco Claudio, Brockmeyer Maximilian, Kosejian Lucin, Quade Julia, Tröstler Jennifer, Bader Selina, Lin Yingfeng, Sokolowski Alexander, Hoss Alexander, Heinen Yvonne, Schulze Volker, Icks Andrea, Jung Christian, Kelm Malte, Wolff Georg

机构信息

Division of Cardiology, Pulmonology and Vascular Medicine, Department of Internal Medicine, Medical Faculty and University Hospital, Heinrich-Heine-University, Moorenstr. 5, 40225, Düsseldorf, Germany.

Institute for Health Services Research and Health Economics, Medical Faculty and University Hospital, Heinrich-Heine-University, Moorenstr. 5, 40225, Düsseldorf, Germany.

出版信息

J Nephrol. 2021 Oct;34(5):1491-1500. doi: 10.1007/s40620-021-01124-9. Epub 2021 Aug 7.

DOI:10.1007/s40620-021-01124-9
PMID:34363595
原文链接:https://pmc.ncbi.nlm.nih.gov/articles/PMC8494719/
Abstract

BACKGROUND

Contrast-induced nephropathy (CIN) is a major adverse event in patients undergoing coronary angiography. The Mehran risk model is the gold-standard for CIN risk prediction. However, its performance in comparison to more contemporary National Cardiovascular Data Registry-Acute Kidney Injury (NCDR-AKI) risk models remains unknown. We aimed to compare both in this study.

METHODS AND RESULTS

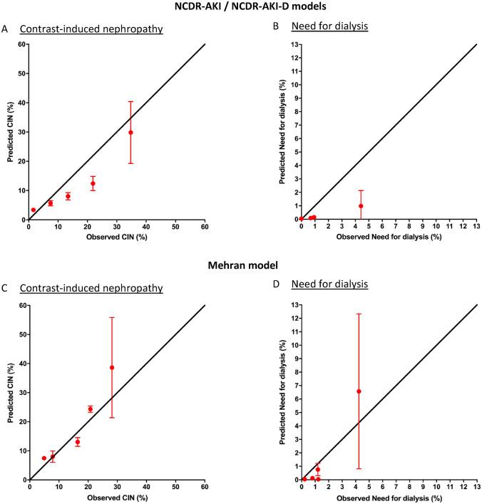
Predictions of Mehran and NCDR-AKI risk models and clinical events of CIN and need for dialysis were assessed in a total of 2067 patients undergoing coronary angiography with or without percutaneous coronary intervention. Risk models were compared regarding discrimination (receiver operating characteristic analysis), net reclassification improvement (NRI) and calibration (graphical and statistical analysis). The NCDR risk model showed superior risk discrimination for predicting CIN (NCDR c-index 0.75, 95% CI 0.72-0.78; vs. Mehran c-index 0.69, 95% CI 0.66-0.72, p < 0.01), and continuous NRI (0.22; 95% CI 0.12-0.32; p < 0.01) compared to the Mehran model. The NCDR risk model tended to underestimate the risk of CIN, while the Mehran model was more evenly calibrated. For the prediction of need for dialysis, NCDR-AKI-D also discriminated risk better (c-index 0.85, 95% CI 0.79-0.91; vs. Mehran c-index 0.75, 95% CI 0.66-0.84; p < 0.01), but continuous NRI showed no benefit and calibration analysis revealed an underestimation of dialysis risk.

CONCLUSION

In German patients undergoing coronary angiography, the modern NCDR risk model for predicting contrast-induced nephropathy showed superior discrimination compared to the Mehran model while showing less accurate calibration. Results for the outcome 'need for dialysis' were equivocal.

摘要

背景

对比剂肾病(CIN)是接受冠状动脉造影患者的主要不良事件。梅兰风险模型是CIN风险预测的金标准。然而,与更现代的国家心血管数据注册中心-急性肾损伤(NCDR-AKI)风险模型相比,其性能仍不清楚。我们旨在本研究中对两者进行比较。

方法和结果

在总共2067例接受或未接受经皮冠状动脉介入治疗的冠状动脉造影患者中,评估了梅兰和NCDR-AKI风险模型的预测以及CIN的临床事件和透析需求。比较了风险模型的辨别力(受试者工作特征分析)、净重新分类改善(NRI)和校准(图形和统计分析)。NCDR风险模型在预测CIN方面显示出更好的风险辨别力(NCDR c指数0.75,95%CI 0.72-0.78;vs.梅兰c指数0.69,95%CI 0.66-0.72,p<0.01),与梅兰模型相比,连续NRI(为0.22;95%CI 0.12-0.32;p<0.01)。NCDR风险模型倾向于低估CIN风险,而梅兰模型校准更为均匀。对于透析需求的预测,NCDR-AKI-D在辨别风险方面也更好(c指数0.85,95%CI 0.79-0.91;vs.梅兰c指数0.75,95%CI 0.66-0.84;p<0.01),但连续NRI未显示出优势,校准分析显示对透析风险的低估。

结论

在接受冠状动脉造影的德国患者中,用于预测对比剂肾病的现代NCDR风险模型与梅兰模型相比显示出更好的辨别力,但校准准确性较低。“透析需求”结果不明确。

https://cdn.ncbi.nlm.nih.gov/pmc/blobs/0d09/8494719/0a67b55362fe/40620_2021_1124_Fig2_HTML.jpg
https://cdn.ncbi.nlm.nih.gov/pmc/blobs/0d09/8494719/ec61500c1260/40620_2021_1124_Fig1_HTML.jpg
https://cdn.ncbi.nlm.nih.gov/pmc/blobs/0d09/8494719/0a67b55362fe/40620_2021_1124_Fig2_HTML.jpg
https://cdn.ncbi.nlm.nih.gov/pmc/blobs/0d09/8494719/ec61500c1260/40620_2021_1124_Fig1_HTML.jpg
https://cdn.ncbi.nlm.nih.gov/pmc/blobs/0d09/8494719/0a67b55362fe/40620_2021_1124_Fig2_HTML.jpg

相似文献

1
National Cardiovascular Data Registry-Acute Kidney Injury (NCDR) vs. Mehran risk models for prediction of contrast-induced nephropathy and need for dialysis after coronary angiography in a German patient cohort.德国患者队列中用于预测冠状动脉造影后对比剂肾病及透析需求的国家心血管数据注册中心急性肾损伤(NCDR)与梅兰风险模型对比
J Nephrol. 2021 Oct;34(5):1491-1500. doi: 10.1007/s40620-021-01124-9. Epub 2021 Aug 7.
2
Validation of National Cardiovascular Data Registry risk models for mortality, bleeding and acute kidney injury in interventional cardiology at a German Heart Center.德国心脏中心验证国家心血管数据注册风险模型在介入心脏病学中的死亡率、出血和急性肾损伤。
Clin Res Cardiol. 2020 Feb;109(2):235-245. doi: 10.1007/s00392-019-01506-x. Epub 2019 Jun 24.
3
Usefulness of Adding Pre-procedural Glycemia to the Mehran Score to Enhance Its Ability to Predict Contrast-induced Kidney Injury in Patients Undergoing Percutaneous Coronary Intervention Development and Validation of a Predictive Model.术前血糖对 Mehran 评分的补充作用对提高经皮冠状动脉介入治疗患者对比剂诱导肾损伤预测能力的效用:预测模型的建立与验证。
Am J Cardiol. 2021 Sep 15;155:16-22. doi: 10.1016/j.amjcard.2021.06.014. Epub 2021 Jul 17.
4
Comparison of the Performance of the NCDR CathPCI Score and Mehran Score to Predict Acute Kidney Injury Post-Percutaneous Coronary Intervention.比较NCDR CathPCI评分与梅兰评分预测经皮冠状动脉介入治疗后急性肾损伤的性能。
HCA Healthc J Med. 2020 Oct 29;1(5):305-314. doi: 10.36518/2689-0216.1110. eCollection 2020.
5
Random forest for prediction of contrast-induced nephropathy following coronary angiography.随机森林预测冠状动脉造影术后对比剂肾病。
Int J Cardiovasc Imaging. 2020 Jun;36(6):983-991. doi: 10.1007/s10554-019-01730-6. Epub 2020 Apr 13.
6
Mehran contrast nephropathy risk score: Is it still useful 10 years later?梅赫兰造影剂肾病风险评分:10年后它仍然有用吗?
J Cardiol. 2016 Mar;67(3):262-7. doi: 10.1016/j.jjcc.2015.05.007. Epub 2015 Jul 10.
7
Performance and Validation of the U.S. NCDR Acute Kidney Injury Prediction Model in Japan.美国 NCDR 急性肾损伤预测模型在日本的性能和验证。
J Am Coll Cardiol. 2016 Apr 12;67(14):1715-22. doi: 10.1016/j.jacc.2016.01.049.
8
Mehran 2 Contrast-Associated Acute Kidney Injury Risk Score: Is it Applicable to the Asian Percutaneous Coronary Intervention Population?Mehran 对比剂相关急性肾损伤风险评分:它适用于亚洲经皮冠状动脉介入治疗人群吗?
Clin Appl Thromb Hemost. 2022 Jan-Dec;28:10760296221116353. doi: 10.1177/10760296221116353.
9
Contemporary Methods for Predicting Acute Kidney Injury After Coronary Intervention.当代方法预测冠状动脉介入治疗后的急性肾损伤。
JACC Cardiovasc Interv. 2023 Sep 25;16(18):2294-2305. doi: 10.1016/j.jcin.2023.07.041.
10
Contemporary incidence, predictors, and outcomes of acute kidney injury in patients undergoing percutaneous coronary interventions: insights from the NCDR Cath-PCI registry.接受经皮冠状动脉介入治疗患者急性肾损伤的当代发病率、预测因素及预后:来自国家心血管数据注册库(NCDR)导管介入治疗注册研究的见解
JACC Cardiovasc Interv. 2014 Jan;7(1):1-9. doi: 10.1016/j.jcin.2013.06.016.

引用本文的文献

1
Predicting pre- and post-operative acute kidney injury in elderly patients with coronary artery disease.预测老年冠心病患者术前和术后的急性肾损伤
Heliyon. 2024 Jul 2;10(13):e33988. doi: 10.1016/j.heliyon.2024.e33988. eCollection 2024 Jul 15.
2
Mehran 2 Contrast-Associated Acute Kidney Injury Risk Score: Is it Applicable to the Asian Percutaneous Coronary Intervention Population?Mehran 对比剂相关急性肾损伤风险评分:它适用于亚洲经皮冠状动脉介入治疗人群吗?
Clin Appl Thromb Hemost. 2022 Jan-Dec;28:10760296221116353. doi: 10.1177/10760296221116353.
3
A Biomarker-Enhanced Model for Prediction of Acute Kidney Injury and Cardiovascular Risk Following Angiographic Procedures: CASABLANCA AKI Prediction Substudy.

本文引用的文献

1
Risk modeling in transcatheter aortic valve replacement remains unsolved: an external validation study in 2946 German patients.经导管主动脉瓣置换术的风险建模仍未解决:2946 例德国患者的外部验证研究。
Clin Res Cardiol. 2021 Mar;110(3):368-376. doi: 10.1007/s00392-020-01731-9. Epub 2020 Aug 26.
2
Routine Revascularization Versus Initial Medical Therapy for Stable Ischemic Heart Disease: A Systematic Review and Meta-Analysis of Randomized Trials.常规血运重建与稳定型缺血性心脏病初始药物治疗的比较:随机试验的系统评价和荟萃分析。
Circulation. 2020 Sep;142(9):841-857. doi: 10.1161/CIRCULATIONAHA.120.048194. Epub 2020 Jun 26.
3
基于生物标志物的急性肾损伤和血管造影术后心血管风险预测模型:CASABLANCA AKI 预测亚研究。
J Am Heart Assoc. 2022 May 17;11(10):e025729. doi: 10.1161/JAHA.122.025729. Epub 2022 May 16.
Initial Invasive or Conservative Strategy for Stable Coronary Disease.
稳定型冠心病的初始侵入性或保守治疗策略。
N Engl J Med. 2020 Apr 9;382(15):1395-1407. doi: 10.1056/NEJMoa1915922. Epub 2020 Mar 30.
4
2019 ESC Guidelines for the diagnosis and management of chronic coronary syndromes.2019年欧洲心脏病学会慢性冠状动脉综合征诊断和管理指南
Eur Heart J. 2020 Jan 14;41(3):407-477. doi: 10.1093/eurheartj/ehz425.
5
Ticagrelor or Prasugrel in Patients with Acute Coronary Syndromes.替格瑞洛或普拉格雷在急性冠状动脉综合征患者中的应用。
N Engl J Med. 2019 Oct 17;381(16):1524-1534. doi: 10.1056/NEJMoa1908973. Epub 2019 Sep 1.
6
Validation of National Cardiovascular Data Registry risk models for mortality, bleeding and acute kidney injury in interventional cardiology at a German Heart Center.德国心脏中心验证国家心血管数据注册风险模型在介入心脏病学中的死亡率、出血和急性肾损伤。
Clin Res Cardiol. 2020 Feb;109(2):235-245. doi: 10.1007/s00392-019-01506-x. Epub 2019 Jun 24.
7
Early clinical experiences with a novel contrast volume reduction system during invasive coronary angiography.新型造影剂容积减少系统在有创冠状动脉造影术中的早期临床经验。
Int J Cardiol Heart Vasc. 2019 May 15;23:100377. doi: 10.1016/j.ijcha.2019.100377. eCollection 2019 Jun.
8
Contrast-Associated Acute Kidney Injury.对比剂相关急性肾损伤
N Engl J Med. 2019 May 30;380(22):2146-2155. doi: 10.1056/NEJMra1805256.
9
Bi-plane and single plane angiography: a study to compare contrast usage and radiation doses for adult cardiac patients in diagnostic studies.双平面和单平面血管造影术:一项针对成年心脏病患者诊断性研究中对比剂使用量和辐射剂量比较的研究。
Br J Radiol. 2019 Jan;92(1093):20180367. doi: 10.1259/bjr.20180367. Epub 2018 Sep 21.
10
2018 ESC/EACTS Guidelines on myocardial revascularization.2018年欧洲心脏病学会/欧洲心胸外科学会心肌血运重建指南。
Eur Heart J. 2019 Jan 7;40(2):87-165. doi: 10.1093/eurheartj/ehy394.