Suppr超能文献

结合传感器信息以提高气动夹爪的性能。

Combining Sensors Information to Enhance Pneumatic Grippers Performance.

机构信息

Istituto Italiano di Tecnologia, iCub-Tech Facility, Via San Quirico 19d, 16163 Genoa, Italy.

出版信息

Sensors (Basel). 2021 Jul 24;21(15):5020. doi: 10.3390/s21155020.

Abstract

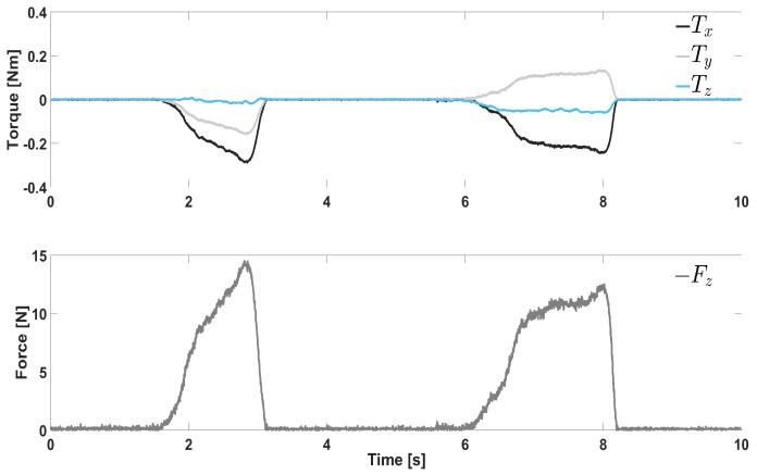
The gripper is the far end of a robotic arm. It is responsible for the contacts between the robot itself and all the items present in a work space, or even in a social space. Therefore, to provide grippers with intelligent behaviors is fundamental, especially when the robot has to interact with human beings. As shown in this article, we built an instrumented pneumatic gripper prototype that relies on different sensors' information. Thanks to such information, the gripper prototype was able to detect the position of a given object in order to grasp it, to safely keep it between its fingers and to avoid slipping in the case of any object movement, even very small. The gripper performance was evaluated by means of a generic grasping algorithm for robotic grippers, implemented in the form of a state machine. Several slip tests were carried out on the pneumatic gripper, which showed a very fast response time and high reliability. Objects of various size, shape and hardness were employed to reproduce different grasping scenarios. We demonstrate that, through the use of force, torque, center of pressure and proximity information, the behavior of the developed pneumatic gripper prototype outperforms the one of the traditional pneumatic gripping devices.

摘要

夹爪是机械臂的远端部分。它负责机器人本身与工作空间中(甚至是社交空间中)所有物品之间的接触。因此,为夹爪提供智能行为是至关重要的,尤其是当机器人必须与人类互动时。正如本文所示,我们构建了一个基于不同传感器信息的仪器化气动夹爪原型。得益于这些信息,夹爪原型能够检测给定物体的位置,以便抓住它,安全地将其夹在手指之间,并在物体移动(即使非常小)的情况下避免滑落。夹爪的性能通过一种用于机器人夹爪的通用抓取算法进行评估,该算法以状态机的形式实现。我们对气动夹爪进行了多次打滑测试,结果表明其响应时间非常快,可靠性很高。我们使用各种大小、形状和硬度的物体来模拟不同的抓取场景。我们证明,通过使用力、扭矩、压力中心和接近度信息,所开发的气动夹爪原型的行为优于传统气动夹持装置。

https://cdn.ncbi.nlm.nih.gov/pmc/blobs/31ab/8347833/ddb054e6d16d/sensors-21-05020-g001.jpg

文献AI研究员

20分钟写一篇综述,助力文献阅读效率提升50倍。

立即体验

用中文搜PubMed

大模型驱动的PubMed中文搜索引擎

马上搜索

文档翻译

学术文献翻译模型,支持多种主流文档格式。

立即体验