• 文献检索
  • 文档翻译
  • 深度研究
  • 学术资讯
  • Suppr Zotero 插件Zotero 插件
  • 邀请有礼
  • 套餐&价格
  • 历史记录
应用&插件
Suppr Zotero 插件Zotero 插件浏览器插件Mac 客户端Windows 客户端微信小程序
定价
高级版会员购买积分包购买API积分包
服务
文献检索文档翻译深度研究API 文档MCP 服务
关于我们
关于 Suppr公司介绍联系我们用户协议隐私条款
关注我们

Suppr 超能文献

核心技术专利:CN118964589B侵权必究
粤ICP备2023148730 号-1Suppr @ 2026

文献检索

告别复杂PubMed语法,用中文像聊天一样搜索,搜遍4000万医学文献。AI智能推荐,让科研检索更轻松。

立即免费搜索

文件翻译

保留排版,准确专业,支持PDF/Word/PPT等文件格式,支持 12+语言互译。

免费翻译文档

深度研究

AI帮你快速写综述,25分钟生成高质量综述,智能提取关键信息,辅助科研写作。

立即免费体验

用于伤口愈合应用的微脂肪构建体的3D生物打印可行性研究。

A Feasibility Study on 3D Bioprinting of Microfat Constructs Towards Wound Healing Applications.

作者信息

Schmitt Trevor, Katz Nathan, Kishore Vipuil

机构信息

Department of Biomedical and Chemical Engineering and Sciences, Florida Institute of Technology, Melbourne, FL, United States.

Jointechlabs Inc., North Barrington, IL, United States.

出版信息

Front Bioeng Biotechnol. 2021 Jul 27;9:707098. doi: 10.3389/fbioe.2021.707098. eCollection 2021.

DOI:10.3389/fbioe.2021.707098
PMID:34386485
原文链接:https://pmc.ncbi.nlm.nih.gov/articles/PMC8353388/
Abstract

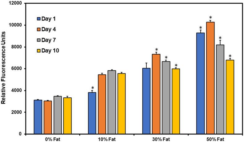
Chronic wounds affect over 400,000 people in the United States alone, with up to 60,000 deaths each year from non-healing ulcerations. Tissue grafting (e.g., autografts, allografts, and xenografts) and synthetic skin substitutes are common treatment methods, but most solutions are limited to symptomatic treatment and do not address the underlying causes of the chronic wound. Use of fat grafts for wound healing applications has demonstrated promise but these grafts suffer from low cell viability and poor retention at the wound site resulting in suboptimal healing of chronic wounds. Herein, we report on an innovative closed-loop fat processing system (MiniTC) that can efficiently process lipoaspirates into microfat clusters comprising of highly viable regenerative cell population (i.e., adipose stromal cells, endothelial progenitors) preserved in their native niche. Cryopreservation of MiniTC isolated microfat retained cell count and viability. To improve microfat retention and engraftment at the wound site, microfat was mixed with methacrylated collagen (CMA) bioink and 3D printed to generate microfat-laden collagen constructs. Modulating the concentration of microfat in CMA constructs had no effect on print fidelity or stability of the printed constructs. Results from the Alamar blue assay showed that the cells remain viable and metabolically active in microfat-laden collagen constructs for up to 10 days . Further, quantitative assessment of cell culture medium over time using ELISA revealed a temporal expression of proinflammatory and anti-inflammatory cytokines indicative of wound healing microenvironment progression. Together, these results demonstrate that 3D bioprinting of microfat-laden collagen constructs is a promising approach to generate viable microfat grafts for potential use in treatment of non-healing chronic wounds.

摘要

仅在美国,慢性伤口就影响着超过40万人,每年有多达6万人死于无法愈合的溃疡。组织移植(如自体移植、同种异体移植和异种移植)以及合成皮肤替代品是常见的治疗方法,但大多数解决方案仅限于对症治疗,并未解决慢性伤口的根本原因。将脂肪移植用于伤口愈合已显示出前景,但这些移植存在细胞活力低和在伤口部位留存不佳的问题,导致慢性伤口愈合效果不理想。在此,我们报告了一种创新的闭环脂肪处理系统(MiniTC),它可以有效地将抽脂物加工成微脂肪簇,这些微脂肪簇由保存在其天然微环境中的高活力再生细胞群体(即脂肪基质细胞、内皮祖细胞)组成。对MiniTC分离出的微脂肪进行冷冻保存可保持细胞数量和活力。为了提高微脂肪在伤口部位的留存和植入,将微脂肪与甲基丙烯酸化胶原蛋白(CMA)生物墨水混合并进行3D打印,以生成载有微脂肪的胶原蛋白构建体。调节CMA构建体中微脂肪的浓度对打印精度或打印构建体的稳定性没有影响。alamar蓝测定法的结果表明,载有微脂肪的胶原蛋白构建体中的细胞在长达10天的时间内仍保持活力且代谢活跃。此外,使用酶联免疫吸附测定法对细胞培养基随时间进行的定量评估揭示了促炎和抗炎细胞因子的时间表达,这表明伤口愈合微环境在进展。总之,这些结果表明,载有微脂肪的胶原蛋白构建体的3D生物打印是一种有前景的方法,可生成有活力的微脂肪移植物,用于治疗无法愈合的慢性伤口。

https://cdn.ncbi.nlm.nih.gov/pmc/blobs/1a33/8353388/2c377be837ce/fbioe-09-707098-g005.jpg
https://cdn.ncbi.nlm.nih.gov/pmc/blobs/1a33/8353388/9a7cbf59325b/fbioe-09-707098-g001.jpg
https://cdn.ncbi.nlm.nih.gov/pmc/blobs/1a33/8353388/dbdc8702f1ed/fbioe-09-707098-g002.jpg
https://cdn.ncbi.nlm.nih.gov/pmc/blobs/1a33/8353388/aeee9fb5baa9/fbioe-09-707098-g003.jpg
https://cdn.ncbi.nlm.nih.gov/pmc/blobs/1a33/8353388/db0e92466f61/fbioe-09-707098-g004.jpg
https://cdn.ncbi.nlm.nih.gov/pmc/blobs/1a33/8353388/2c377be837ce/fbioe-09-707098-g005.jpg
https://cdn.ncbi.nlm.nih.gov/pmc/blobs/1a33/8353388/9a7cbf59325b/fbioe-09-707098-g001.jpg
https://cdn.ncbi.nlm.nih.gov/pmc/blobs/1a33/8353388/dbdc8702f1ed/fbioe-09-707098-g002.jpg
https://cdn.ncbi.nlm.nih.gov/pmc/blobs/1a33/8353388/aeee9fb5baa9/fbioe-09-707098-g003.jpg
https://cdn.ncbi.nlm.nih.gov/pmc/blobs/1a33/8353388/db0e92466f61/fbioe-09-707098-g004.jpg
https://cdn.ncbi.nlm.nih.gov/pmc/blobs/1a33/8353388/2c377be837ce/fbioe-09-707098-g005.jpg

相似文献

1
A Feasibility Study on 3D Bioprinting of Microfat Constructs Towards Wound Healing Applications.用于伤口愈合应用的微脂肪构建体的3D生物打印可行性研究。
Front Bioeng Biotechnol. 2021 Jul 27;9:707098. doi: 10.3389/fbioe.2021.707098. eCollection 2021.
2
Peptide Chitosan/Dextran Core/Shell Vascularized 3D Constructs for Wound Healing.肽壳聚糖/葡聚糖核/壳血管化 3D 构建物用于伤口愈合。
ACS Appl Mater Interfaces. 2020 Jul 22;12(29):32328-32339. doi: 10.1021/acsami.0c07212. Epub 2020 Jul 13.
3
Development of bioactive catechol functionalized nanoparticles applicable for 3D bioprinting.用于 3D 生物打印的生物活性儿茶酚功能化纳米粒子的开发。
Mater Sci Eng C Mater Biol Appl. 2021 Dec;131:112515. doi: 10.1016/j.msec.2021.112515. Epub 2021 Oct 29.
4
Application of 3D-Printed Bioinks in Chronic Wound Healing: A Scoping Review.3D打印生物墨水在慢性伤口愈合中的应用:一项范围综述
Polymers (Basel). 2024 Aug 29;16(17):2456. doi: 10.3390/polym16172456.
5
Strategy to Achieve Highly Porous/Biocompatible Macroscale Cell Blocks, Using a Collagen/Genipin-bioink and an Optimal 3D Printing Process.利用胶原/京尼平生物墨水和优化的 3D 打印工艺实现高多孔/生物相容性大体积细胞块的策略。
ACS Appl Mater Interfaces. 2016 Nov 30;8(47):32230-32240. doi: 10.1021/acsami.6b11669. Epub 2016 Nov 17.
6
A bioink blend for rotary 3D bioprinting tissue engineered small-diameter vascular constructs.一种用于旋转 3D 生物打印组织工程小直径血管构建体的生物墨水混合物。
Acta Biomater. 2019 Sep 1;95:152-164. doi: 10.1016/j.actbio.2019.06.052. Epub 2019 Jul 2.
7
Recent Developments in 3D-(Bio)printed Hydrogels as Wound Dressings.用于伤口敷料的3D(生物)打印水凝胶的最新进展
Gels. 2024 Feb 14;10(2):147. doi: 10.3390/gels10020147.
8
Embedded 3D Bioprinting of Gelatin Methacryloyl-Based Constructs with Highly Tunable Structural Fidelity.基于明胶甲基丙烯酰的嵌入式 3D 生物打印,具有高度可调的结构保真度。
ACS Appl Mater Interfaces. 2020 Oct 7;12(40):44563-44577. doi: 10.1021/acsami.0c15078. Epub 2020 Sep 23.
9
Tyrosinase-doped bioink for 3D bioprinting of living skin constructs.酪氨酸酶掺杂生物墨水用于三维生物打印活体皮肤构建体。
Biomed Mater. 2018 Mar 6;13(3):035008. doi: 10.1088/1748-605X/aaa5b6.
10
Protein Profiling of Mechanically Processed Lipoaspirates: Discovering Wound Healing and Antifibrotic Biomarkers in Nanofat.机械处理脂肪抽吸物的蛋白质组学分析:在纳米脂肪中发现伤口愈合和抗纤维化生物标志物。
Plast Reconstr Surg. 2022 Aug 1;150(2):341e-354e. doi: 10.1097/PRS.0000000000009345. Epub 2022 Jun 6.

引用本文的文献

1
3D Printing in Wound Healing: Innovations, Applications, and Future Directions.3D打印在伤口愈合中的应用:创新、应用及未来发展方向。
Cureus. 2024 Dec 8;16(12):e75331. doi: 10.7759/cureus.75331. eCollection 2024 Dec.
2
Clinically Relevant and Precisely Printable Live Adipose Tissue-Based Bio-Ink for Volumetric Soft Tissue Reconstruction.用于容积性软组织重建的具有临床相关性且可精确打印的基于活脂肪组织的生物墨水。
Adv Healthc Mater. 2025 Jan;14(1):e2402680. doi: 10.1002/adhm.202402680. Epub 2024 Oct 28.
3
Application of 3D-Printed Bioinks in Chronic Wound Healing: A Scoping Review.

本文引用的文献

1
Dual crosslinking strategy to generate mechanically viable cell-laden printable constructs using methacrylated collagen bioinks.使用甲基丙烯酰化胶原生物墨水生成具有机械可行性的细胞负载可打印构建体的双重交联策略。
Mater Sci Eng C Mater Biol Appl. 2020 Feb;107:110290. doi: 10.1016/j.msec.2019.110290. Epub 2019 Oct 9.
2
How medical engineering has changed our understanding of chronic wounds and future prospects.医学工程如何改变我们对慢性伤口的理解和未来展望。
Med Eng Phys. 2019 Oct;72:13-18. doi: 10.1016/j.medengphy.2019.08.010.
3
Photochemically crosslinked cell-laden methacrylated collagen hydrogels with high cell viability and functionality.
3D打印生物墨水在慢性伤口愈合中的应用:一项范围综述
Polymers (Basel). 2024 Aug 29;16(17):2456. doi: 10.3390/polym16172456.
4
Biofabrication's Contribution to the Evolution of Cultured Meat.生物制造对培养肉发展的贡献。
Adv Healthc Mater. 2024 May;13(13):e2304058. doi: 10.1002/adhm.202304058. Epub 2024 Feb 17.
5
Research progress and challenges of bioprinting in wound dressing and healing: Bibliometrics-based analysis and perspectives.生物打印在伤口敷料与愈合中的研究进展及挑战:基于文献计量学的分析与展望
Int J Bioprint. 2022 Dec 22;9(2):653. doi: 10.18063/ijb.v9i2.653. eCollection 2023.
6
Advances and Innovations of 3D Bioprinting Skin.三维生物打印皮肤的进展与创新。
Biomolecules. 2022 Dec 27;13(1):55. doi: 10.3390/biom13010055.
具有高细胞活力和功能的光化学交联细胞负载甲基丙烯酰化胶原水凝胶。
J Biomed Mater Res A. 2019 Jul;107(7):1541-1550. doi: 10.1002/jbm.a.36668. Epub 2019 Apr 7.
4
Immunology of Wound Healing.伤口愈合的免疫学
Curr Dermatol Rep. 2018;7(4):350-358. doi: 10.1007/s13671-018-0234-9. Epub 2018 Sep 28.
5
Augmentation of Dermal Wound Healing by Adipose Tissue-Derived Stromal Cells (ASC).脂肪组织来源的基质细胞(ASC)促进真皮伤口愈合
Bioengineering (Basel). 2018 Oct 26;5(4):91. doi: 10.3390/bioengineering5040091.
6
The Role of Macrophages in Acute and Chronic Wound Healing and Interventions to Promote Pro-wound Healing Phenotypes.巨噬细胞在急性和慢性伤口愈合中的作用以及促进伤口愈合表型的干预措施。
Front Physiol. 2018 May 1;9:419. doi: 10.3389/fphys.2018.00419. eCollection 2018.
7
Recent trends in bioinks for 3D printing.3D打印生物墨水的最新趋势。
Biomater Res. 2018 Apr 6;22:11. doi: 10.1186/s40824-018-0122-1. eCollection 2018.
8
A thermoreversible, photocrosslinkable collagen bio-ink for free-form fabrication of scaffolds for regenerative medicine.一种用于再生医学支架自由成型制造的热可逆、光可交联胶原蛋白生物墨水。
Technology (Singap World Sci). 2017 Dec;5(4):185-195. doi: 10.1142/S2339547817500091. Epub 2017 Oct 17.
9
Current Advancements and Strategies in Tissue Engineering for Wound Healing: A Comprehensive Review.伤口愈合组织工程的当前进展与策略:全面综述
Adv Wound Care (New Rochelle). 2017 Jun 1;6(6):191-209. doi: 10.1089/wound.2016.0723.
10
Recent Advances in Bioink Design for 3D Bioprinting of Tissues and Organs.用于组织和器官3D生物打印的生物墨水设计的最新进展
Front Bioeng Biotechnol. 2017 Apr 5;5:23. doi: 10.3389/fbioe.2017.00023. eCollection 2017.