Department of Chemistry and Institute for Coatings and Surface Chemistry, Niederrhein University of Applied Sciences, Adlerstrasse 1, 47798, Krefeld, Germany.
Spectrum Info Ltd., Murmanskaya 5, 02094, Kyiv, Ukraine.
Angew Chem Int Ed Engl. 2021 Dec 13;60(51):26855-26865. doi: 10.1002/anie.202108713. Epub 2021 Oct 19.
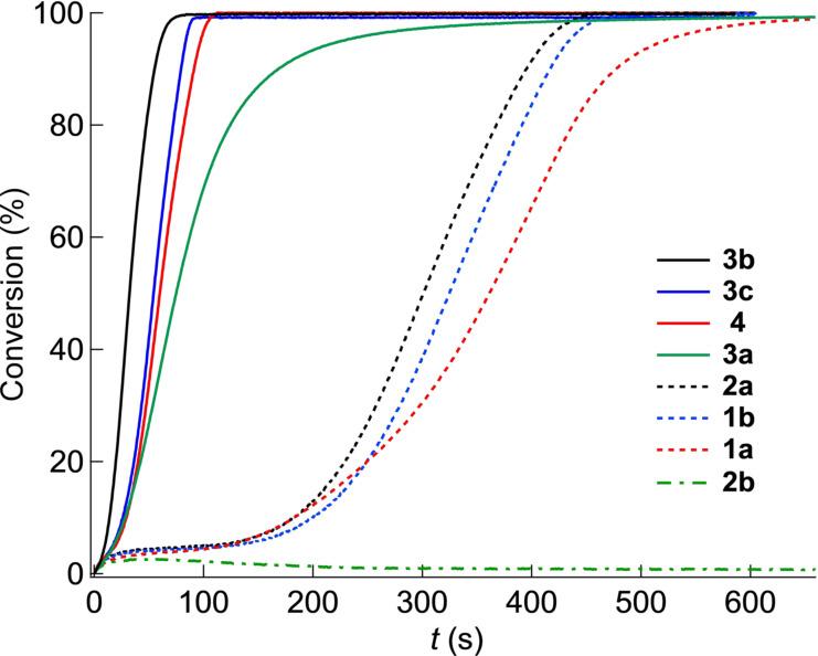
Different cyanines absorbing in the NIR between 750 and 930 nm were applied to study the efficiency of both radical and cationic polymerization in combination with diaryliodonium salt. Variation of the connecting methine chain and structure of the terminal indolium moiety provided a deeper insight in the structure of the cyanine NIR-sensitizer and the efficiency to generate initiating radicals and conjugate acid. Photophysical studies were pursued by fluorescence spectroscopy providing a deeper understanding regarding the lifetime of the excited state and contribution of nonradiative deactivation resulting in generation of additional heat in the polymerization process. Furthermore, electrochemical experiments demonstrated connection to oxidation and reduction capability as influenced by the structural pattern of the sensitizer. LC-MS measurements provided a deeper pattern about the photoproducts formed. A nonamethine-based cyanine showed the best performance regarding bleaching in combination with an iodonium salt at 860 nm.
不同的近红外吸收菁染料(在 750nm 到 930nm 之间)与二芳基碘鎓盐结合,被应用于研究自由基聚合和阳离子聚合的效率。连接甲撑链和末端吲哚翁部分的结构变化,为菁近红外敏化剂的结构和生成引发自由基和共轭酸的效率提供了更深入的见解。荧光光谱的光物理研究提供了对激发态寿命的更深入理解,并解释了非辐射失活导致聚合过程中产生额外热量的贡献。此外,电化学实验表明,敏化剂的结构模式会影响氧化还原能力。LC-MS 测量提供了关于形成的光产物的更深入的模式。一种非九甲川基菁染料在 860nm 处与碘鎓盐结合时显示出最佳的漂白性能。