Kwon Yong-Rok, Kim Jung-Soo, Kim Dong-Hyun
Material & Component Convergence R&D Department, Korea Institute of Industrial Technology (KITECH), Ansansi 15588, Korea.
Department of Material Chemical Engineering, Hanyang University, Ansansi 15588, Korea.
Polymers (Basel). 2021 Aug 19;13(16):2782. doi: 10.3390/polym13162782.
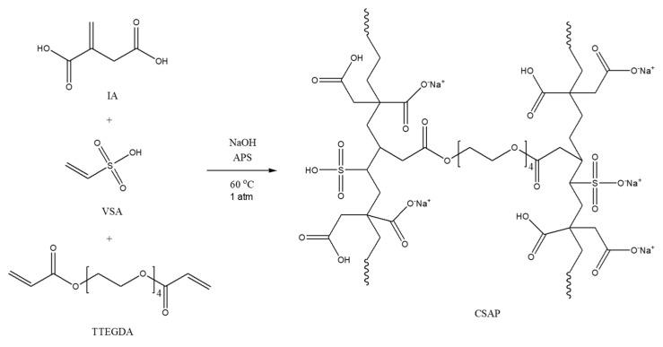
A superabsorbent polymer (SAP) was synthesized by copolymerizing itaconic acid and vinyl sulfonic acid. The typically low absorbency of itaconic acid-based SAPs under mechanical loads was improved by introducing surface crosslinking. Fourier-transform infrared spectroscopy and X-ray photoelectron spectroscopy were used to characterize the synthesis and surface-crosslinking reactions in the SAP. Various conditions for surface-crosslinking reactions, such as the surface-crosslinking solution, content of surface-crosslinking agent, and reaction temperature, were explored and correlated with the gel strength and absorption characteristics of the resulting SAP particles. The distilled water content in the surface-crosslinking solution strongly influenced the absorption capacity of the SAP, but this sensitivity decreased when acetone was used as a co-solvent. Itaconic acid-based SAP that was crosslinked under optimal conditions exhibited centrifuge retention capacity and absorbency under a load of 31.1 and 20.2, respectively.
通过衣康酸和乙烯基磺酸共聚合成了一种高吸水性聚合物(SAP)。通过引入表面交联改善了基于衣康酸的SAP在机械负载下通常较低的吸液率。采用傅里叶变换红外光谱和X射线光电子能谱对SAP中的合成及表面交联反应进行表征。探索了表面交联反应的各种条件,如表面交联溶液、表面交联剂含量和反应温度,并将其与所得SAP颗粒的凝胶强度和吸收特性相关联。表面交联溶液中的蒸馏水含量对SAP的吸收能力有很大影响,但当使用丙酮作为共溶剂时,这种敏感性会降低。在最佳条件下交联的基于衣康酸的SAP在负载下的离心保留容量和吸液率分别为31.1和20.2。