Czichy Malgorzata, Colombo Alessia, Wagner Pawel, Janasik Patryk, Dragonetti Claudia, Raja Rathinam, Officer David L, Wang Leeyih
Faculty of Chemistry, Silesian University of Technology, Strzody 9, 44-100 Gliwice, Poland.
Department of Chemistry, University of Milan, UdR dell'INSTM, Via Golgi 19, 20133 Milan, Italy.
Polymers (Basel). 2021 Aug 22;13(16):2816. doi: 10.3390/polym13162816.
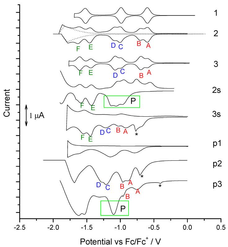
A study was carried out on the possibility of orderly and spontaneous dimerization at room temperature of C cages in fullerene liquid crystal fullerene dyads (R-C). For this purpose, dyads with a structural elements feature supporting π-stacking and Van der Waals interactions were tested, due to the presence of terthiophene donors linked through an α-position or dodecyloxy chains. In addition, this possibility was also tested and compared to dyads with shorter substituents and the pristine C. Research has shown that only in dyads with the features of liquid crystals, π-dimerization of C units occurs, which was verified by electrochemical and spectroelectrochemical (ESR) measurements. Cyclic voltammetry and differential voltammetry studies reveal π-dimerization in liquid crystal dyad solution even without the possibility of previous polymerization (cathodic or anodic) under conditions in the absence of irradiation and without the availability of reaction initiators, and even with the use of preliminary homogenization. These dyads undergo six sequential, one-electron reductions of π-dimer (R-C···C-R), where two electrons are added successively to each of the two fullerene cages and first form two radical anion system (R-C)(R-C) without pairing with the characteristics of two doublets. Similarly, the second reductions of π-dimer occur at potentials that are close to the reduction potential for the conversion to a system of two triplet dianions (R-C)(R-C). Electron paramagnetic resonance spectra indicate a significant interaction between C cages. Interestingly, the strength of intermolecular bonds is so significant that it can overcome Coulombic repulsion, even with such highly charged particles as dianions and trianions. Such behavior has been revealed and studied so far only in covalently bonded C dimers.
对富勒烯液晶富勒烯二元体系(R-C)中C笼在室温下有序自发二聚的可能性进行了研究。为此,测试了具有支持π堆积和范德华相互作用结构元素特征的二元体系,这是由于存在通过α位连接的三联噻吩供体或十二烷氧基链。此外,还对具有较短取代基的二元体系和原始C进行了这种可能性的测试和比较。研究表明,只有在具有液晶特征的二元体系中,才会发生C单元的π二聚,这通过电化学和光谱电化学(ESR)测量得到了验证。循环伏安法和差分伏安法研究表明,即使在没有辐射且没有反应引发剂的条件下,甚至在使用初步均化的情况下且没有先前聚合(阴极或阳极)的可能性,液晶二元体系溶液中也会发生π二聚。这些二元体系经历π二聚体(R-C···C-R)的六次连续单电子还原,其中两个电子依次添加到两个富勒烯笼中的每一个上,首先形成两个没有两个双重态特征配对的自由基阴离子体系(R-C)(R-C)。类似地,π二聚体的第二次还原发生在接近转化为两个三重态二价阴离子体系(R-C)(R-C)的还原电位处。电子顺磁共振光谱表明C笼之间存在显著相互作用。有趣的是,分子间键的强度非常显著,以至于即使对于像二价阴离子和三价阴离子这样带高电荷的粒子,它也能克服库仑排斥。到目前为止,这种行为仅在共价键合的C二聚体中被揭示和研究过。