• 文献检索
  • 文档翻译
  • 深度研究
  • 学术资讯
  • Suppr Zotero 插件Zotero 插件
  • 邀请有礼
  • 套餐&价格
  • 历史记录
应用&插件
Suppr Zotero 插件Zotero 插件浏览器插件Mac 客户端Windows 客户端微信小程序
定价
高级版会员购买积分包购买API积分包
服务
文献检索文档翻译深度研究API 文档MCP 服务
关于我们
关于 Suppr公司介绍联系我们用户协议隐私条款
关注我们

Suppr 超能文献

核心技术专利:CN118964589B侵权必究
粤ICP备2023148730 号-1Suppr @ 2026

文献检索

告别复杂PubMed语法,用中文像聊天一样搜索,搜遍4000万医学文献。AI智能推荐,让科研检索更轻松。

立即免费搜索

文件翻译

保留排版,准确专业,支持PDF/Word/PPT等文件格式,支持 12+语言互译。

免费翻译文档

深度研究

AI帮你快速写综述,25分钟生成高质量综述,智能提取关键信息,辅助科研写作。

立即免费体验

寄主植物中的活性氧是对伯克氏菌坏死营养型效应子SnTox攻击的早期防御反应所必需的。

Reactive Oxygen Species in Host Plant Are Required for an Early Defense Response against Attack of Berk. Necrotrophic Effectors SnTox.

作者信息

Veselova Svetlana, Nuzhnaya Tatyana, Burkhanova Guzel, Rumyantsev Sergey, Maksimov Igor

机构信息

Institute of Biochemistry and Genetics, Ufa Federal Research Centre, Russian Academy of Sciences, Prospekt Oktyabrya, 71, 450054 Ufa, Russia.

Ufa Institute of Biology, Ufa Federal Research Centre, Russian Academy of Sciences, Prospekt Oktyabrya, 69, 450054 Ufa, Russia.

出版信息

Plants (Basel). 2021 Jul 31;10(8):1586. doi: 10.3390/plants10081586.

DOI:10.3390/plants10081586
PMID:34451631
原文链接:https://pmc.ncbi.nlm.nih.gov/articles/PMC8398409/
Abstract

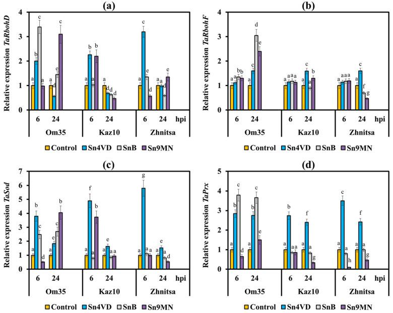
Reactive oxygen species (ROS) play a central role in plant immune responses. The most important virulence factors of the Berk. are multiple fungal necrotrophic effectors (NEs) (SnTox) that affect the redox-status and cause necrosis and/or chlorosis in wheat lines possessing dominant susceptibility genes (). However, the effect of NEs on ROS generation at the early stages of infection has not been studied. We studied the early stage of infection of various wheat genotypes with isolates -Sn4VD, SnB, and Sn9MN, carrying a different set of NE genes. Our results indicate that all three NEs of SnToxA, SnTox1, SnTox3 significantly contributed to cause disease, and the virulence of the isolates depended on their differential expression in plants ( L.). The -SnToxA, -SnTox1and -SnTox3 interactions played an important role in inhibition ROS production at the initial stage of infection. The -SnTox3 inhibited ROS production in wheat by affecting NADPH-oxidases, peroxidases, superoxide dismutase and catalase. The -SnToxA inhibited ROS production in wheat by affecting peroxidases and catalase. The -SnTox1 inhibited the production of ROS in wheat by mainly affecting a peroxidase. Collectively, these results show that the inverse gene-for gene interactions between effector of pathogen and product of host sensitivity gene suppress the host's own PAMP-triggered immunity pathway, resulting in NE-triggered susceptibility (NETS). These results are fundamentally changing our understanding of the development of this economical important wheat disease.

摘要

活性氧(ROS)在植物免疫反应中起核心作用。Berk.最重要的致病因子是多种真菌坏死营养效应子(NEs)(SnTox),它们会影响氧化还原状态,并在具有显性感病基因的小麦品系中引起坏死和/或黄化。然而,NEs在感染早期对ROS产生的影响尚未得到研究。我们研究了携带不同NE基因集的分离株 -Sn4VD、SnB和Sn9MN对各种小麦基因型的早期感染情况。我们的结果表明,SnToxA、SnTox1、SnTox3的所有三种NEs都对致病有显著作用,分离株的毒力取决于它们在植物(L.)中的差异表达。-SnToxA、-SnTox1和 -SnTox3相互作用在感染初期抑制ROS产生中起重要作用。-SnTox3通过影响NADPH氧化酶、过氧化物酶、超氧化物歧化酶和过氧化氢酶来抑制小麦中的ROS产生。-SnToxA通过影响过氧化物酶和过氧化氢酶来抑制小麦中的ROS产生。-SnTox1主要通过影响一种过氧化物酶来抑制小麦中ROS的产生。总体而言,这些结果表明病原体效应子与宿主敏感性基因产物之间的反向基因对基因相互作用抑制了宿主自身的PAMP触发的免疫途径,导致NE触发的易感性(NETS)。这些结果正在从根本上改变我们对这种经济上重要的小麦病害发展的理解。

https://cdn.ncbi.nlm.nih.gov/pmc/blobs/4e79/8398409/a2e48071a25e/plants-10-01586-g006.jpg
https://cdn.ncbi.nlm.nih.gov/pmc/blobs/4e79/8398409/5337ff5eaae7/plants-10-01586-g001.jpg
https://cdn.ncbi.nlm.nih.gov/pmc/blobs/4e79/8398409/d4d4b8adc2fb/plants-10-01586-g002.jpg
https://cdn.ncbi.nlm.nih.gov/pmc/blobs/4e79/8398409/c596f8b67b55/plants-10-01586-g003.jpg
https://cdn.ncbi.nlm.nih.gov/pmc/blobs/4e79/8398409/bd81448983a4/plants-10-01586-g004.jpg
https://cdn.ncbi.nlm.nih.gov/pmc/blobs/4e79/8398409/f9552d4698a2/plants-10-01586-g005.jpg
https://cdn.ncbi.nlm.nih.gov/pmc/blobs/4e79/8398409/a2e48071a25e/plants-10-01586-g006.jpg
https://cdn.ncbi.nlm.nih.gov/pmc/blobs/4e79/8398409/5337ff5eaae7/plants-10-01586-g001.jpg
https://cdn.ncbi.nlm.nih.gov/pmc/blobs/4e79/8398409/d4d4b8adc2fb/plants-10-01586-g002.jpg
https://cdn.ncbi.nlm.nih.gov/pmc/blobs/4e79/8398409/c596f8b67b55/plants-10-01586-g003.jpg
https://cdn.ncbi.nlm.nih.gov/pmc/blobs/4e79/8398409/bd81448983a4/plants-10-01586-g004.jpg
https://cdn.ncbi.nlm.nih.gov/pmc/blobs/4e79/8398409/f9552d4698a2/plants-10-01586-g005.jpg
https://cdn.ncbi.nlm.nih.gov/pmc/blobs/4e79/8398409/a2e48071a25e/plants-10-01586-g006.jpg

相似文献

1
Reactive Oxygen Species in Host Plant Are Required for an Early Defense Response against Attack of Berk. Necrotrophic Effectors SnTox.寄主植物中的活性氧是对伯克氏菌坏死营养型效应子SnTox攻击的早期防御反应所必需的。
Plants (Basel). 2021 Jul 31;10(8):1586. doi: 10.3390/plants10081586.
2
Genetics of Variable Disease Expression Conferred by Inverse Gene-For-Gene Interactions in the Wheat- Pathosystem.小麦-病原菌互作系统中反向基因-产物互作导致的疾病表型变异的遗传学基础
Plant Physiol. 2019 May;180(1):420-434. doi: 10.1104/pp.19.00149. Epub 2019 Mar 11.
3
Virulence Factors of the Fungal Pathogen Manipulate Hormonal Signaling Pathways in L. by Regulating Host Plant MicroRNA Expressions.真菌病原体的毒力因子通过调控宿主植物 miRNA 表达来操纵植物激素信号通路。
Front Biosci (Elite Ed). 2023 Oct 16;15(4):22. doi: 10.31083/j.fbe1504022.
4
Differential effector gene expression underpins epistasis in a plant fungal disease.差异效应基因表达是植物真菌病害上位性的基础。
Plant J. 2016 Aug;87(4):343-54. doi: 10.1111/tpj.13203. Epub 2016 Jul 7.
5
Genetic analysis of disease susceptibility contributed by the compatible Tsn1-SnToxA and Snn1-SnTox1 interactions in the wheat-Stagonospora nodorum pathosystem.在小麦-条锈菌互作体系中,相容的 Tsn1-SnToxA 和 Snn1-SnTox1 互作引起的疾病易感性的遗传分析。
Theor Appl Genet. 2010 May;120(7):1451-9. doi: 10.1007/s00122-010-1267-z. Epub 2010 Jan 19.
6
Genes Conferring Sensitivity to Stagonospora nodorum Necrotrophic Effectors in Stagonospora Nodorum Blotch-Susceptible U.S. Wheat Cultivars.美国小麦品种中赋予对小麦壳针孢坏死营养型效应子敏感性的基因,这些品种对小麦壳针孢叶枯病易感
Plant Dis. 2014 Jun;98(6):746-753. doi: 10.1094/PDIS-08-13-0820-RE.
7
Novel necrotrophic effectors from Stagonospora nodorum and corresponding host sensitivities in winter wheat germplasm in the southeastern United States.来自旋状核腔菌的新型坏死效应因子及其在美国东南部冬小麦种质资源中的对应宿主敏感性。
Phytopathology. 2012 May;102(5):498-505. doi: 10.1094/PHYTO-08-11-0238.
8
Biology and molecular interactions of Parastagonospora nodorum blotch of wheat.小麦颖枯病病原菌的生物学和分子互作。
Planta. 2021 Dec 16;255(1):21. doi: 10.1007/s00425-021-03796-w.
9
Characterization of the interaction of a novel Stagonospora nodorum host-selective toxin with a wheat susceptibility gene.一种新型小麦颖枯病菌寄主选择性毒素与小麦感病基因相互作用的特性分析
Plant Physiol. 2008 Feb;146(2):682-93. doi: 10.1104/pp.107.108761. Epub 2007 Dec 7.
10
Identification and Characterization of the SnTox6-Snn6 Interaction in the Parastagonospora nodorum-Wheat Pathosystem.小麦根腐平脐蠕孢-小麦病理系统中SnTox6-Snn6相互作用的鉴定与表征
Mol Plant Microbe Interact. 2015 May;28(5):615-25. doi: 10.1094/MPMI-12-14-0396-R.

引用本文的文献

1
Abscisic Acid Can Play a Dual Role in the - Pathosystem.脱落酸在病原系统中可发挥双重作用。
Plants (Basel). 2025 Jan 24;14(3):355. doi: 10.3390/plants14030355.
2
The Role of Cytokinins and Abscisic Acid in the Growth, Development and Virulence of the Pathogenic Fungus (Berk.).细胞分裂素和脱落酸在病原菌真菌生长、发育和毒力中的作用 (Berk.)。
Biomolecules. 2024 Apr 25;14(5):517. doi: 10.3390/biom14050517.
3
Genetic Diversity for Effective Resistance in Wheat Landraces from Ethiopia and Eritrea to Fungal Diseases and Toxic Aluminum Ions.

本文引用的文献

1
A triple threat: the Parastagonospora nodorum SnTox267 effector exploits three distinct host genetic factors to cause disease in wheat.三重威胁:禾旋孢腔菌 SnTox267 效应物利用三种不同的宿主遗传因子在小麦中引发疾病。
New Phytol. 2022 Jan;233(1):427-442. doi: 10.1111/nph.17601. Epub 2021 Aug 3.
2
GWAS analysis reveals distinct pathogenicity profiles of Australian Parastagonospora nodorum isolates and identification of marker-trait-associations to septoria nodorum blotch.GWAS 分析揭示了澳大利亚柄锈菌分离株的不同致病性特征,并鉴定了与叶锈病条斑相关的标记-性状关联。
Sci Rep. 2021 May 12;11(1):10085. doi: 10.1038/s41598-021-87829-0.
3
埃塞俄比亚和厄立特里亚小麦地方品种对真菌病害和有毒铝离子有效抗性的遗传多样性
Plants (Basel). 2024 Apr 22;13(8):1166. doi: 10.3390/plants13081166.
4
Action Mechanisms of Effectors in Plant-Pathogen Interaction.效应物在植物-病原体互作中的作用机制。
Int J Mol Sci. 2022 Jun 17;23(12):6758. doi: 10.3390/ijms23126758.
Early signalling events in the apoplastic oxidative burst in suspension cultured French bean cells involve cAMP and Ca.
悬浮培养的菜豆细胞质外体氧化爆发中的早期信号事件涉及环磷酸腺苷(cAMP)和钙。
New Phytol. 2001 Jul;151(1):185-194. doi: 10.1046/j.1469-8137.2001.00170.x.
4
Ethylene-Cytokinin Interaction Determines Early Defense Response of Wheat against Berk.乙烯-细胞分裂素互作对小麦早期防御伯克氏菌的影响
Biomolecules. 2021 Jan 28;11(2):174. doi: 10.3390/biom11020174.
5
The Wheat Snn7 Gene Confers Susceptibility on Recognition of the Parastagonospora nodorum Necrotrophic Effector SnTox7.小麦Snn7基因赋予对小麦壳针孢坏死营养型效应子SnTox7识别的易感性。
Plant Genome. 2015 Jul;8(2):eplantgenome2015.02.0007. doi: 10.3835/plantgenome2015.02.0007.
6
Genetics of Variable Disease Expression Conferred by Inverse Gene-For-Gene Interactions in the Wheat- Pathosystem.小麦-病原菌互作系统中反向基因-产物互作导致的疾病表型变异的遗传学基础
Plant Physiol. 2019 May;180(1):420-434. doi: 10.1104/pp.19.00149. Epub 2019 Mar 11.
7
Genes Conferring Sensitivity to Stagonospora nodorum Necrotrophic Effectors in Stagonospora Nodorum Blotch-Susceptible U.S. Wheat Cultivars.美国小麦品种中赋予对小麦壳针孢坏死营养型效应子敏感性的基因,这些品种对小麦壳针孢叶枯病易感
Plant Dis. 2014 Jun;98(6):746-753. doi: 10.1094/PDIS-08-13-0820-RE.
8
Convergent Evolution of Pathogen Effectors toward Reactive Oxygen Species Signaling Networks in Plants.病原体效应蛋白向植物活性氧信号网络的趋同进化
Front Plant Sci. 2017 Sep 29;8:1687. doi: 10.3389/fpls.2017.01687. eCollection 2017.
9
Extra-Cellular But Extra-Ordinarily Important for Cells: Apoplastic Reactive Oxygen Species Metabolism.细胞外但对细胞极为重要:质外体活性氧代谢
Front Plant Sci. 2017 Aug 22;8:1353. doi: 10.3389/fpls.2017.01353. eCollection 2017.
10
Apoplastic ROS signaling in plant immunity.植物免疫中的质外体活性氧信号传导
Curr Opin Plant Biol. 2017 Aug;38:92-100. doi: 10.1016/j.pbi.2017.04.022. Epub 2017 May 13.