Department of Gastroenterology and Hepatology, Erasmus Medical Center, Rotterdam, the Netherlands.
Department of Internal Medicine, Erasmus Medical Center, Rotterdam, the Netherlands.
Aliment Pharmacol Ther. 2021 Oct;54(8):999-1012. doi: 10.1111/apt.16580. Epub 2021 Aug 28.
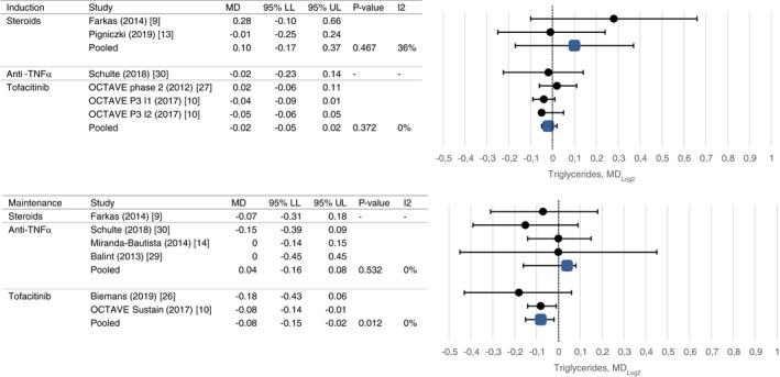
Increase in lipid levels associated with the treatment of inflammatory bowel disease (IBD) has previously been reported. However, it is unknown if this effect is similar for all IBD drug classes.
To precisely assess the effect of different IBD drug classes on lipid profiles METHODS: We performed a systematic literature search of randomised controlled trials and observational cohort studies that assessed lipid levels before and after induction (≤10 weeks) and maintenance (>10 weeks) of IBD treatment. Data of 11 studies (1663 patients) were pooled using random effects models. The influence of patient and disease characteristics on treatment effects on total cholesterol levels was analysed in 6 studies (1211 patients) for which individual data were available, using linear mixed models.
A statistically significant increase in total cholesterol was observed after induction treatment with corticosteroids (+1.19 mmol/L, 95% confidence interval [CI ] +0.52 to +2.59), and tofacitinib (+0.66 mmol/L, CI +0.42 to +0.79), but not after anti-TNFα treatment (-0.11 mmol/L, CI -0.26 to +0.36 mmol/L). Similar differences were observed after maintenance treatment. Treatment effects were significantly related to age, but not with other factors. Lipid changes were inversely correlated with but not modified by CRP changes.
Increase in total cholesterol levels was strongest for corticosteroids followed by tofacitinib but was not observed for anti-TNFα agents. Whether total cholesterol change associated with IBD treatment has an effect on cardiovascular risk requires further study.
先前已有报道称,治疗炎症性肠病(IBD)会导致血脂水平升高。然而,目前尚不清楚这种作用是否适用于所有 IBD 药物类别。
准确评估不同 IBD 药物类别对血脂谱的影响。
我们对评估 IBD 治疗诱导期(≤10 周)和维持期(>10 周)前后血脂水平的随机对照试验和观察性队列研究进行了系统文献检索。使用随机效应模型对 11 项研究(1663 例患者)的数据进行了汇总。对于具有个体数据的 6 项研究(1211 例患者),使用线性混合模型分析了患者和疾病特征对治疗对总胆固醇水平影响的影响。
我们观察到,在接受皮质类固醇(+1.19mmol/L,95%置信区间 [CI] +0.52 至 +2.59)和托法替尼(+0.66mmol/L,CI +0.42 至 +0.79)诱导治疗后,总胆固醇水平会出现统计学显著升高,但在接受抗 TNFα 治疗后则不会(-0.11mmol/L,CI -0.26 至 +0.36mmol/L)。在维持治疗后也观察到类似的差异。治疗效果与年龄显著相关,但与其他因素无关。血脂变化与 CRP 变化呈负相关,但不受其影响。
皮质类固醇诱导的总胆固醇水平升高最为显著,其次是托法替尼,但抗 TNFα 药物则没有观察到这种作用。IBD 治疗相关的总胆固醇变化是否会对心血管风险产生影响,还需要进一步研究。