Suppr超能文献

正常受试者的视乳头周围毛细血管径向密度分布及其与视网膜神经纤维层厚度的相关性。

Distributions of Radial Peripapillary Capillary Density and Correlations with Retinal Nerve Fiber Layer Thickness in Normal Subjects.

机构信息

Department of Ophthalmology, Shanghai Tenth People's Hospital Affiliated with Tongji University, Shanghai, China (mainland).

出版信息

Med Sci Monit. 2021 Aug 19;27:e933601. doi: 10.12659/MSM.933601.

Abstract

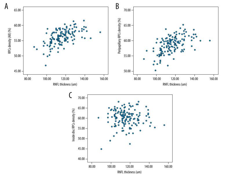
BACKGROUND The aim of this study was to investigate distribution rules of radial peripapillary capillaries (RPCs) density and correlations with retinal nerve fiber layers (RNFL) thickness in normal subjects. MATERIAL AND METHODS We included 78 eyes of 78 healthy subjects examined by optical coherence tomography angiography (OCTA). RPCs density and RNFL thickness were measured automatically. Distributions of RPCs density and RNFL thickness were analyzed at different locations. Correlations of these 2 parameters and relationship with large vessels were evaluated by Spearman test. RESULTS Average density for overall, peripapillary, and inside disc RCPs was 56.12±2.51%, 58.56±2.84%, and 60.16±4.01%, respectively. Overall and peripapillary RCPs density were positively correlated with RNFL thickness (r=0.595, P.

摘要

背景

本研究旨在探讨正常人群视盘周围毛细血管(RPC)密度的分布规律及其与视网膜神经纤维层(RNFL)厚度的相关性。

材料与方法

本研究纳入了 78 例(78 只眼)接受光学相干断层扫描血管造影(OCTA)检查的健康受试者。自动测量 RPC 密度和 RNFL 厚度。分析不同部位 RPC 密度和 RNFL 厚度的分布。采用 Spearman 检验评估这两个参数之间的相关性及其与大血管的关系。

结果

总的、视盘周围和盘内 RPC 平均密度分别为 56.12±2.51%、58.56±2.84%和 60.16±4.01%。总的和视盘周围 RPC 密度与 RNFL 厚度呈正相关(r=0.595,P.

https://cdn.ncbi.nlm.nih.gov/pmc/blobs/657b/8383818/58fce1293ee7/medscimonit-27-e933601-g001.jpg

文献检索

告别复杂PubMed语法,用中文像聊天一样搜索,搜遍4000万医学文献。AI智能推荐,让科研检索更轻松。

立即免费搜索

文件翻译

保留排版,准确专业,支持PDF/Word/PPT等文件格式,支持 12+语言互译。

免费翻译文档

深度研究

AI帮你快速写综述,25分钟生成高质量综述,智能提取关键信息,辅助科研写作。

立即免费体验