Suppr超能文献

用于生物医学应用的羟基磷灰石纳米颗粒增强海藻酸钠水凝胶的表征

Characterization of Sodium Alginate Hydrogels Reinforced with Nanoparticles of Hydroxyapatite for Biomedical Applications.

作者信息

Sánchez-Fernández José Antonio, Presbítero-Espinosa Gerardo, Peña-Parás Laura, Pizaña Edgar Iván Rodríguez, Galván Katya Patricia Villarreal, Vopálenský Michal, Kumpová Ivana, Elizalde-Herrera Luis Ernesto

机构信息

Procesos de Polimerización, Centro de Investigación en Química Aplicada, Blvd. Enrique Reyna No. 140, Saltillo 25294, Mexico.

Centro de Ingeniería y Desarrollo Industrial (CIDESI), Sede Nuevo León 66629, Mexico.

出版信息

Polymers (Basel). 2021 Aug 30;13(17):2927. doi: 10.3390/polym13172927.

Abstract

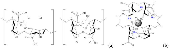
In recent years, researchers working in biomedical science and technology have investigated alternatives for enhancing the mechanical properties of biomedical materials. In this work, sodium alginate (SA) hydrogel-reinforced nanoparticles (NPs) of hydroxyapatite (HA) were prepared to enhance the mechanical properties of this polymer. Compression tests showed an increase of 354.54% in ultimate compressive strength (UCS), and 154.36% in Young's modulus with the addition of these NPs compared with pure SA. Thermogravimetric analysis (TGA) revealed that the amount of residual water is not negligible and covered a range from 20 to 35 wt%, and the decomposition degree of the alginate depends on the hydroxyapatite content, possibly due to the displacement of sodium ions by the hydroxyapatite and not by calcium chloride. Further, there is an important effect possibly due to the existence of an interaction of hydrogen bonds between the hydroxyl of the alginate and the oxygen atoms of the hydroxyapatite, so signals appear upfield in nuclear magnetic resonance (NMR) data. An increase in the accumulation of HA particles was observed with the use of X-ray microtomography, in which the quantified volume of particles per reconstructed volume corresponded accordingly to the increase in the mechanical properties of the hydrogel.

摘要

近年来,从事生物医学科学与技术研究的人员一直在探索增强生物医学材料机械性能的替代方法。在这项工作中,制备了海藻酸钠(SA)水凝胶增强的羟基磷灰石(HA)纳米颗粒(NPs),以提高这种聚合物的机械性能。压缩试验表明,与纯SA相比,添加这些NPs后,极限抗压强度(UCS)提高了354.54%,杨氏模量提高了154.36%。热重分析(TGA)显示,残留水量不可忽略,范围为20%至35%(重量),藻酸盐的分解程度取决于羟基磷灰石的含量,这可能是由于羟基磷灰石取代了钠离子,而不是氯化钙。此外,可能由于藻酸盐的羟基与羟基磷灰石的氧原子之间存在氢键相互作用,产生了重要影响,因此在核磁共振(NMR)数据中信号出现在高场。使用X射线显微断层扫描观察到HA颗粒的积累增加,其中每个重建体积中颗粒的量化体积相应地与水凝胶机械性能的增加一致。

https://cdn.ncbi.nlm.nih.gov/pmc/blobs/7666/8434489/2a5b44c0de69/polymers-13-02927-g001.jpg

文献AI研究员

20分钟写一篇综述,助力文献阅读效率提升50倍。

立即体验

用中文搜PubMed

大模型驱动的PubMed中文搜索引擎

马上搜索

文档翻译

学术文献翻译模型,支持多种主流文档格式。

立即体验