Suppr超能文献

评价 PAL 在小麦(L.)个体发育早期木质素积累中的作用。

Assessment of the Role of PAL in Lignin Accumulation in Wheat ( L.) at the Early Stage of Ontogenesis.

机构信息

Institute of Living Systems, Immanuel Kant Baltic Federal University, 236040 Kaliningrad, Russia.

出版信息

Int J Mol Sci. 2021 Sep 12;22(18):9848. doi: 10.3390/ijms22189848.

Abstract

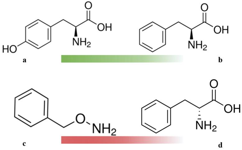
The current study evaluates the role of phenylalanine ammonia-lyase (PAL) and the associated metabolic complex in the accumulation of lignin in common wheat plants ( L.) at the early stages of ontogenesis. The data analysis was performed using plant samples that had reached Phases 4 and 5 on the Feekes scale-these phases are characterized by a transition to the formation of axial (stem) structures in cereal plants. We have shown that the substrate stimulation of PAL with key substrates, such as L-phenylalanine and L-tyrosine, leads to a significant increase in lignin by an average of 20% in experimental plants compared to control plants. In addition, the presence of these compounds in the nutrient medium led to an increase in the number of gene transcripts associated with lignin synthesis (, , , ). Inhibition was the main tool of the study. Potential competitive inhibitors of PAL were used: the optical isomer of L-phenylalanine-D-phenylalanine-and the hydroxylamine equivalent of phenylalanine-O-Benzylhydroxylamine. As a result, plants incubated on a medium supplemented with O-Benzylhydroxylamine were characterized by reduced PAL activity (almost one third). The lignin content of the cell wall in plants treated with O-Benzylhydroxylamine was almost halved. In contrast, D-phenylalanine did not lead to significant changes in the lignin-associated metabolic complex, and its effect was similar to that of specific substrates.

摘要

本研究评估了苯丙氨酸解氨酶(PAL)及其相关代谢复合物在普通小麦(L.)个体发育早期木质素积累中的作用。数据分析使用了达到 Feekes 量表第 4 阶段和第 5 阶段的植物样本——这些阶段的特征是向谷类植物轴向(茎)结构的形成转变。我们已经表明,PAL 的底物刺激,如关键底物 L-苯丙氨酸和 L-酪氨酸,导致实验植物中的木质素平均增加 20%,与对照植物相比。此外,这些化合物在营养培养基中的存在导致与木质素合成相关的基因转录本数量增加(,,,)。抑制是本研究的主要工具。使用了 PAL 的潜在竞争性抑制剂:L-苯丙氨酸的光学异构体-D-苯丙氨酸和苯丙氨酸的羟胺当量-O-苄基羟胺。结果表明,在添加 O-苄基羟胺的培养基中孵育的植物表现出 PAL 活性降低(几乎三分之一)。用 O-苄基羟胺处理的植物细胞壁中的木质素含量几乎减半。相比之下,D-苯丙氨酸不会导致与木质素相关的代谢复合物发生显著变化,其作用与特定底物相似。

https://cdn.ncbi.nlm.nih.gov/pmc/blobs/f187/8470810/375ebf4de7fb/ijms-22-09848-g001a.jpg

文献检索

告别复杂PubMed语法,用中文像聊天一样搜索,搜遍4000万医学文献。AI智能推荐,让科研检索更轻松。

立即免费搜索

文件翻译

保留排版,准确专业,支持PDF/Word/PPT等文件格式,支持 12+语言互译。

免费翻译文档

深度研究

AI帮你快速写综述,25分钟生成高质量综述,智能提取关键信息,辅助科研写作。

立即免费体验