Suppr超能文献

寄生虫糖蛋白糖部分的合成及其对人血清的抗原性。

Synthesis of the Carbohydrate Moiety of Glycoproteins from the Parasite and Their Antigenicity against Human Sera.

机构信息

Faculty of Pharmaceutical Sciences, Tokyo University of Science, Chiba 278-8510, Japan.

Faculty of Pharmacy, Keio University, Tokyo 105-8512, Japan.

出版信息

Molecules. 2021 Sep 17;26(18):5652. doi: 10.3390/molecules26185652.

Abstract

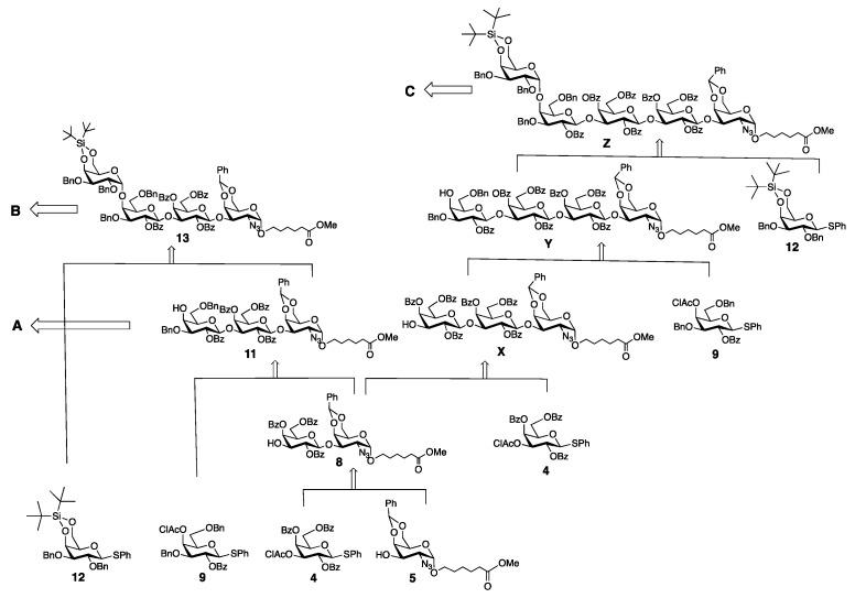
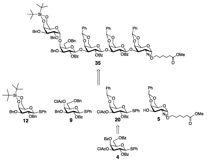
Stereocontrolled syntheses of biotin-labeled oligosaccharide portions containing the carbohydrate moiety of glycoprotein from have been accomplished. Trisaccharide Galβ1-3Galβ1-3GalNAcα1-R (), tetrasaccharide Galα1-4Galβ1-3Galβ1-3GalNAcα1-R (), and pentasaccharide Galα1-4Galβ1-3Galβ1-3Galβ1-3GalNAcα1-R (), (R = biotinylated probe) were synthesized by stepwise condensation and/or block synthesis by the use of 5-(methoxycarbonyl)pentyl 2-azido-4,6--benzylidene-2-deoxy-α-d-galactopyranoside as a common glycosyl acceptor. The synthesis of the tetrasaccharide and the pentasaccharide was improved from the viewpoint of reducing the number of synthetic steps and increasing the total yield by changing from stepwise condensation to block synthesis. Moreover, hexasaccharide , which contains the oligosaccharide sequence which occurs in , was synthesized from trisaccharide . We examined the antigenicity of these five oligosaccharides by an enzyme-linked immunosorbent assay (ELISA). Although compounds of - did not exhibit antigenicity against cystic echinococcosis (CE) patient sera, compounds , , and showed good serodiagnostic potential for alveolar echinococcosis (AE).

摘要

立体选择性合成生物素标记的寡糖部分,其中含有从分离的糖蛋白的碳水化合物部分。三糖 Galβ1-3Galβ1-3GalNAcα1-R (),四糖 Galα1-4Galβ1-3Galβ1-3GalNAcα1-R (),和五糖 Galα1-4Galβ1-3Galβ1-3Galβ1-3GalNAcα1-R (),(R = 生物素化探针) 通过逐步缩合和/或块合成合成,使用 5-(甲氧基羰基)戊基 2-叠氮基-4,6--苄叉-2-脱氧-α-d-半乳糖吡喃糖苷作为共同糖受体。从减少合成步骤数和提高总产率的角度出发,通过将逐步缩合改为块合成,改进了四糖和五糖的合成。此外,还从三糖合成了含有六糖的寡糖序列,该六糖存在于中。我们通过酶联免疫吸附试验(ELISA)研究了这些五种寡糖的抗原性。尽管 - 的化合物对囊性包虫病(CE)患者血清没有抗原性,但化合物、、和表现出良好的肺泡包虫病(AE)血清学诊断潜力。

https://cdn.ncbi.nlm.nih.gov/pmc/blobs/e51f/8468584/950e4801ec78/molecules-26-05652-g001.jpg

文献AI研究员

20分钟写一篇综述,助力文献阅读效率提升50倍。

立即体验

用中文搜PubMed

大模型驱动的PubMed中文搜索引擎

马上搜索

文档翻译

学术文献翻译模型,支持多种主流文档格式。

立即体验