Honda Kazuhiro
Graduate School of Engineering, Toyama University, 3190 Gofuku, Toyama 930-8555, Japan.
Sensors (Basel). 2021 Sep 15;21(18):6184. doi: 10.3390/s21186184.
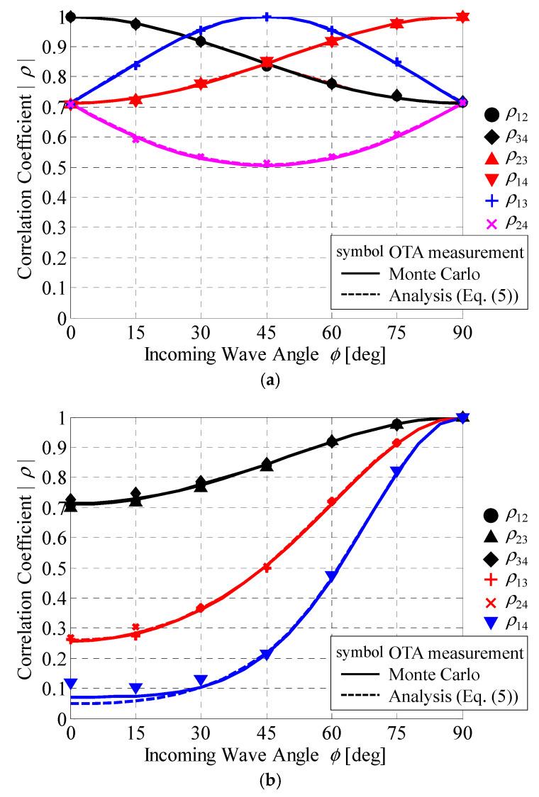
This paper presents a method of implementing a 4 × 4 correlation matrix for evaluating the uplink channel properties of multiple-input multiple-output (MIMO) antennas using an over-the-air measurement system. First, the implementation model used to determine the correlation coefficients between the signals received at the base station (BS) antennas via the uplink channel is described. Then, a methodology is introduced to achieve a 4 × 4 correlation matrix for a BS MIMO antenna based on Jakes' model by setting the initial phases of the secondary wave sources in the two-dimensional channel model. The performance of the uplink channel for a four-element MIMO terminal array antenna is evaluated using a two-dimensional bidirectional fading emulator. The results show that the measured correlation coefficients between the signals received via the uplink channel at the BS antennas using the proposed method are in good agreement with the BS correlation characteristics calculated using Monte Carlo simulation and the theoretical formula, thereby confirming the effectiveness of the proposed method.
本文提出了一种使用无线测量系统实现4×4相关矩阵的方法,用于评估多输入多输出(MIMO)天线的上行链路信道特性。首先,描述了用于确定通过上行链路信道在基站(BS)天线处接收到的信号之间相关系数的实现模型。然后,引入了一种方法,通过设置二维信道模型中二次波源的初始相位,基于杰克斯模型实现基站MIMO天线的4×4相关矩阵。使用二维双向衰落模拟器评估四元MIMO终端阵列天线的上行链路信道性能。结果表明,使用所提出的方法在基站天线处通过上行链路信道接收到的信号之间的测量相关系数与使用蒙特卡罗模拟和理论公式计算的基站相关特性高度吻合,从而证实了所提出方法的有效性。