Suppr超能文献

在埃塞俄比亚北部受干扰的森林中,一种当地濒危树种(油橄榄亚种。cuspidata)的个体发育生态位转移:对保护的启示。

Ontogenetic niche shifts in a locally endangered tree species (Olea europaea subsp. cuspidata) in a disturbed forest in Northern Ethiopia: Implications for conservation.

机构信息

Faculty of Environmental Sciences and Natural Resource Management, Norwegian University of Life Sciences, Ås, Norway.

College of Dryland Agriculture and Natural Resources, Mekelle University, Mekelle, Ethiopia.

出版信息

PLoS One. 2021 Sep 30;16(9):e0256843. doi: 10.1371/journal.pone.0256843. eCollection 2021.

Abstract

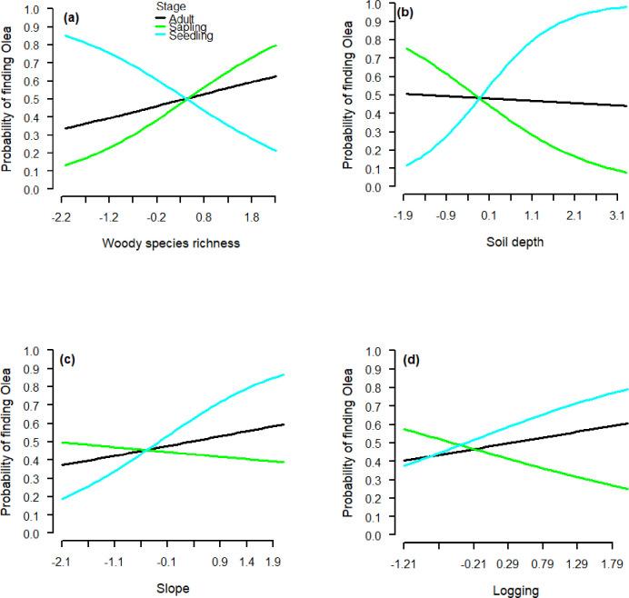
Understanding the responses of different ontogenetic stages to environmental and human disturbance factors is essential for developing efficient conservation strategies for endangered plant species. We examined how three ontogenetic stages of a locally endangered tree species, Olea europaea subsp. cuspidata, responded to environmental factors and human disturbance in Hugumburda dry Afromontane forest in Ethiopia. We counted individual seedlings, saplings and adults of O. europaea in 70 20 × 20 m quadrats over ca. 2.8 ha, and measured biotic (woody species richness, canopy cover, aboveground tree biomass, herbaceous cover), abiotic (soil and topographic variables), and human disturbance factors (logging and tracks). To detect ontogenetic niche shifts, we compared observed vs. simulated locations of trees in the three life stages and how they related to the environmental and human disturbance factors. We found that the population structure of O. europaea showed generally low recruitment, with few seedlings per hectare compared with the abundance of saplings and adults. The probability of finding O. europaea individuals was influenced by biotic (woody species richness) and abiotic (soil depth, slope) environmental conditions and human disturbance (logging intensity), but the direction, strength and shape of the relationships differed between seedling, sapling and adult life stages, indicating ontogenetic niche shifts. All life stages showed a positive relationship with elevation. The observed environmental niches of the different lifestages of O. europaea, and their association with human disturbance levels, should be considered when conservation strategies are developed for this species. Human disturbance in terms of logging decreases the abundance of saplings, but may facilitate emerging seedlings through creation of gaps with improved light conditions. Recruitment is, however, very low in the study area, and seedlings should be protected from browsing to enhance survival. Woody species richness in general should be conserved to optimize conditions also for O. europaea saplings.

摘要

了解不同个体发育阶段对环境和人为干扰因素的反应对于制定濒危植物物种的有效保护策略至关重要。我们研究了埃塞俄比亚 Hugumburda 干旱 Afromontane 森林中一种当地濒危树种 Olea europaea subsp. cuspidata 的三个个体发育阶段如何对环境因素和人为干扰做出反应。我们在大约 2.8 公顷的面积上,使用 70 个 20×20 米的样方,统计了 O. europaea 的个体幼苗、幼树和成年个体,并测量了生物(木本物种丰富度、冠层盖度、地上树木生物量、草本盖度)、非生物(土壤和地形变量)和人为干扰因素(伐木和小径)。为了检测个体发育生态位的转移,我们比较了三个生命阶段中树木的实际位置和模拟位置,以及它们与环境和人为干扰因素的关系。我们发现,O. europaea 的种群结构总体上表现出较低的繁殖力,每公顷幼苗数量较少,而幼树和成年个体数量较多。发现 O. europaea 个体的概率受生物(木本物种丰富度)和非生物(土壤深度、坡度)环境条件以及人为干扰(伐木强度)的影响,但这些关系的方向、强度和形状在幼苗、幼树和成年个体发育阶段之间存在差异,表明存在个体发育生态位的转移。所有生命阶段都与海拔呈正相关。在制定该物种的保护策略时,应该考虑 O. europaea 不同生命阶段的实际环境生态位及其与人为干扰水平的关系。以伐木为代表的人为干扰会降低幼树的丰度,但可能会通过创造改善光照条件的空隙来促进新出现的幼苗。然而,在研究区域内,繁殖力非常低,应该保护幼苗免受啃食,以提高其存活率。总体而言,应该保护木本物种的丰富度,以优化 O. europaea 幼树的生存条件。

https://cdn.ncbi.nlm.nih.gov/pmc/blobs/5d91/8483397/7db88e6a92fb/pone.0256843.g001.jpg

文献AI研究员

20分钟写一篇综述,助力文献阅读效率提升50倍。

立即体验

用中文搜PubMed

大模型驱动的PubMed中文搜索引擎

马上搜索

文档翻译

学术文献翻译模型,支持多种主流文档格式。

立即体验