Suppr超能文献

老年胶质母细胞瘤患者的手术策略。

Surgical strategies for older patients with glioblastoma.

机构信息

Department of Neurosurgery, Yale School of Medicine, 15 York St., LLCI 810, CT, 06520-8082, New Haven, USA.

Yale Brain Tumor Center, Smilow Cancer Hospital, CT, New Haven, USA.

出版信息

J Neurooncol. 2021 Dec;155(3):255-264. doi: 10.1007/s11060-021-03862-z. Epub 2021 Oct 9.

Abstract

OBJECTIVE

While adjuvant treatment regimens have been modified for older patients with glioblastoma (GBM), surgical strategies have not been tailored.

METHODS

Clinical data of 48 consecutive patients aged 70 years or older, who underwent surgical resection for GBM with intraoperative ultrasonography (IoUS) alone or combination with intraoperative MRI (IoMRI) at Yale New Haven Hospital were retrospectively reviewed. Variables were analyzed, and comparative analyses were performed.

RESULTS

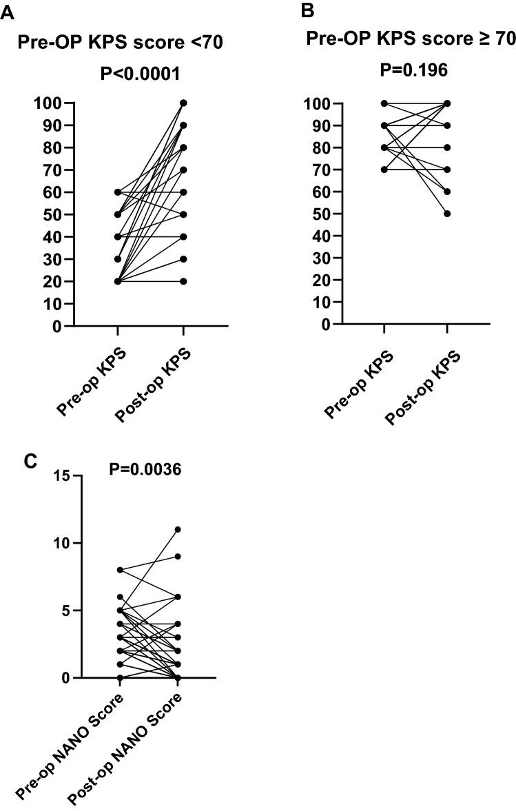
The addition of IoMRI was not superior to IoUS alone in terms of overall survival (OS) (P = 0.306), Karnofsky Performance Score (KPS) at postoperative 6 weeks (P = 0.704) or extent of resection (P = 0.263). Length of surgery (LOSx), however, was significantly longer (P = 0.0002) in the IoMRI group. LOSx (P = 0.015) and hospital stay (P = 0.025) were predictors of postoperative complications. Increased EOR (GTR or NTR) (P = 0.030), postoperative adjuvant treatment (P < 0.0001) and postoperative complications (P = 0.006) were predictive for OS. Patients with relatively lower preoperative KPS scores (<70) showed significant improvement at postoperative 6 weeks (P<0.0001). Patients with complications (P = 0.038) were more likely to have lower KPS at postoperative 6 weeks.

CONCLUSIONS

Aggressive management with surgical resection should be considered in older patients with GBM, even those with relatively poor KPS. The use of ioMRI in this population does not appear to confer any measurable benefit over ioUS in experienced hands, but prolongs the length of surgery significantly, which is a preventable prognostic factor for impeding care.

摘要

目的

虽然已经针对老年胶质母细胞瘤(GBM)患者修改了辅助治疗方案,但手术策略尚未进行调整。

方法

回顾性分析了在耶鲁纽黑文医院接受单纯术中超声检查(IoUS)或联合术中磁共振成像(IoMRI)治疗的 48 例年龄 70 岁或以上的 GBM 患者的临床资料。分析了变量,并进行了对比分析。

结果

在总生存期(OS)方面,IoMRI 的加入并不优于单独的 IoUS(P=0.306),术后 6 周的 Karnofsky 表现评分(KPS)(P=0.704)或切除程度(P=0.263)也没有优势。然而,IoMRI 组的手术时间(LOSx)显著延长(P=0.0002)。LOSx(P=0.015)和住院时间(P=0.025)是术后并发症的预测因素。增加 EOR(GTR 或 NTR)(P=0.030)、术后辅助治疗(P<0.0001)和术后并发症(P=0.006)是 OS 的预测因素。术前 KPS 评分较低(<70)的患者在术后 6 周时明显改善(P<0.0001)。有并发症的患者(P=0.038)在术后 6 周时更有可能出现较低的 KPS。

结论

对于年龄较大的 GBM 患者,即使是那些 KPS 相对较低的患者,也应考虑进行积极的手术切除治疗。在经验丰富的医生手中,该人群中使用 ioMRI 似乎并不能带来任何可衡量的益处,反而会显著延长手术时间,这是一个可以预防的预后不良的因素。

https://cdn.ncbi.nlm.nih.gov/pmc/blobs/7b7b/8651607/acf5875ed915/11060_2021_3862_Fig1_HTML.jpg

文献检索

告别复杂PubMed语法,用中文像聊天一样搜索,搜遍4000万医学文献。AI智能推荐,让科研检索更轻松。

立即免费搜索

文件翻译

保留排版,准确专业,支持PDF/Word/PPT等文件格式,支持 12+语言互译。

免费翻译文档

深度研究

AI帮你快速写综述,25分钟生成高质量综述,智能提取关键信息,辅助科研写作。

立即免费体验