• 文献检索
  • 文档翻译
  • 深度研究
  • 学术资讯
  • Suppr Zotero 插件Zotero 插件
  • 邀请有礼
  • 套餐&价格
  • 历史记录
应用&插件
Suppr Zotero 插件Zotero 插件浏览器插件Mac 客户端Windows 客户端微信小程序
定价
高级版会员购买积分包购买API积分包
服务
文献检索文档翻译深度研究API 文档MCP 服务
关于我们
关于 Suppr公司介绍联系我们用户协议隐私条款
关注我们

Suppr 超能文献

核心技术专利:CN118964589B侵权必究
粤ICP备2023148730 号-1Suppr @ 2026

文献检索

告别复杂PubMed语法,用中文像聊天一样搜索,搜遍4000万医学文献。AI智能推荐,让科研检索更轻松。

立即免费搜索

文件翻译

保留排版,准确专业,支持PDF/Word/PPT等文件格式,支持 12+语言互译。

免费翻译文档

深度研究

AI帮你快速写综述,25分钟生成高质量综述,智能提取关键信息,辅助科研写作。

立即免费体验

基于人工神经网络的超高性能混凝土与普通混凝土界面抗剪强度预测

Prediction of the Interface Shear Strength between Ultra-High-Performance Concrete and Normal Concrete Using Artificial Neural Networks.

作者信息

Du Changqing, Liu Xiaofan, Liu Yinying, Tong Teng

机构信息

State Gird Jiangsu Electric Power Engineering Consulting Co., Ltd., Nanjing 210003, China.

School of Civil Engineering, Southeast University, Nanjing 210018, China.

出版信息

Materials (Basel). 2021 Sep 30;14(19):5707. doi: 10.3390/ma14195707.

DOI:10.3390/ma14195707
PMID:34640116
原文链接:https://pmc.ncbi.nlm.nih.gov/articles/PMC8510129/
Abstract

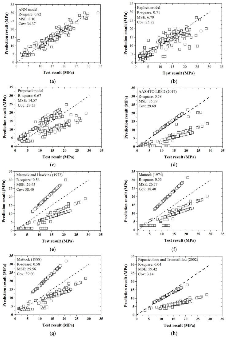
The bond strength between ultra-high-performance concrete (UHPC) and normal-strength concrete (NC) plays an important role in governing the composite specimens' overall behaviors. Unfortunately, there are still no widely accepted formulas targeting UHPC-NC interfacial strength, either in their specifications or in research papers. To this end, this study constructs an experimental database, consisting of 563 and 338 specimens for splitting and slant shear tests, respectively. Moreover, an additional 35 specimens for "improved" slant shear tests were performed, which could circumvent concrete crushing and trigger interfacial debonding. Additionally, for the first time in our tests, the effect of casting sequence on UHPC-NC bond strength was identified. Based on the database, an artificial neural network (ANN) model is proposed with the following inputs: namely, the normal stress perpendicular to the interface, the interface roughness, and the compressive strengths of the UHPC and NC materials. Based on the ANN analyses, the explicit expression of UHPC-NC bond strength is proposed, which significantly lowers the prediction error. To be fully compatible with the specifications, the conventional shear-friction formula is modified. By splitting the total force into adhesion and friction forces, the modified formula additionally takes the casting sequence into account. Although sacrificing accuracy to some extent compared to the ANN model, the modified formula relies on a solid physical basis and its accuracy is enhanced significantly compared to the existing formulas in specifications or research papers.

摘要

超高性能混凝土(UHPC)与普通强度混凝土(NC)之间的粘结强度在控制复合试件的整体性能方面起着重要作用。遗憾的是,无论是在规范中还是在研究论文中,仍没有被广泛接受的针对UHPC-NC界面强度的公式。为此,本研究构建了一个试验数据库,分别包含563个和338个用于劈裂和斜剪试验的试件。此外,还进行了另外35个用于“改进”斜剪试验的试件,其可以避免混凝土破碎并引发界面脱粘。此外,在我们的试验中首次确定了浇筑顺序对UHPC-NC粘结强度的影响。基于该数据库,提出了一个人工神经网络(ANN)模型,其输入如下:即垂直于界面的正应力、界面粗糙度以及UHPC和NC材料的抗压强度。基于人工神经网络分析,提出了UHPC-NC粘结强度的显式表达式,显著降低了预测误差。为了与规范完全兼容,对传统的剪摩擦公式进行了修改。通过将总力分解为粘聚力和摩擦力,修改后的公式还考虑了浇筑顺序。虽然与人工神经网络模型相比在一定程度上牺牲了精度,但修改后的公式基于坚实的物理基础,并且与规范或研究论文中的现有公式相比其精度有显著提高。

https://cdn.ncbi.nlm.nih.gov/pmc/blobs/8eaf/8510129/44547dd600de/materials-14-05707-g011.jpg
https://cdn.ncbi.nlm.nih.gov/pmc/blobs/8eaf/8510129/b6e70d301a27/materials-14-05707-g001.jpg
https://cdn.ncbi.nlm.nih.gov/pmc/blobs/8eaf/8510129/9f8b53b373ac/materials-14-05707-g002.jpg
https://cdn.ncbi.nlm.nih.gov/pmc/blobs/8eaf/8510129/75b687dce338/materials-14-05707-g003.jpg
https://cdn.ncbi.nlm.nih.gov/pmc/blobs/8eaf/8510129/598df23fef6d/materials-14-05707-g004.jpg
https://cdn.ncbi.nlm.nih.gov/pmc/blobs/8eaf/8510129/02d1038ee0e5/materials-14-05707-g005.jpg
https://cdn.ncbi.nlm.nih.gov/pmc/blobs/8eaf/8510129/02a5bea962d2/materials-14-05707-g006.jpg
https://cdn.ncbi.nlm.nih.gov/pmc/blobs/8eaf/8510129/b655ea2fa3e9/materials-14-05707-g007.jpg
https://cdn.ncbi.nlm.nih.gov/pmc/blobs/8eaf/8510129/658a87f600ca/materials-14-05707-g008.jpg
https://cdn.ncbi.nlm.nih.gov/pmc/blobs/8eaf/8510129/c3f8ff884b6d/materials-14-05707-g009.jpg
https://cdn.ncbi.nlm.nih.gov/pmc/blobs/8eaf/8510129/c419b5e3b0a5/materials-14-05707-g010.jpg
https://cdn.ncbi.nlm.nih.gov/pmc/blobs/8eaf/8510129/44547dd600de/materials-14-05707-g011.jpg
https://cdn.ncbi.nlm.nih.gov/pmc/blobs/8eaf/8510129/b6e70d301a27/materials-14-05707-g001.jpg
https://cdn.ncbi.nlm.nih.gov/pmc/blobs/8eaf/8510129/9f8b53b373ac/materials-14-05707-g002.jpg
https://cdn.ncbi.nlm.nih.gov/pmc/blobs/8eaf/8510129/75b687dce338/materials-14-05707-g003.jpg
https://cdn.ncbi.nlm.nih.gov/pmc/blobs/8eaf/8510129/598df23fef6d/materials-14-05707-g004.jpg
https://cdn.ncbi.nlm.nih.gov/pmc/blobs/8eaf/8510129/02d1038ee0e5/materials-14-05707-g005.jpg
https://cdn.ncbi.nlm.nih.gov/pmc/blobs/8eaf/8510129/02a5bea962d2/materials-14-05707-g006.jpg
https://cdn.ncbi.nlm.nih.gov/pmc/blobs/8eaf/8510129/b655ea2fa3e9/materials-14-05707-g007.jpg
https://cdn.ncbi.nlm.nih.gov/pmc/blobs/8eaf/8510129/658a87f600ca/materials-14-05707-g008.jpg
https://cdn.ncbi.nlm.nih.gov/pmc/blobs/8eaf/8510129/c3f8ff884b6d/materials-14-05707-g009.jpg
https://cdn.ncbi.nlm.nih.gov/pmc/blobs/8eaf/8510129/c419b5e3b0a5/materials-14-05707-g010.jpg
https://cdn.ncbi.nlm.nih.gov/pmc/blobs/8eaf/8510129/44547dd600de/materials-14-05707-g011.jpg

相似文献

1
Prediction of the Interface Shear Strength between Ultra-High-Performance Concrete and Normal Concrete Using Artificial Neural Networks.基于人工神经网络的超高性能混凝土与普通混凝土界面抗剪强度预测
Materials (Basel). 2021 Sep 30;14(19):5707. doi: 10.3390/ma14195707.
2
Experimental Study on Bond Performance of NC-UHPC Interfaces with Different Roughness and Substrate Strength.不同粗糙度和基体强度的NC-UHPC界面粘结性能试验研究
Materials (Basel). 2023 Mar 28;16(7):2708. doi: 10.3390/ma16072708.
3
Analysis of Structural Parameters of Steel-NC-UHPC Composite Beams.钢-NC-UHPC组合梁结构参数分析
Materials (Basel). 2023 Aug 11;16(16):5586. doi: 10.3390/ma16165586.
4
Experimental Investigation on Interface Performance of UHPC-Strengthened NC Structure through Push-Out Tests.基于推出试验的超高性能混凝土增强数控结构界面性能试验研究
Materials (Basel). 2023 Feb 21;16(5):1766. doi: 10.3390/ma16051766.
5
Interfacial Shear Performance of Epoxy Adhesive Joints of Prefabricated Elements Made of Ultra-High-Performance Concrete.超高性能混凝土预制构件环氧胶粘剂接头的界面剪切性能
Polymers (Basel). 2022 Mar 28;14(7):1364. doi: 10.3390/polym14071364.
6
Study on Frost Resistance and Interface Bonding Performance through the Integration of Recycled Brick Powder in Ultra-High-Performance Concrete for Structural Reinforcement.通过在用于结构加固的超高性能混凝土中掺入再生砖粉研究其抗冻性和界面粘结性能
Materials (Basel). 2023 Nov 1;16(21):6999. doi: 10.3390/ma16216999.
7
Numerical Modelling of concrete-to-UHPC Bond Strength.混凝土与超高性能混凝土粘结强度的数值模拟
Materials (Basel). 2020 Mar 18;13(6):1379. doi: 10.3390/ma13061379.
8
Application of artificial neural networks and multiple linear regression on local bond stress equation of UHPC and reinforcing steel bars.人工神经网络与多元线性回归在超高性能混凝土(UHPC)与钢筋局部粘结应力方程中的应用。
Sci Rep. 2021 Jul 23;11(1):15061. doi: 10.1038/s41598-021-94480-2.
9
Bond-Slip Performances of Ultra-High Performance Concrete Steel Tube Columns Made of a Large-Diameter Steel Tube with Internally Welded Steel Bars.大直径钢管内焊钢筋超高性能混凝土钢管柱的粘结-滑移性能
Materials (Basel). 2023 May 19;16(10):3836. doi: 10.3390/ma16103836.
10
Experimental Investigation of Hybrid Beams Utilizing Ultra-High Performance Concrete (UHPC) as Tension Reinforcement.利用超高性能混凝土(UHPC)作为受拉钢筋的混合梁试验研究。
Materials (Basel). 2022 Aug 16;15(16):5619. doi: 10.3390/ma15165619.

引用本文的文献

1
Prediction of Bearing Capacity of the Square Concrete-Filled Steel Tube Columns: An Application of Metaheuristic-Based Neural Network Models.方形钢管混凝土柱承载力预测:基于元启发式神经网络模型的应用
Materials (Basel). 2022 May 5;15(9):3309. doi: 10.3390/ma15093309.
2
Matrix Optimization of Ultra High Performance Concrete for Improving Strength and Durability.用于提高强度和耐久性的超高性能混凝土的基体优化
Materials (Basel). 2021 Nov 17;14(22):6944. doi: 10.3390/ma14226944.

本文引用的文献

1
Mechanical Behavior of Ultrahigh-Performance Concrete Tunnel Lining Segments.超高性能混凝土隧道衬砌管片的力学性能
Materials (Basel). 2021 May 3;14(9):2378. doi: 10.3390/ma14092378.
2
Numerical Modelling of concrete-to-UHPC Bond Strength.混凝土与超高性能混凝土粘结强度的数值模拟
Materials (Basel). 2020 Mar 18;13(6):1379. doi: 10.3390/ma13061379.