Suppr超能文献

熊去氧胆酸甘油酯前药(UDCA):诺维信 435 脂肪酶催化合成 UDCA-单甘油酯。

Glyceric Prodrug of Ursodeoxycholic Acid (UDCA): Novozym 435-Catalyzed Synthesis of UDCA-Monoglyceride.

机构信息

Department of Life Sciences and Biotechnology, University of Ferrara, Via L. Borsari, 46, 44121 Ferrara, Italy.

GATE SRL, Via L. Borsari, 46, 44121 Ferrara, Italy.

出版信息

Molecules. 2021 Oct 1;26(19):5966. doi: 10.3390/molecules26195966.

Abstract

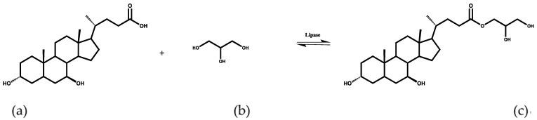
Bile acids (BAs) are a family of steroids synthesized from cholesterol in the liver. Among bile acids, ursodeoxycholic acid (UDCA) is the drug of choice for treating primary biliary cirrhosis and dissolving cholesterol gallstones. The clinical effectiveness of UDCA includes its choleretic activity, the capability to inhibit hydrophobic bile acid absorption by the intestine under cholestatic conditions, reducing cholangiocyte injury, stimulation of impaired biliary output, and inhibition of hepatocyte apoptosis. Despite its clinical effectiveness, UDCA is poorly soluble in the gastro-duodeno-jejunal contents, and pharmacological doses of UDCA are not readily soluble in the stomach and intestine, resulting in incomplete absorption. Indeed, the solubility of 20 mg/L greatly limits the bioavailability of UDCA. Since the bioavailability of drug products plays a critical role in the design of oral administration dosages, we investigated the enzymatic esterification of UDCA as a strategy of hydrophilization. Therefore, we decided to enzymatically synthesize a glyceric ester of UDCA bile acid to produce a more water-soluble molecule. The esterification reactions between UDCA and glycerol were performed with an immobilized lipase B from (Novozym 435) in solvent-free and solvent-assisted systems. The characterization of the UDCA-monoglyceride, enzymatically synthesized, has been performed by H-NMR, C-NMR, COSY, HSQC, HMBC, IR, and MS spectroscopy.

摘要

胆汁酸(BAs)是一类甾体化合物,在肝脏中由胆固醇合成。在胆汁酸中,熊去氧胆酸(UDCA)是治疗原发性胆汁性肝硬化和溶解胆固醇性胆囊结石的首选药物。UDCA 的临床疗效包括其利胆作用、在胆汁淤积条件下抑制肠道吸收疏水性胆汁酸的能力、减少胆管细胞损伤、刺激受损胆汁排出以及抑制肝细胞凋亡。尽管其临床疗效显著,但 UDCA 在胃十二指肠内容物中的溶解度较差,且药理学剂量的 UDCA 在胃和肠道中不易溶解,导致吸收不完全。实际上,20mg/L 的溶解度极大地限制了 UDCA 的生物利用度。鉴于药物产品的生物利用度在口服给药剂量设计中起着至关重要的作用,我们研究了 UDCA 的酶酯化作为一种亲水化策略。因此,我们决定酶法合成 UDCA 胆汁酸的甘油酯,以产生更具水溶性的分子。用固定化脂肪酶 B from (Novozym 435)在无溶剂和溶剂辅助体系中进行 UDCA 与甘油的酯化反应。通过 H-NMR、C-NMR、COSY、HSQC、HMBC、IR 和 MS 光谱对酶法合成的 UDCA-单甘油酯进行了表征。

https://cdn.ncbi.nlm.nih.gov/pmc/blobs/4758/8513054/b23cc67485c2/molecules-26-05966-sch001.jpg

文献AI研究员

20分钟写一篇综述,助力文献阅读效率提升50倍。

立即体验

用中文搜PubMed

大模型驱动的PubMed中文搜索引擎

马上搜索

文档翻译

学术文献翻译模型,支持多种主流文档格式。

立即体验