Suppr超能文献

新冠疫情不同波幅对因急症入院的住院死亡率和住院时间的影响:全港范围观察性队列研究。

Impact of varying wave periods of COVID-19 on in-hospital mortality and length of stay for admission through emergency department: A territory-wide observational cohort study.

机构信息

Centre for Safe Medication Practice and Research, Department of Pharmacology and Pharmacy, Li Ka Shing Faculty of Medicine, The University of Hong Kong, Hong Kong SAR, China.

Emergency Medicine Unit, Li Ka Shing Faculty of Medicine, The University of Hong Kong, Hong Kong, SAR, China.

出版信息

Influenza Other Respir Viruses. 2022 Mar;16(2):193-203. doi: 10.1111/irv.12919. Epub 2021 Oct 13.

Abstract

BACKGROUND

The COVID-19 pandemic has been associated with excess mortality and reduced emergency department attendance. However, the effect of varying wave periods of COVID-19 on in-hospital mortality and length of stay (LOS) for non-COVID disease for non-COVID diseases remains unexplored.

METHODS

We examined a territory-wide observational cohort of 563,680 emergency admissions between January 1 and November 30, 2020, and 709,583 emergency admissions during the same 2019 period in Hong Kong, China. Differences in 28-day in-hospital mortality risk and LOS due to COVID-19 were evaluated.

RESULTS

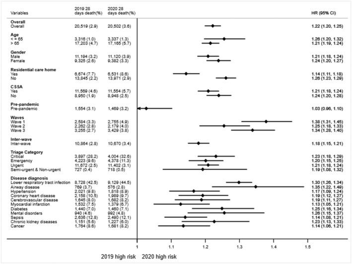
The cumulative incidence of 28-day in-hospital mortality increased overall from 2.9% in 2019 to 3.6% in 2020 (adjusted hazard ratio [aHR] = 1.22, 95% CI 1.20 to 1.25). The aHR was higher among patients with lower respiratory tract infection (aHR: 1.30 95% CI 1.26 to 1.34), airway disease (aHR: 1.35 95% CI 1.22 to 1.49), and mental disorders (aHR: 1.26 95% CI 1.15 to 1.37). Mortality risk in the first- and third-wave periods was significantly greater than that in the inter-wave period (p-interaction < 0.001). The overall average LOS in the pandemic year was significantly shorter than that in 2019 (Mean difference = -0.40 days; 95% CI -0.43 to -0.36). Patients with mental disorders and cerebrovascular disease in 2020 had a 3.91-day and 2.78-day shorter LOS than those in 2019, respectively.

CONCLUSIONS

Increased risk of in-hospital deaths was observed overall and by all major subgroups of disease during the pandemic period. Together with significantly reduced LOS for patients with mental disorders and cerebrovascular disease, this study shows the spillover effect of the COVID-19 pandemic.

摘要

背景

COVID-19 大流行与超额死亡率和急诊科就诊人数减少有关。然而,COVID-19 不同波期间对非 COVID 疾病的院内死亡率和住院时间(LOS)的影响仍未得到探索。

方法

我们研究了中国香港 2020 年 1 月 1 日至 11 月 30 日期间 563680 例和 2019 年同期 709583 例的全港范围观察性队列急诊入院。评估了 COVID-19 导致的 28 天院内死亡率风险和 LOS 的差异。

结果

28 天院内死亡率的累积发病率总体从 2019 年的 2.9%增加到 2020 年的 3.6%(调整后的危险比[aHR] = 1.22,95%CI 1.20 至 1.25)。下呼吸道感染(aHR:1.30,95%CI 1.26 至 1.34)、气道疾病(aHR:1.35,95%CI 1.22 至 1.49)和精神障碍(aHR:1.26,95%CI 1.15 至 1.37)患者的 aHR 更高。第一波和第三波期间的死亡率风险明显高于波间期间(p 交互<0.001)。大流行年份的总平均 LOS 明显短于 2019 年(平均差异=-0.40 天;95%CI-0.43 至-0.36)。2020 年患有精神障碍和脑血管病的患者的 LOS 分别比 2019 年短 3.91 天和 2.78 天。

结论

在大流行期间,总体上和所有主要疾病亚组都观察到住院死亡风险增加。与精神障碍和脑血管病患者的 LOS 显著缩短相结合,本研究显示了 COVID-19 大流行的溢出效应。

https://cdn.ncbi.nlm.nih.gov/pmc/blobs/270a/8818826/6a5828fdec84/IRV-16-193-g004.jpg

文献AI研究员

20分钟写一篇综述,助力文献阅读效率提升50倍。

立即体验

用中文搜PubMed

大模型驱动的PubMed中文搜索引擎

马上搜索

文档翻译

学术文献翻译模型,支持多种主流文档格式。

立即体验