• 文献检索
  • 文档翻译
  • 深度研究
  • 学术资讯
  • Suppr Zotero 插件Zotero 插件
  • 邀请有礼
  • 套餐&价格
  • 历史记录
应用&插件
Suppr Zotero 插件Zotero 插件浏览器插件Mac 客户端Windows 客户端微信小程序
定价
高级版会员购买积分包购买API积分包
服务
文献检索文档翻译深度研究API 文档MCP 服务
关于我们
关于 Suppr公司介绍联系我们用户协议隐私条款
关注我们

Suppr 超能文献

核心技术专利:CN118964589B侵权必究
粤ICP备2023148730 号-1Suppr @ 2026

文献检索

告别复杂PubMed语法,用中文像聊天一样搜索,搜遍4000万医学文献。AI智能推荐,让科研检索更轻松。

立即免费搜索

文件翻译

保留排版,准确专业,支持PDF/Word/PPT等文件格式,支持 12+语言互译。

免费翻译文档

深度研究

AI帮你快速写综述,25分钟生成高质量综述,智能提取关键信息,辅助科研写作。

立即免费体验

大脑体积大与鸟类物种中较低的配偶外父权相关。

Large brain size is associated with low extra-pair paternity across bird species.

作者信息

Chen Min, Li Guopan, Liu Jinlong, Li Shaobin

机构信息

College of Life Science Yangtze University Jingzhou China.

MOE Key Laboratory of Biodiversity and Ecology Engineering Beijing Normal University Beijing China.

出版信息

Ecol Evol. 2021 Sep 14;11(19):13601-13608. doi: 10.1002/ece3.8087. eCollection 2021 Oct.

DOI:10.1002/ece3.8087
PMID:34646493
原文链接:https://pmc.ncbi.nlm.nih.gov/articles/PMC8495782/
Abstract

BACKGROUND

Gaining extrapair copulations (EPCs) is a complicated behavior process. The interaction between males and females to procure EPCs may be involved in brain function evolution and lead to a larger brain. Thus, we hypothesized that extrapair paternity (EPP) rate can be predicted by relative brain size in birds. Past work has implied that the EPP rate is associated with brain size, but empirical evidence is rare.

METHODS

We collated data from published references on EPP levels and brain size of 215 bird species to examine whether the evolution of EPP rate can be predicted by brain size using phylogenetically generalized least square (PGLS) models and phylogenetic path analyses.

RESULTS

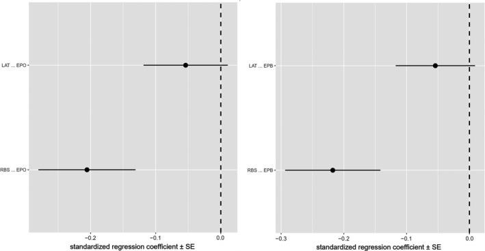
We found that EPP rates (both the percentage EP offspring and percentage of broods with EP offspring) are negatively associated with relative brain size. We applied phylogenetic path analysis to test the causal relationship between relative brain size and EPP rate. Best-supported models (ΔCICc < 2) suggested that large brain lead to reduced EPP rate, which failed to support the hypothesis that high rates of EPP cause the evolution of larger brains.

CONCLUSION

This study indicates that pursuing EPCs may be a natural instinct in birds and the interaction between males and females for EPCs may lead to large brains, which in turn may restrict their EPC level for both sexes across bird species.

摘要

背景

获得配偶外交配(EPCs)是一个复杂的行为过程。雄性和雌性之间为获得配偶外交配而进行的互动可能与脑功能进化有关,并导致大脑变大。因此,我们假设鸟类的配偶外父权(EPP)率可以通过相对脑大小来预测。过去的研究暗示配偶外父权率与脑大小有关,但实证证据很少。

方法

我们整理了来自已发表参考文献的215种鸟类的配偶外父权水平和脑大小数据,以使用系统发育广义最小二乘法(PGLS)模型和系统发育路径分析来检验配偶外父权率的进化是否可以用脑大小来预测。

结果

我们发现配偶外父权率(包括配偶外后代的百分比和有配偶外后代的巢的百分比)与相对脑大小呈负相关。我们应用系统发育路径分析来测试相对脑大小与配偶外父权率之间的因果关系。得到最佳支持的模型(ΔCICc < 2)表明,大脑袋导致配偶外父权率降低,这未能支持配偶外父权率高导致大脑进化的假设。

结论

本研究表明,追求配偶外交配可能是鸟类的一种自然本能,雄性和雌性为配偶外交配而进行的互动可能导致大脑变大,这反过来可能会限制鸟类物种中两性的配偶外交配水平。

https://cdn.ncbi.nlm.nih.gov/pmc/blobs/d31f/8495782/cc710441fc60/ECE3-11-13601-g005.jpg
https://cdn.ncbi.nlm.nih.gov/pmc/blobs/d31f/8495782/4e98a1fdd569/ECE3-11-13601-g001.jpg
https://cdn.ncbi.nlm.nih.gov/pmc/blobs/d31f/8495782/91e19ff959f5/ECE3-11-13601-g004.jpg
https://cdn.ncbi.nlm.nih.gov/pmc/blobs/d31f/8495782/26df6949227b/ECE3-11-13601-g003.jpg
https://cdn.ncbi.nlm.nih.gov/pmc/blobs/d31f/8495782/065d84ceca3c/ECE3-11-13601-g006.jpg
https://cdn.ncbi.nlm.nih.gov/pmc/blobs/d31f/8495782/cc710441fc60/ECE3-11-13601-g005.jpg
https://cdn.ncbi.nlm.nih.gov/pmc/blobs/d31f/8495782/4e98a1fdd569/ECE3-11-13601-g001.jpg
https://cdn.ncbi.nlm.nih.gov/pmc/blobs/d31f/8495782/91e19ff959f5/ECE3-11-13601-g004.jpg
https://cdn.ncbi.nlm.nih.gov/pmc/blobs/d31f/8495782/26df6949227b/ECE3-11-13601-g003.jpg
https://cdn.ncbi.nlm.nih.gov/pmc/blobs/d31f/8495782/065d84ceca3c/ECE3-11-13601-g006.jpg
https://cdn.ncbi.nlm.nih.gov/pmc/blobs/d31f/8495782/cc710441fc60/ECE3-11-13601-g005.jpg

相似文献

1
Large brain size is associated with low extra-pair paternity across bird species.大脑体积大与鸟类物种中较低的配偶外父权相关。
Ecol Evol. 2021 Sep 14;11(19):13601-13608. doi: 10.1002/ece3.8087. eCollection 2021 Oct.
2
The evolution of extra-pair paternity and paternal care in birds.鸟类中配偶外交配与父本抚育行为的进化
Behav Ecol. 2023 Jun 23;34(5):780-789. doi: 10.1093/beheco/arad053. eCollection 2023 Sep-Oct.
3
Large-brained birds display lower extra-pair paternity.大脑较大的鸟类表现出较低的额外父权。
Integr Zool. 2023 Mar;18(2):278-288. doi: 10.1111/1749-4877.12636. Epub 2022 Mar 11.
4
Analysis of within-individual variation in extrapair paternity in blue tits () shows low repeatability and little effect of changes in neighborhood.对青山雀()种内配偶外交配变异的分析表明,其重复性较低,且邻里环境变化的影响较小。
Behav Ecol. 2020 Oct 1;31(6):1303-1315. doi: 10.1093/beheco/araa069. eCollection 2020 Nov-Dec.
5
Spatial patterns of extra-pair paternity: beyond paternity gains and losses.配偶外父权的空间模式:超越父权的得失
J Anim Ecol. 2015 Mar;84(2):518-31. doi: 10.1111/1365-2656.12293. Epub 2014 Oct 23.
6
Little effect of extrapair paternity on the opportunity for sexual selection in Savannah sparrows (Passerculus sandwichensis).配偶外交配行为对萨凡纳雀(Passerculus sandwichensis)性选择机会的影响较小。
Evolution. 2005 Feb;59(2):422-30.
7
Ecological constraints on extra-pair paternity in the bluethroat.蓝喉歌鸲中配偶外交配行为的生态限制因素
Oecologia. 2003 Aug;136(3):476-83. doi: 10.1007/s00442-003-1286-4. Epub 2003 May 29.
8
Affairs happen-to whom? A study on extrapair paternity in common nightingales.风流韵事发生在谁身上?关于歌鸫婚外父权的一项研究。
Curr Zool. 2017 Aug;63(4):421-431. doi: 10.1093/cz/zox024. Epub 2017 Mar 28.
9
How female reed buntings benefit from extra-pair mating behaviour: testing hypotheses through patterns of paternity in sequential broods.雌性芦鹀如何从配偶外交配行为中获益:通过连续窝雏的父权模式检验假设
Mol Ecol. 2006 Aug;15(9):2589-600. doi: 10.1111/j.1365-294X.2006.02955.x.
10
Extra-pair paternity in birds.鸟类的混交亲代现象。
Mol Ecol. 2019 Nov;28(22):4864-4882. doi: 10.1111/mec.15259. Epub 2019 Oct 31.

引用本文的文献

1
Cooperative breeding and the selection for information sharing among groupmates.合作繁殖与群体成员间信息共享的选择
Behav Ecol Sociobiol. 2025;79(6):70. doi: 10.1007/s00265-025-03604-5. Epub 2025 Jun 17.
2
Problems with using comparative analyses of avian brain size to test hypotheses of cognitive evolution.使用鸟类大脑大小的比较分析来检验认知进化假说存在的问题。
PLoS One. 2022 Jul 22;17(7):e0270771. doi: 10.1371/journal.pone.0270771. eCollection 2022.

本文引用的文献

1
Long life evolves in large-brained bird lineages.长寿在大脑较大的鸟类谱系中进化。
Evolution. 2020 Dec;74(12):2617-2628. doi: 10.1111/evo.14087. Epub 2020 Sep 4.
2
Extra-pair paternity in birds.鸟类的混交亲代现象。
Mol Ecol. 2019 Nov;28(22):4864-4882. doi: 10.1111/mec.15259. Epub 2019 Oct 31.
3
Revisiting a Key Innovation in Evolutionary Biology: Felsenstein's "Phylogenies and the Comparative Method".重温进化生物学的一个关键创新:费雪斯坦的“系统发育与比较方法”。
Am Nat. 2019 Jun;193(6):755-772. doi: 10.1086/703055. Epub 2019 Apr 23.
4
Predictable evolution towards larger brains in birds colonizing oceanic islands.鸟类在海洋岛屿上的殖民化导致大脑逐渐变大。
Nat Commun. 2018 Jul 31;9(1):2820. doi: 10.1038/s41467-018-05280-8.
5
Multiple hypotheses explain variation in extra-pair paternity at different levels in a single bird family.多种假说解释了单个鸟类家族中不同层面的配偶外交配情况的差异。
Mol Ecol. 2017 Dec;26(23):6717-6729. doi: 10.1111/mec.14385. Epub 2017 Nov 8.
6
Environmental variation and the evolution of large brains in birds.鸟类的环境变化与大脑的进化。
Nat Commun. 2016 Dec 22;7:13971. doi: 10.1038/ncomms13971.
7
The life-history basis of behavioural innovations.行为创新的生活史基础。
Philos Trans R Soc Lond B Biol Sci. 2016 Mar 19;371(1690). doi: 10.1098/rstb.2015.0187.
8
Brain size predicts problem-solving ability in mammalian carnivores.大脑大小可预测哺乳动物食肉动物的解决问题能力。
Proc Natl Acad Sci U S A. 2016 Mar 1;113(9):2532-7. doi: 10.1073/pnas.1505913113. Epub 2016 Jan 25.
9
Brain size affects the behavioural response to predators in female guppies (Poecilia reticulata).脑容量影响雌性孔雀鱼(孔雀鱼)对捕食者的行为反应。
Proc Biol Sci. 2015 Aug 7;282(1812):20151132. doi: 10.1098/rspb.2015.1132.
10
Extrapair paternity rates vary with latitude and elevation in emberizid sparrows.雀形目鹀科的个体间交配率随纬度和海拔的变化而变化。
Am Nat. 2014 Jan;183(1):54-61. doi: 10.1086/674130. Epub 2013 Dec 3.