• 文献检索
  • 文档翻译
  • 深度研究
  • 学术资讯
  • Suppr Zotero 插件Zotero 插件
  • 邀请有礼
  • 套餐&价格
  • 历史记录
应用&插件
Suppr Zotero 插件Zotero 插件浏览器插件Mac 客户端Windows 客户端微信小程序
定价
高级版会员购买积分包购买API积分包
服务
文献检索文档翻译深度研究API 文档MCP 服务
关于我们
关于 Suppr公司介绍联系我们用户协议隐私条款
关注我们

Suppr 超能文献

核心技术专利:CN118964589B侵权必究
粤ICP备2023148730 号-1Suppr @ 2026

文献检索

告别复杂PubMed语法,用中文像聊天一样搜索,搜遍4000万医学文献。AI智能推荐,让科研检索更轻松。

立即免费搜索

文件翻译

保留排版,准确专业,支持PDF/Word/PPT等文件格式,支持 12+语言互译。

免费翻译文档

深度研究

AI帮你快速写综述,25分钟生成高质量综述,智能提取关键信息,辅助科研写作。

立即免费体验

青少年区域灰质减少与精神症状之间的免疫相关基因重叠,以及转化模型中的基因集验证

Immune-Related Genetic Overlap Between Regional Gray Matter Reductions and Psychiatric Symptoms in Adolescents, and Gene-Set Validation in a Translational Model.

作者信息

Penninck Lukas, Ibrahim El Chérif, Artiges Eric, Gorgievski Victor, Desrivières Sylvane, Farley Severine, Filippi Irina, de Macedo Carlos E A, Belzeaux Raoul, Banaschewski Tobias, Bokde Arun L W, Quinlan Erin Burke, Flor Herta, Grigis Antoine, Garavan Hugh, Gowland Penny, Heinz Andreas, Brühl Rüdiger, Nees Frauke, Papadopoulos Orfanos Dimitri, Paus Tomáš, Poustka Luise, Fröhner Juliane H, Smolka Michael N, Walter Henrik, Whelan Robert, Grenier Julien, Schumann Gunter, Paillère Martinot Marie-Laure, Tzavara Eleni T, Martinot Jean-Luc

机构信息

Institut National de la Santé et de la Recherche Médicale, INSERM U1299 "Trajectoires Développementales en Psychiatrie", Université Paris-Saclay, Ecole Normale Supérieure Paris-Saclay, CNRS, Centre Borelli, Gif-sur-Yvette, France.

Aix Marseille Univ, CNRS, INT, Inst Neurosci Timone, Marseille, France.

出版信息

Front Syst Neurosci. 2021 Sep 30;15:725413. doi: 10.3389/fnsys.2021.725413. eCollection 2021.

DOI:10.3389/fnsys.2021.725413
PMID:34658802
原文链接:https://pmc.ncbi.nlm.nih.gov/articles/PMC8514661/
Abstract

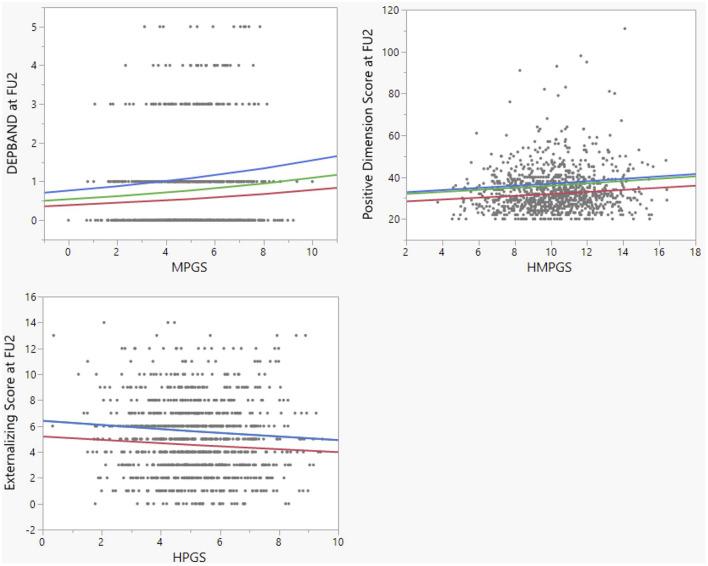
Adolescence is a period of vulnerability for the maturation of gray matter (GM) and also for the onset of psychiatric disorders such as major depressive disorder (MDD), bipolar disorder and schizophrenia. Chronic neuroinflammation is considered to play a role in the etiology of these illnesses. However, the involvement of neuroinflammation in the observed link between regional GM volume reductions and psychiatric symptoms is not established yet. Here, we investigated a possible common immune-related genetic link between these two phenomena in european adolescents recruited from the community. Hippocampal and medial prefrontal cortex (mPFC) were defined as regions of interest (ROIs). Their GM volumes were extracted in 1,563 14-year-olds from the IMAGEN database. We found a set of 26 SNPs that correlated with the hippocampal volumes and 29 with the mPFC volumes at age 14. We formed two ROI-Related Immune-gene scores (RRI) with the inflammation SNPs that correlated to hippocampal GM volume and to mPFC GM volume. The predictive ability of both RRIs with regards to the presence of psychiatric symptoms at age 18 was investigated by correlating the RRIs with psychometric questionnaires obtained at age 18. The RRIs (but not control scores constructed with random SNPs) correlated with the presence of depressive symptoms, positive psychotic symptoms, and externalizing symptoms in later adolescence. In addition, the effect of childhood maltreatment, one of the major environmental risk factors for depression and other mental disorders, interacted with the RRI effect. We next sought to validate this finding by investigating our set of inflammatory genes in a translational animal model of early life adversity. Mice were subjected to a protocol of maternal separation at an early post-natal age. We evaluated depressive behaviors in separated and non-separated mice at adolescence and their correlations with the concomitant expression of our genes in whole blood samples. We show that in mice, early life adversity affected the expression of our set of genes in peripheral blood, and that levels of expression correlated with symptoms of negative affect in adolescence. Overall, our translational findings in adolescent mice and humans provide a novel validated gene-set of immune-related genes for further research in the early stages of mood disorders.

摘要

青春期是灰质(GM)成熟的脆弱时期,也是诸如重度抑郁症(MDD)、双相情感障碍和精神分裂症等精神疾病发病的脆弱时期。慢性神经炎症被认为在这些疾病的病因中起作用。然而,神经炎症在观察到的区域GM体积减少与精神症状之间的联系中的作用尚未确定。在这里,我们在从社区招募的欧洲青少年中研究了这两种现象之间可能存在的共同免疫相关基因联系。海马体和内侧前额叶皮质(mPFC)被定义为感兴趣区域(ROIs)。从IMAGEN数据库中提取了1563名14岁青少年的GM体积数据。我们发现一组26个单核苷酸多态性(SNPs)与14岁时的海马体体积相关,29个与mPFC体积相关。我们用与海马体GM体积和mPFC GM体积相关的炎症SNPs形成了两个ROI相关免疫基因分数(RRI)。通过将RRI与18岁时获得的心理测量问卷进行关联,研究了这两个RRI对18岁时精神症状存在情况的预测能力。RRI(但不是用随机SNPs构建的对照分数)与青少年后期抑郁症状、阳性精神病性症状和外化症状的存在相关。此外,童年期虐待这一抑郁症和其他精神障碍的主要环境风险因素之一,与RRI效应相互作用。接下来,我们试图通过在早期生活逆境的转化动物模型中研究我们的一组炎症基因来验证这一发现。在出生后早期对小鼠进行母体分离方案。我们评估了青春期分离和未分离小鼠的抑郁行为,以及它们与全血样本中我们基因的伴随表达之间的相关性。我们表明,在小鼠中,早期生活逆境影响了我们这组基因在外周血中的表达,并且表达水平与青春期的消极情绪症状相关。总体而言,我们在青少年小鼠和人类中的转化研究结果提供了一组经过验证的新型免疫相关基因,用于情绪障碍早期阶段的进一步研究。

https://cdn.ncbi.nlm.nih.gov/pmc/blobs/be3a/8514661/1b5ff65adf15/fnsys-15-725413-g005.jpg
https://cdn.ncbi.nlm.nih.gov/pmc/blobs/be3a/8514661/6ac18aa155bf/fnsys-15-725413-g001.jpg
https://cdn.ncbi.nlm.nih.gov/pmc/blobs/be3a/8514661/0c571e655fea/fnsys-15-725413-g002.jpg
https://cdn.ncbi.nlm.nih.gov/pmc/blobs/be3a/8514661/4371e6d7f878/fnsys-15-725413-g003.jpg
https://cdn.ncbi.nlm.nih.gov/pmc/blobs/be3a/8514661/d5d4c89a2f3a/fnsys-15-725413-g004.jpg
https://cdn.ncbi.nlm.nih.gov/pmc/blobs/be3a/8514661/1b5ff65adf15/fnsys-15-725413-g005.jpg
https://cdn.ncbi.nlm.nih.gov/pmc/blobs/be3a/8514661/6ac18aa155bf/fnsys-15-725413-g001.jpg
https://cdn.ncbi.nlm.nih.gov/pmc/blobs/be3a/8514661/0c571e655fea/fnsys-15-725413-g002.jpg
https://cdn.ncbi.nlm.nih.gov/pmc/blobs/be3a/8514661/4371e6d7f878/fnsys-15-725413-g003.jpg
https://cdn.ncbi.nlm.nih.gov/pmc/blobs/be3a/8514661/d5d4c89a2f3a/fnsys-15-725413-g004.jpg
https://cdn.ncbi.nlm.nih.gov/pmc/blobs/be3a/8514661/1b5ff65adf15/fnsys-15-725413-g005.jpg

相似文献

1
Immune-Related Genetic Overlap Between Regional Gray Matter Reductions and Psychiatric Symptoms in Adolescents, and Gene-Set Validation in a Translational Model.青少年区域灰质减少与精神症状之间的免疫相关基因重叠,以及转化模型中的基因集验证
Front Syst Neurosci. 2021 Sep 30;15:725413. doi: 10.3389/fnsys.2021.725413. eCollection 2021.
2
A longitudinal study of associations between psychiatric symptoms and disorders and cerebral gray matter volumes in adolescents born very preterm.一项关于极早产青少年精神症状与障碍和脑灰质体积之间关联的纵向研究。
BMC Pediatr. 2017 Feb 1;17(1):45. doi: 10.1186/s12887-017-0793-0.
3
Reduced hippocampal and medial prefrontal gray matter mediate the association between reported childhood maltreatment and trait anxiety in adulthood and predict sensitivity to future life stress.海马体和内侧前额叶灰质减少介导了报告的童年期虐待与成年期特质焦虑之间的关联,并预测对未来生活压力的敏感性。
Biol Mood Anxiety Disord. 2014 Nov 13;4:12. doi: 10.1186/2045-5380-4-12. eCollection 2014.
4
Letter to the Editor: CONVERGENCES AND DIVERGENCES IN THE ICD-11 VS. DSM-5 CLASSIFICATION OF MOOD DISORDERS.给编辑的信:《ICD-11 与 DSM-5 心境障碍分类的趋同与分歧》
Turk Psikiyatri Derg. 2021;32(4):293-295. doi: 10.5080/u26899.
5
Opposite effects of suicidality and lithium on gray matter volumes in bipolar depression.双相抑郁患者自杀倾向和锂盐治疗对灰质体积的相反影响。
J Affect Disord. 2011 Dec;135(1-3):139-47. doi: 10.1016/j.jad.2011.07.006. Epub 2011 Jul 31.
6
[Early intervention in bipolar affective disorders: Why, when and how].[双相情感障碍的早期干预:为何、何时及如何进行]
Encephale. 2022 Feb;48(1):60-69. doi: 10.1016/j.encep.2021.05.007. Epub 2021 Sep 23.
7
Letter to the Editor: Depression As The First Symptom Of Frontal Lobe Grade 2 Malignant Glioma.给编辑的信:额颞叶 2 级恶性胶质瘤的首发症状为抑郁。
Turk Psikiyatri Derg. 2022 Summer;33(2):143-145. doi: 10.5080/u25957.
8
Patterns of regional gray matter loss at different stages of schizophrenia: A multisite, cross-sectional VBM study in first-episode and chronic illness.精神分裂症不同阶段的区域灰质损失模式:一项针对首发和慢性病患者的多中心横断面体素形态学研究
Neuroimage Clin. 2016 Jun 3;12:1-15. doi: 10.1016/j.nicl.2016.06.002. eCollection 2016.
9
Development of Disordered Eating Behaviors and Comorbid Depressive Symptoms in Adolescence: Neural and Psychopathological Predictors.青少年饮食失调行为和共病抑郁症状的发展:神经和精神病理学预测因素。
Biol Psychiatry. 2021 Dec 15;90(12):853-862. doi: 10.1016/j.biopsych.2020.06.003. Epub 2020 Jun 10.
10
Corticostriatal-limbic gray matter morphology in adolescents with self-reported exposure to childhood maltreatment.自我报告曾遭受童年期虐待的青少年的皮质纹状体边缘灰质形态。
Arch Pediatr Adolesc Med. 2011 Dec;165(12):1069-77. doi: 10.1001/archpediatrics.2011.565.

引用本文的文献

1
Editorial: Neuroinflammation, metabolism, and psychiatric disorders.社论:神经炎症、代谢与精神障碍
Front Psychiatry. 2022 Oct 18;13:1060948. doi: 10.3389/fpsyt.2022.1060948. eCollection 2022.
2
Association of the MAOA-uVNTR polymorphism with psychopathic traits may change from childhood to adolescence.单胺氧化酶A基因可变数目串联重复序列(MAOA-uVNTR)多态性与精神病态特质之间的关联可能会随着年龄从童年到青春期发生变化。
Eur Arch Psychiatry Clin Neurosci. 2022 Dec;272(8):1517-1521. doi: 10.1007/s00406-021-01370-9. Epub 2022 Jan 17.

本文引用的文献

1
Irregular sleep habits, regional grey matter volumes, and psychological functioning in adolescents.青少年的不规则睡眠习惯、局部灰质体积与心理功能
PLoS One. 2021 Feb 10;16(2):e0243720. doi: 10.1371/journal.pone.0243720. eCollection 2021.
2
Virtual Histology of Cortical Thickness and Shared Neurobiology in 6 Psychiatric Disorders.6 种精神障碍的皮质厚度虚拟组织学和共同神经生物学
JAMA Psychiatry. 2021 Jan 1;78(1):47-63. doi: 10.1001/jamapsychiatry.2020.2694.
3
Tutorial: a guide to performing polygenic risk score analyses.教程:多基因风险评分分析操作指南。
Nat Protoc. 2020 Sep;15(9):2759-2772. doi: 10.1038/s41596-020-0353-1. Epub 2020 Jul 24.
4
Assessment of Neurobiological Mechanisms of Cortical Thinning During Childhood and Adolescence and Their Implications for Psychiatric Disorders.评估儿童和青少年时期皮质变薄的神经生物学机制及其对精神障碍的影响。
JAMA Psychiatry. 2020 Nov 1;77(11):1127-1136. doi: 10.1001/jamapsychiatry.2020.1495.
5
ENIGMA MDD: seven years of global neuroimaging studies of major depression through worldwide data sharing.ENIGMA-MDD:通过全球数据共享进行的全球神经影像学研究重度抑郁症 7 年。
Transl Psychiatry. 2020 May 29;10(1):172. doi: 10.1038/s41398-020-0842-6.
6
Brain Heterogeneity in Schizophrenia and Its Association With Polygenic Risk.精神分裂症的大脑异质性及其与多基因风险的关联。
JAMA Psychiatry. 2019 Jul 1;76(7):739-748. doi: 10.1001/jamapsychiatry.2019.0257.
7
Association of Polygenic Liabilities for Major Depression, Bipolar Disorder, and Schizophrenia With Risk for Depression in the Danish Population.丹麦人群中重度抑郁症、双相情感障碍和精神分裂症的多基因遗传易感性与抑郁风险的关联。
JAMA Psychiatry. 2019 May 1;76(5):516-525. doi: 10.1001/jamapsychiatry.2018.4166.
8
PLA2G6-Associated Neurodegeneration (PLAN): Review of Clinical Phenotypes and Genotypes.PLA2G6相关神经退行性变(PLAN):临床表型与基因型综述
Front Neurol. 2018 Dec 18;9:1100. doi: 10.3389/fneur.2018.01100. eCollection 2018.
9
The Impact of Stress and Major Depressive Disorder on Hippocampal and Medial Prefrontal Cortex Morphology.应激和重度抑郁症对海马体和内侧前额叶皮质形态的影响。
Biol Psychiatry. 2019 Mar 15;85(6):443-453. doi: 10.1016/j.biopsych.2018.09.031. Epub 2018 Oct 10.
10
Antidepressive effects of targeting ELK-1 signal transduction.靶向 Elk-1 信号转导的抗抑郁作用。
Nat Med. 2018 May;24(5):591-597. doi: 10.1038/s41591-018-0011-0. Epub 2018 May 7.