• 文献检索
  • 文档翻译
  • 深度研究
  • 学术资讯
  • Suppr Zotero 插件Zotero 插件
  • 邀请有礼
  • 套餐&价格
  • 历史记录
应用&插件
Suppr Zotero 插件Zotero 插件浏览器插件Mac 客户端Windows 客户端微信小程序
定价
高级版会员购买积分包购买API积分包
服务
文献检索文档翻译深度研究API 文档MCP 服务
关于我们
关于 Suppr公司介绍联系我们用户协议隐私条款
关注我们

Suppr 超能文献

核心技术专利:CN118964589B侵权必究
粤ICP备2023148730 号-1Suppr @ 2026

文献检索

告别复杂PubMed语法,用中文像聊天一样搜索,搜遍4000万医学文献。AI智能推荐,让科研检索更轻松。

立即免费搜索

文件翻译

保留排版,准确专业,支持PDF/Word/PPT等文件格式,支持 12+语言互译。

免费翻译文档

深度研究

AI帮你快速写综述,25分钟生成高质量综述,智能提取关键信息,辅助科研写作。

立即免费体验

利用血小板制品和注射疗法治疗颈椎疼痛的再生注射疗法:一种功能性脊柱单元方法

Regenerative Injection Treatments Utilizing Platelet Products and Prolotherapy for Cervical Spine Pain: A Functional Spinal Unit Approach.

作者信息

Williams Christopher, Jerome Mairin, Fausel Chaz, Dodson Ehren, Stemper Ian, Centeno Christopher

机构信息

Physical Medicine and Rehabilitation, Interventional Orthopedics and Regenerative Medicine, Interventional Orthopedics of Atlanta, Atlanta, USA.

Physical Medicine and Rehabilitation, Regenerative SportsCare Institute, New York, USA.

出版信息

Cureus. 2021 Oct 8;13(10):e18608. doi: 10.7759/cureus.18608. eCollection 2021 Oct.

DOI:10.7759/cureus.18608
PMID:34659923
原文链接:https://pmc.ncbi.nlm.nih.gov/articles/PMC8500543/
Abstract

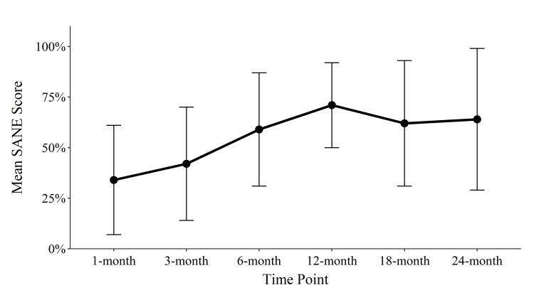
Background The increasing burden of musculoskeletal disorders combined with the high utilization of opiates and the relatively limited ability of traditional approaches to satisfactorily address many of these conditions has spurred an increased interest in alternative treatments such as regenerative medicine therapies. Evidence is growing to support the use of regenerative injection treatments, including prolotherapy, platelet-rich plasma (PRP), platelet lysate (PL), and mesenchymal stromal cells. This study aims to offer a proof of concept via a case series of patients with neck pain treated using a functional spinal unit (FSU) model with combination prolotherapy, PRP, and PL injections. Methodology A chart review identified patients with neck pain treated with a combination of cervical injections using concentrated platelets and prolotherapy. Results A total of 14 patients met the inclusion criteria. The average decrease in the Numeric Pain Score was 2.8 (p = 0.002). The mean decrease in the Functional Rating Index was 27.3 (p = 0.004) at 24 months. Two patients had mild adverse reactions. Conclusions This case series demonstrates basic safety and clinically significant improvements in patients treated for neck pain with autologous concentrated platelet products and prolotherapy utilizing an FSU treatment protocol. Additional clinical studies are warranted with a larger patient sample size and longer follow-up periods.

摘要

背景

肌肉骨骼疾病负担日益加重,同时阿片类药物使用率高,而传统方法在令人满意地解决许多此类病症方面能力相对有限,这激发了人们对再生医学疗法等替代疗法的兴趣日益浓厚。越来越多的证据支持使用再生注射疗法,包括促结缔组织增生疗法、富血小板血浆(PRP)、血小板裂解物(PL)和间充质基质细胞。本研究旨在通过一系列使用功能性脊柱单元(FSU)模型联合促结缔组织增生疗法、PRP和PL注射治疗颈部疼痛患者的病例,提供概念验证。

方法

通过病历回顾确定使用浓缩血小板和促结缔组织增生疗法联合进行颈椎注射治疗的颈部疼痛患者。

结果

共有14名患者符合纳入标准。数字疼痛评分平均降低2.8(p = 0.002)。24个月时功能评定指数平均降低27.3(p = 0.004)。两名患者出现轻度不良反应。

结论

本病例系列证明了使用自体浓缩血小板产品和促结缔组织增生疗法,采用FSU治疗方案治疗颈部疼痛患者具有基本安全性和临床上的显著改善。需要开展更多临床研究,纳入更大的患者样本量并延长随访期。

https://cdn.ncbi.nlm.nih.gov/pmc/blobs/537b/8500543/5168a2654ba1/cureus-0013-00000018608-i05.jpg
https://cdn.ncbi.nlm.nih.gov/pmc/blobs/537b/8500543/1223e511463b/cureus-0013-00000018608-i01.jpg
https://cdn.ncbi.nlm.nih.gov/pmc/blobs/537b/8500543/8d201b5a6b6e/cureus-0013-00000018608-i02.jpg
https://cdn.ncbi.nlm.nih.gov/pmc/blobs/537b/8500543/6146cea85f8a/cureus-0013-00000018608-i03.jpg
https://cdn.ncbi.nlm.nih.gov/pmc/blobs/537b/8500543/6324fb51d915/cureus-0013-00000018608-i04.jpg
https://cdn.ncbi.nlm.nih.gov/pmc/blobs/537b/8500543/5168a2654ba1/cureus-0013-00000018608-i05.jpg
https://cdn.ncbi.nlm.nih.gov/pmc/blobs/537b/8500543/1223e511463b/cureus-0013-00000018608-i01.jpg
https://cdn.ncbi.nlm.nih.gov/pmc/blobs/537b/8500543/8d201b5a6b6e/cureus-0013-00000018608-i02.jpg
https://cdn.ncbi.nlm.nih.gov/pmc/blobs/537b/8500543/6146cea85f8a/cureus-0013-00000018608-i03.jpg
https://cdn.ncbi.nlm.nih.gov/pmc/blobs/537b/8500543/6324fb51d915/cureus-0013-00000018608-i04.jpg
https://cdn.ncbi.nlm.nih.gov/pmc/blobs/537b/8500543/5168a2654ba1/cureus-0013-00000018608-i05.jpg

相似文献

1
Regenerative Injection Treatments Utilizing Platelet Products and Prolotherapy for Cervical Spine Pain: A Functional Spinal Unit Approach.利用血小板制品和注射疗法治疗颈椎疼痛的再生注射疗法:一种功能性脊柱单元方法
Cureus. 2021 Oct 8;13(10):e18608. doi: 10.7759/cureus.18608. eCollection 2021 Oct.
2
Regenerative Medicine for Axial and Radicular Spine-Related Pain: A Narrative Review.用于轴性和根性脊柱相关疼痛的再生医学:一项叙述性综述
Pain Pract. 2020 Apr;20(4):437-453. doi: 10.1111/papr.12868. Epub 2020 Jan 28.
3
Regenerative Injectable Therapies: Current Evidence.再生注射疗法:当前证据
Curr Sports Med Rep. 2020 Sep;19(9):353-359. doi: 10.1249/JSR.0000000000000751.
4
Prolotherapy and Low Level Laser Therapy: A Synergistic Approach to Pain Management in Chronic Osteoarthritis.注射疗法与低强度激光疗法:慢性骨关节炎疼痛管理的协同方法
Anesth Pain Med. 2017 Oct 15;7(5):e14470. doi: 10.5812/aapm.14470. eCollection 2017 Oct.
5
Autologous growth factor injections in chronic tendinopathy.自体生长因子注射治疗慢性肌腱病。
J Athl Train. 2014 May-Jun;49(3):428-30. doi: 10.4085/1062-6050-49.3.06. Epub 2014 May 19.
6
Effect of Dextrose Prolotherapy, Platelet Rich Plasma and Autologous Conditioned Serum on Knee Osteoarthritis: A Randomized Clinical Trial.葡萄糖水疗法、富血小板血浆和自体条件血清治疗膝骨关节炎的效果:一项随机临床试验。
Iran J Allergy Asthma Immunol. 2020 Jun 23;19(3):243-252. doi: 10.18502/ijaai.v19i3.3452.
7
Prolotherapy for the patients with chronic musculoskeletal pain: systematic review and meta-analysis.慢性肌肉骨骼疼痛患者的注射增殖疗法:系统评价与荟萃分析。
Anesth Pain Med (Seoul). 2021 Jan;16(1):81-95. doi: 10.17085/apm.20078. Epub 2020 Dec 16.
8
Comparison of ultrasound-guided platelet-rich plasma, prolotherapy, and corticosteroid injections in rotator cuff lesions.超声引导下富血小板血浆、注射疗法和皮质类固醇注射治疗肩袖损伤的比较。
J Back Musculoskelet Rehabil. 2020;33(3):387-396. doi: 10.3233/BMR-191519.
9
Non-operative orthobiologic use for rotator cuff disorders and glenohumeral osteoarthritis: A systematic review.肩袖疾病和肩肱关节炎的非手术生物正交治疗:系统评价。
J Back Musculoskelet Rehabil. 2021;34(1):17-32. doi: 10.3233/BMR-201844.
10
Effectiveness and safety of prolotherapy injections for management of lower limb tendinopathy and fasciopathy: a systematic review.注射增生疗法治疗下肢肌腱病和筋膜病的有效性与安全性:一项系统评价
J Foot Ankle Res. 2015 Oct 20;8:57. doi: 10.1186/s13047-015-0114-5. eCollection 2015.

引用本文的文献

1
Intradiscal Injections of Bone Marrow Concentrate or Leukocyte-Rich Platelet-Rich Plasma for the Treatment of Cervical Discogenic Pain: A Case Series.椎间盘内注射浓缩骨髓或富含白细胞的富血小板血浆治疗颈椎间盘源性疼痛:病例系列
Cureus. 2025 May 15;17(5):e84166. doi: 10.7759/cureus.84166. eCollection 2025 May.
2
Establishing metrics of clinically meaningful change for treating knee osteoarthritis with a combination of autologous orthobiologics.建立使用自体组织修复生物制剂组合治疗膝关节骨关节炎的具有临床意义的变化指标。
Sci Rep. 2025 Feb 28;15(1):7244. doi: 10.1038/s41598-025-91972-3.
3
A Long-Term Retrospective Observational Clinical Study Evaluating the Efficacy of Plasma Rich in Growth Factors (PRGF) in the Treatment of Back Pain.

本文引用的文献

1
Effect of Platelet-Rich Plasma on Chondrogenic Differentiation of Adipose- and Bone Marrow-Derived Mesenchymal Stem Cells.富血小板血浆对脂肪源性和骨髓源性间充质干细胞向软骨细胞分化的影响。
Tissue Eng Part A. 2018 Oct;24(19-20):1432-1443. doi: 10.1089/ten.tea.2018.0065. Epub 2018 Jul 23.
2
Cost Utility Analysis of Cervical Therapeutic Medial Branch Blocks in Managing Chronic Neck Pain.颈椎治疗性内侧支阻滞治疗慢性颈痛的成本效用分析。
Int J Med Sci. 2017 Oct 15;14(13):1307-1316. doi: 10.7150/ijms.20755. eCollection 2017.
3
The use of lumbar epidural injection of platelet lysate for treatment of radicular pain.
一项评估富含生长因子血浆(PRGF)治疗背痛疗效的长期回顾性观察性临床研究。
Pain Ther. 2025 Apr;14(2):675-690. doi: 10.1007/s40122-024-00699-y. Epub 2025 Jan 16.
4
Differentiating the Structural and Functional Instability of the Craniocervical Junction.区分颅颈交界区的结构和功能不稳定
Healthcare (Basel). 2024 Oct 7;12(19):2003. doi: 10.3390/healthcare12192003.
5
Cervical facet joint platelet-rich plasma in people with chronic whiplash-associated disorders: A prospective case series of short-term outcomes.慢性挥鞭样损伤相关疾病患者的颈椎小关节富血小板血浆治疗:短期疗效的前瞻性病例系列研究
Interv Pain Med. 2022 Mar 9;1(2):100078. doi: 10.1016/j.inpm.2022.100078. eCollection 2022 Jun.
6
Comparative Efficacy of Ultrasound-Guided Cervical Fascial Infiltration versus Periarticular Administration of Autologous Conditioned Serum (Orthokine) for Neck Pain: A Randomized Controlled Trial Protocol Description.超声引导下颈筋膜浸润与自体条件培养液(Orthokine)关节周围注射治疗颈痛的疗效比较:一项随机对照试验方案描述。
Med Sci Monit. 2024 Feb 26;30:e942044. doi: 10.12659/MSM.942044.
7
Traumatic Humeral Shaft Non-union With Ulnar Nerve Transection: An Orthobiologics Success Story.创伤性肱骨干骨不连合并尺神经横断:一个骨科生物治疗的成功案例。
Cureus. 2023 Feb 19;15(2):e35189. doi: 10.7759/cureus.35189. eCollection 2023 Feb.
腰椎硬膜外注射血小板裂解物治疗神经根性疼痛的应用。
J Exp Orthop. 2017 Nov 25;4(1):38. doi: 10.1186/s40634-017-0113-5.
4
Prevalence and factors associated with neck pain: a population-based study.颈痛的患病率及相关因素:一项基于人群的研究。
Braz J Phys Ther. 2017 Jul-Aug;21(4):274-280. doi: 10.1016/j.bjpt.2017.05.005. Epub 2017 May 20.
5
PRP for Degenerative Cartilage Disease: A Systematic Review of Clinical Studies.用于退行性软骨疾病的富血小板血浆:临床研究的系统评价
Cartilage. 2017 Oct;8(4):341-364. doi: 10.1177/1947603516670709. Epub 2016 Sep 1.
6
A Prospective Study Comparing Platelet-Rich Plasma and Local Anesthetic (LA)/Corticosteroid in Intra-Articular Injection for the Treatment of Lumbar Facet Joint Syndrome.一项比较富血小板血浆与局部麻醉剂/皮质类固醇关节内注射治疗腰椎小关节综合征的前瞻性研究。
Pain Pract. 2017 Sep;17(7):914-924. doi: 10.1111/papr.12544. Epub 2017 Feb 22.
7
Regenerative Approaches to Tendon and Ligament Conditions.肌腱和韧带疾病的再生治疗方法。
Phys Med Rehabil Clin N Am. 2016 Nov;27(4):941-984. doi: 10.1016/j.pmr.2016.07.003.
8
Management of lumbar zygapophysial (facet) joint pain.腰椎小关节疼痛的管理
World J Orthop. 2016 May 18;7(5):315-37. doi: 10.5312/wjo.v7.i5.315.
9
In Vitro Toxicity of Local Anesthetics and Corticosteroids on Chondrocyte and Synoviocyte Viability and Metabolism.局部麻醉药和皮质类固醇对软骨细胞及滑膜细胞活力和代谢的体外毒性
Cartilage. 2015 Oct;6(4):233-40. doi: 10.1177/1947603515594453.
10
Anterior cruciate ligament tears treated with percutaneous injection of autologous bone marrow nucleated cells: a case series.经皮注射自体骨髓有核细胞治疗前交叉韧带撕裂:病例系列
J Pain Res. 2015 Jul 31;8:437-47. doi: 10.2147/JPR.S86244. eCollection 2015.