Department of Pediatrics, Division of Pediatric Metabolic Diseases, Faculty of Medicine, Gazi University, Mevlana Bulvarı No 29, Emniyet Mahallesi, Yenimahalle, Ankara, 06560, Turkey.
Orphanet J Rare Dis. 2021 Oct 19;16(1):438. doi: 10.1186/s13023-021-02060-4.
The objective of this study was to describe clinical manifestations and events of patients with mucopolysaccharidosis (MPS) VI in Turkey who are treated with galsulfase enzyme replacement therapy (ERT). Clinical data of 14 children with MPS VI who were followed up at the Department of Pediatrics of the Gazi University Faculty of Medicine in Ankara, Turkey were retrospectively collected from the patients' medical records. Patients were selected based on availability of a pre-ERT baseline and follow-up clinical data for a similar period of time (1.9-3.2 years). Event data (occurrence of acute clinical events, onset of chronic events, surgeries) collected during hospital visits and telemedicine were available for up to 10 years after initiation of ERT (2.5-10 years).
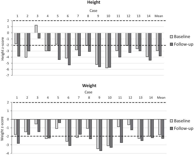
Age at initiation of ERT ranged from 2.8 to 15.8 years (mean age 7.5 years). All patients presented with reduced endurance and skeletal abnormalities (dysostosis multiplex) on radiography. Other common clinical manifestations were cardiac valve disease (N = 13), short stature (N = 11), cranial abnormalities on MRI (N = 10), spinal abnormalities on MRI (N = 7), and mild cognitive impairment (N = 6). School attendance was generally poor, and several patients had urinary incontinence. After 1.9 to 3.2 years of ERT, most patients showed improvements in endurance in the 6-min walk test and 3-min stair climb tests; the frequency of urinary incontinence decreased. ERT did not seem to prevent progression of cardiac valve disease, eye disorders, hearing loss, or bone disease. Long-term event-based data showed a high incidence of respiratory tract infections, adenotonsillectomy/adenoidectomy, reduced sleep quality, sleep apnea, and depression before initiation of ERT. The number of events tended to remain stable or decrease in all patients over 2.5-10 years follow-up. However, the nature of the events shifted over time, with a reduction in the frequency of respiratory tract infections and sleep problems and an increase in ophthalmologic events, ear tube insertions, and depression.
This case series shows the high disease burden of the MPS VI population in Turkey and provides a unique insight into their clinical journey based on real-life clinical and event-based data collected before and after initiation of ERT.
本研究旨在描述在土耳其接受加硫酶酶替代疗法(ERT)治疗的黏多糖贮积症(MPS)VI 患者的临床表现和事件。我们从土耳其安卡拉加济大学医学院儿科患者的病历中回顾性收集了 14 名 MPS VI 儿童的临床数据。根据 ERT 基线前和相似时间段(1.9-3.2 年)的随访临床数据,选择患者。在 ERT 开始后长达 10 年(2.5-10 年)内,通过医院就诊和远程医疗收集事件(急性临床事件发生、慢性事件发作、手术)数据。
ERT 开始时的年龄为 2.8-15.8 岁(平均年龄 7.5 岁)。所有患者均存在射线照相显示耐力降低和骨骼异常(多发性骨发育不良)。其他常见的临床表现包括心脏瓣膜疾病(N=13)、身材矮小(N=11)、MRI 上的颅异常(N=10)、MRI 上的脊柱异常(N=7)和轻度认知障碍(N=6)。上学通常很差,一些患者有尿失禁。ERT 治疗 1.9-3.2 年后,大多数患者在 6 分钟步行试验和 3 分钟爬楼梯试验中耐力提高;尿失禁的频率降低。ERT 似乎不能阻止心脏瓣膜疾病、眼部疾病、听力损失或骨骼疾病的进展。基于事件的长期数据显示,在 ERT 开始前,呼吸道感染、腺样体扁桃体切除术/腺样体切除术、睡眠质量下降、睡眠呼吸暂停和抑郁的发生率较高。在所有患者 2.5-10 年的随访中,事件数量趋于稳定或减少。然而,随着时间的推移,事件的性质发生了变化,呼吸道感染和睡眠问题的频率减少,眼科事件、耳朵管插入和抑郁的频率增加。
本病例系列展示了土耳其 MPS VI 人群的高疾病负担,并根据 ERT 开始前后收集的真实临床和基于事件的数据提供了他们临床历程的独特见解。